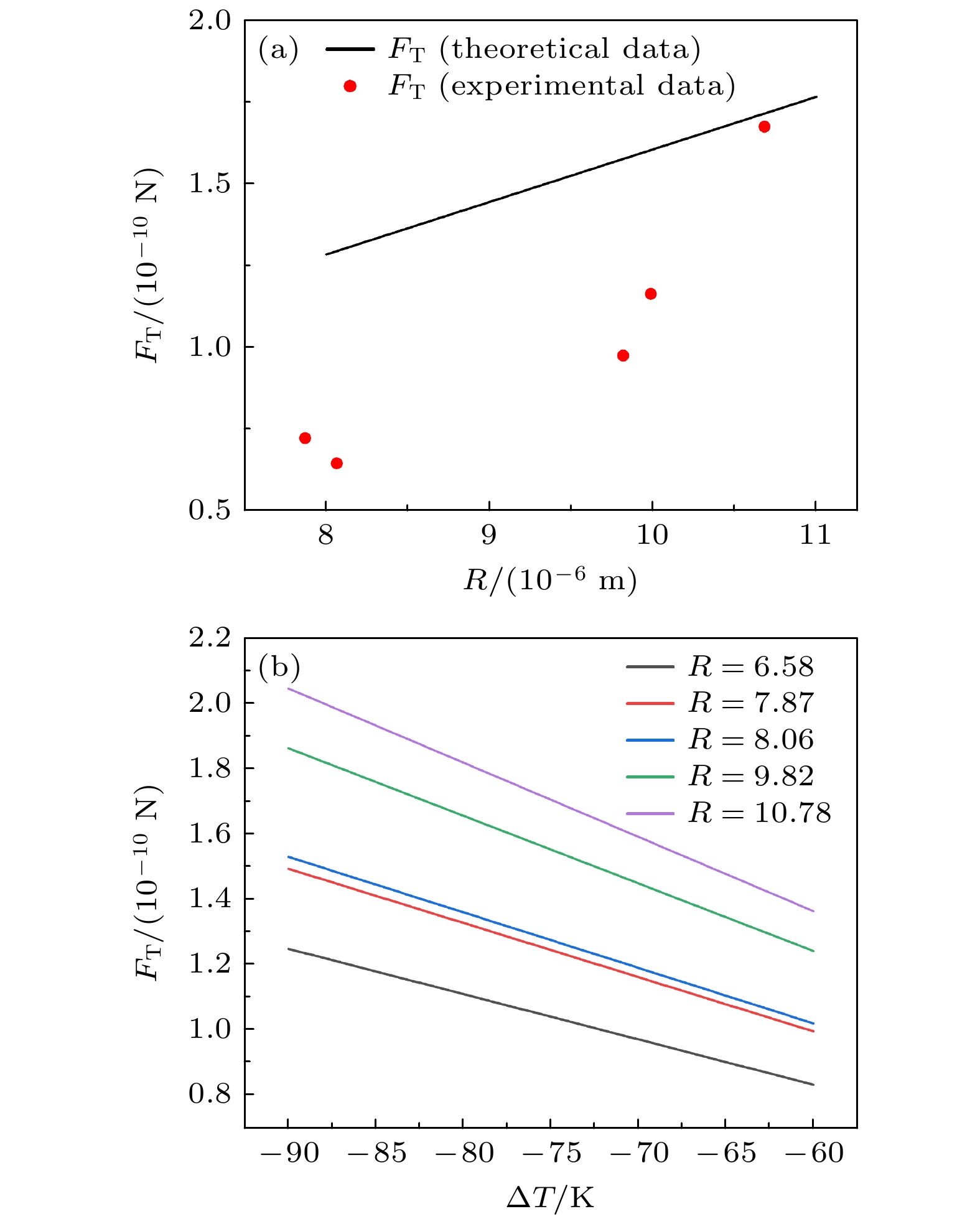
In order to explore the levitation and migration behavior of strongly absorbing nanoparticle clusters in air by using laser technique, in this study trapping and levitating nanoparticle clusters is proposed based on the counter-propagated bi-Bessel beams, and then the clusters are released to observe and analyze their migration behaviors. Two Bessel beams are generated by a conical lens and polarizing beam splitter, arranged horizontally in reverse to form a three-dimensional optical trap. The stiffness of the optical trap can be controlled by adjusting the power ratio of the two Bessel beams. The particles in the levitation chamber are fluidized through weak airflow, and then captured and levitated by a light trap. A high-speed camera is used to record the levitation and migration process of clusters. The particle motion parameters can be obtained through image analysis. The strong-absorbing ultrafine coal particle clusters are first selected to conduct the experiments on their levitation and release migration. Then, the photophorestic force, gravity, buoyancy, drag force, and thermophorestic force acting on the clusters are calculated and analyzed. The experimental and computational results indicate that the photophorestic force of air-borne strong-absorbing nanoparticle clusters generated by laser illumination dominates the levitation; nanoparticle clusters can be stably levitated in a three-dimensional potential well formed by counter-propagated bi-Bessel beams, achieving dynamic equilibrium with gravity, buoyancy, drag, etc. by adjusting the levitation position. The relative instability parameter of levitation is used to evaluate the stability of air-borne strong-absorbing nanoparticle clusters, and the minimum relative instability of ultrafine coal particle clusters reaches 0.075. By analyzing the images of nanoparticle cluster recorded by high-speed camera after being released, the migration motion parameters of the cluster can be obtained, therefore the thermophorestic force acting on the cluster is accurately measured. For the ultrafine coal particle clusters with equivalent particle sizes in a range of approximately 13–21 μm, the magnitudes of their thermophorestic forces are in a range of 10
–11–10
–10N. As the cluster size increases, the thermophorestic force increases linearly, which is consistent with the theoretical calculation trend. The use of laser to levitate and release particles provides a novel approach for measuring and analyzing thermophorestic force, and also presents a novel manipulation tool for controlling and transporting particles in a gaseous medium.