This article reviews the discovery of the Higgs boson, discusses the studies of its properties, and introduces the physical prospects of the future Higgs factories.
             
             
              The greatest goal of particle physics is to understand the fundamental particles of the universe and how they interact with each other (or more generally, how the universe operates). In the Standard Model of particle phyiscs, the Higgs mechanism is proposed to explain the origin of elementary particle mass and predict the existence of the Higgs boson. Higgs physics is one of the most important research areas in particle physics.
             
             
              The Large Hadron Collider (LHC) at CERN (Geneva, Switzerland) accelerates proton beams to collide at center-of-mass energy of 13 TeV, thus defining the world's energy frontier. The ATLAS and CMS detectors are two general-purpose detectors at the LHC for studying the debris from the collisions.
             
             
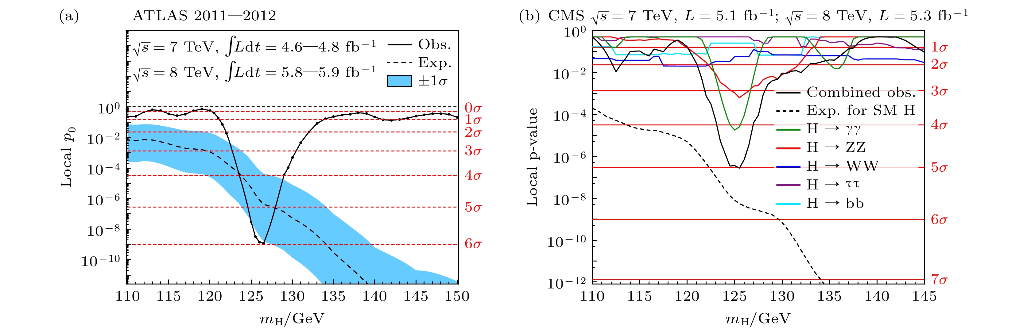
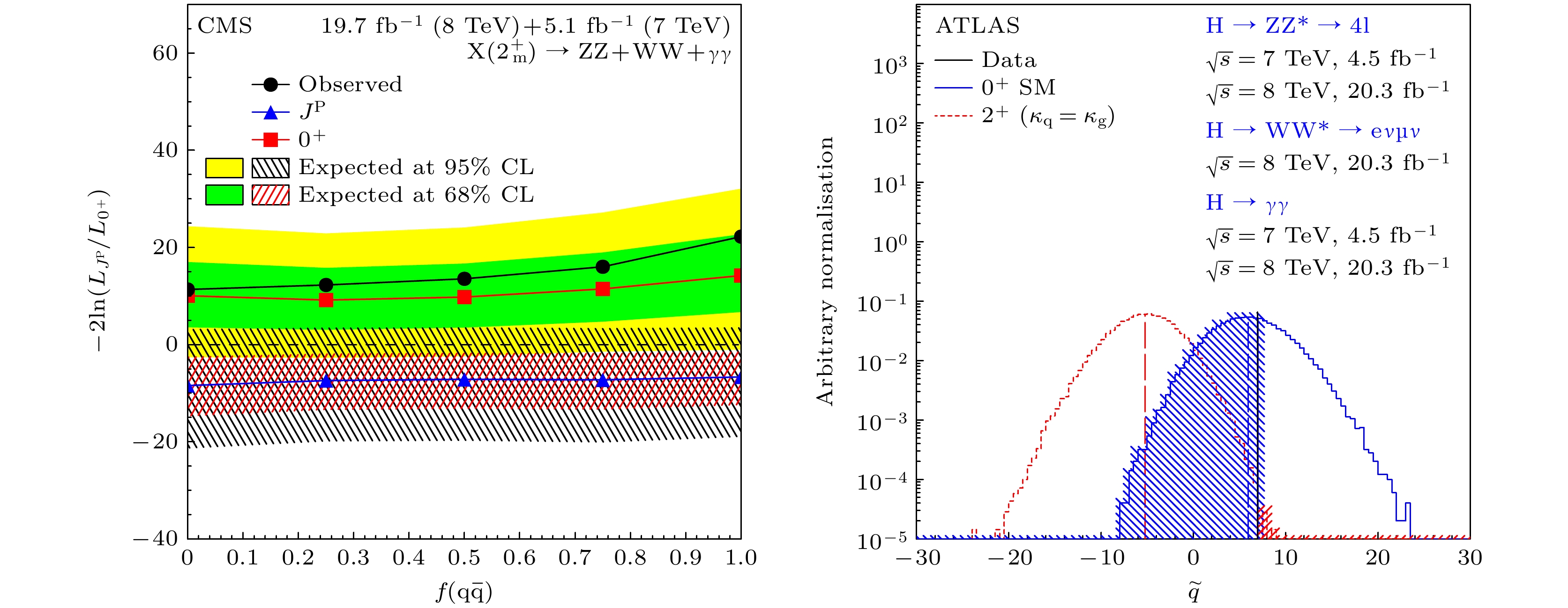
              The Higgs boson was discovered in the ATLAS and CMS experiments in 2012. This discovery completed the fundamental particle spectrum of the Standard Model and was an important milestone for particle physics. Since then, many studies have been conducted on the properties of Higgs boson, including spin, mass and couplings, to deepen our understanding of the Higgs mechanism. In particular, the Higgs bosons coupling to fermions and to themselves present new kinds of fundamental interactions with paramount significance, which have not been fully confirmed. Additionally, the Higgs bosons have become an important tool to search for dark matter, heavy resonance, and other new physical phenomena. So far, there has been no deviation from the predictions of the Standard Model.
             
             
              Looking forward to the future, it is proposed to use the electron-positron collisions to study the Higgs boson in more depth. Physics studies have shown that these Higgs factories can significantly improve the accuracy of many properties of the Higgs boson, including width and couplings, and provide great physics prospects.