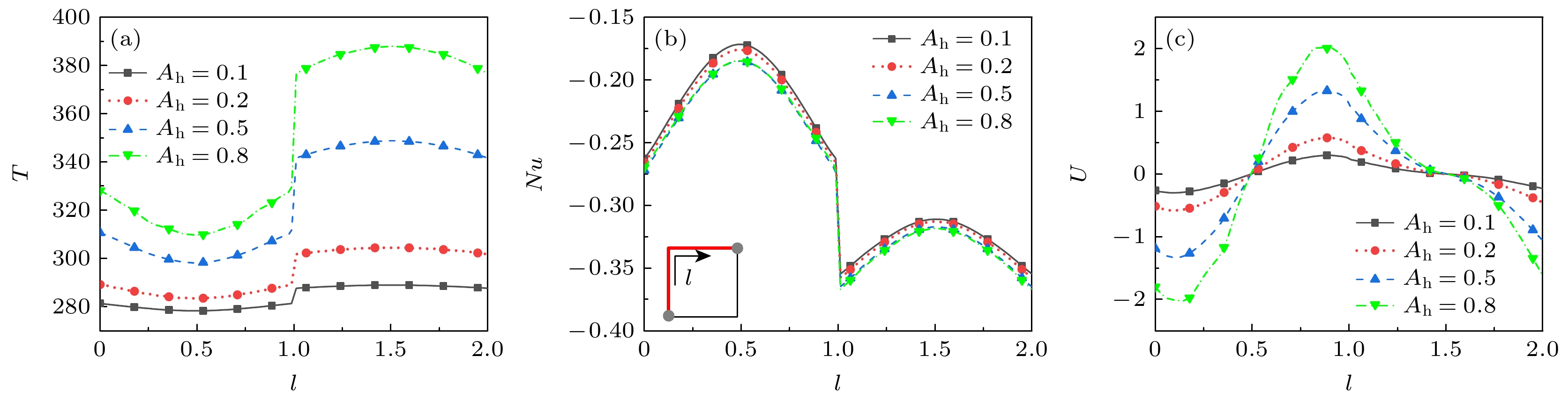
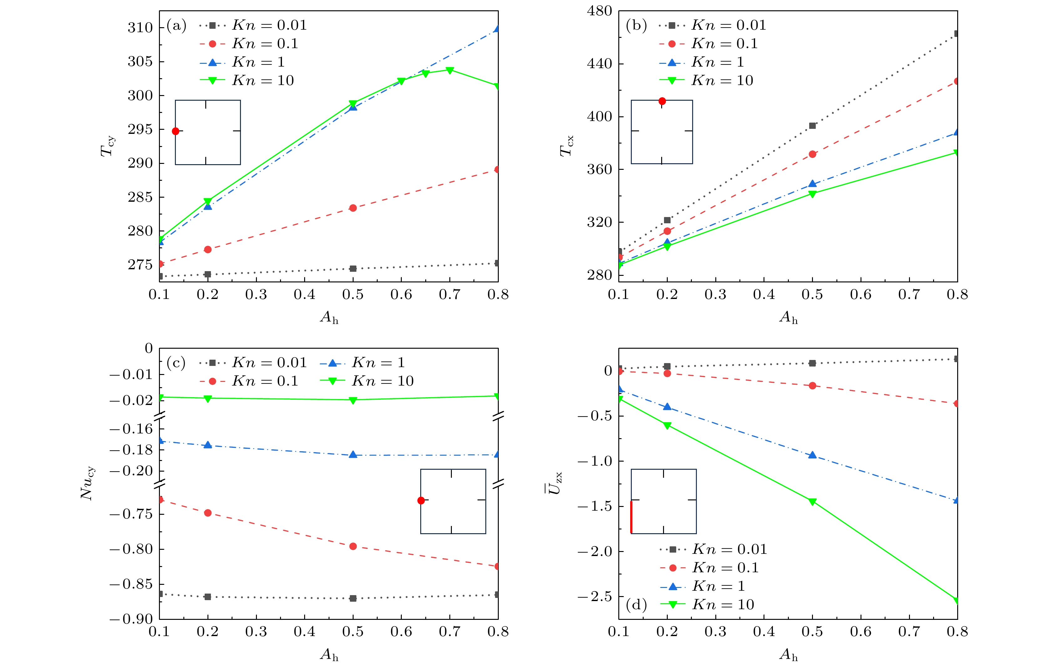
In order to examine the influence of wall temperature change on the flow and heat transfer properties of rarefied gas in restricted space, the discrete unified gas kinetic scheme (DUGKS) is used to simulate the thermal creep flows in a square cavity. All the boundaries of the cavity are stationary diffuse reflection walls. The temperature of left wall and right wall are lower, and the temperature of the upper wall and the lower wall are both subjected to periodic variation. The simulation parameters considered in the present work are set as follows: the Knudsen number Kn is in a range 0.01–10, temperature change frequency St in a range of 0.5–5, and temperature change amplitude Ah in a range of 0.1–0.8. The results indicate that the velocity field and temperature field in the cavity exhibit periodic variations. No inverse Fourier heat transfer phenomenon is observed within the parameter ranges studied. The intensity of the thermal creep flow can be increased by increasing the frequency, temperature, and the Knudsen number. This can also raise the temperature jump and velocity slip close to the temperature change walls. Heat transfer lag and a reduction in the heat transfer capability of the wall are caused by increasing St and Kn. When St is small, say, St = 0.5, a complex vortex structure is seen in the cavity. As the value of St rises to 5, the vortex disappears, the gas travels from the variable temperature wall to the horizontal centerline of cavity, and the region close to the middle of the left wall and right wall changes from an endothermic zone to an exothermic zone. Furthermore, the temperature field and velocity field inside the cavity hardly change, but the degree of heat transfer on the wall decreases with the increase of Ah. The main results are shown in the figure attached below. This work provides helpful recommendations for designing the MEMS devices by using pulsed heating.