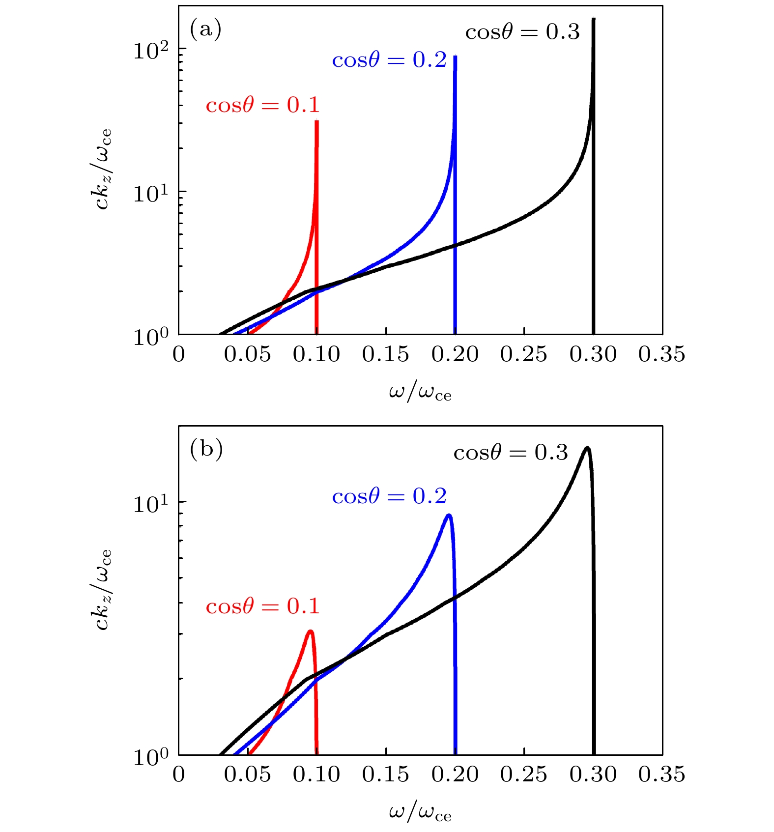
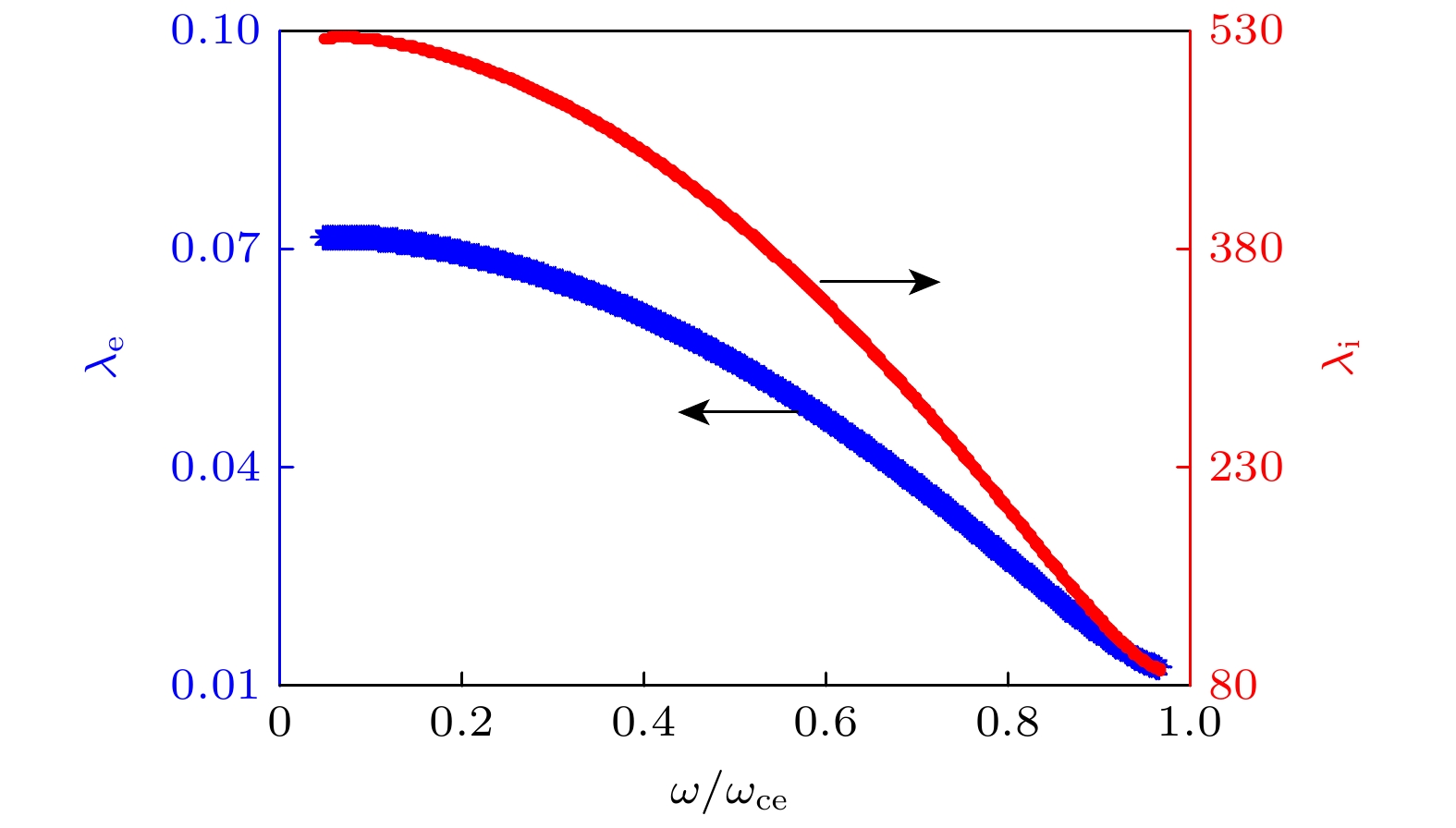
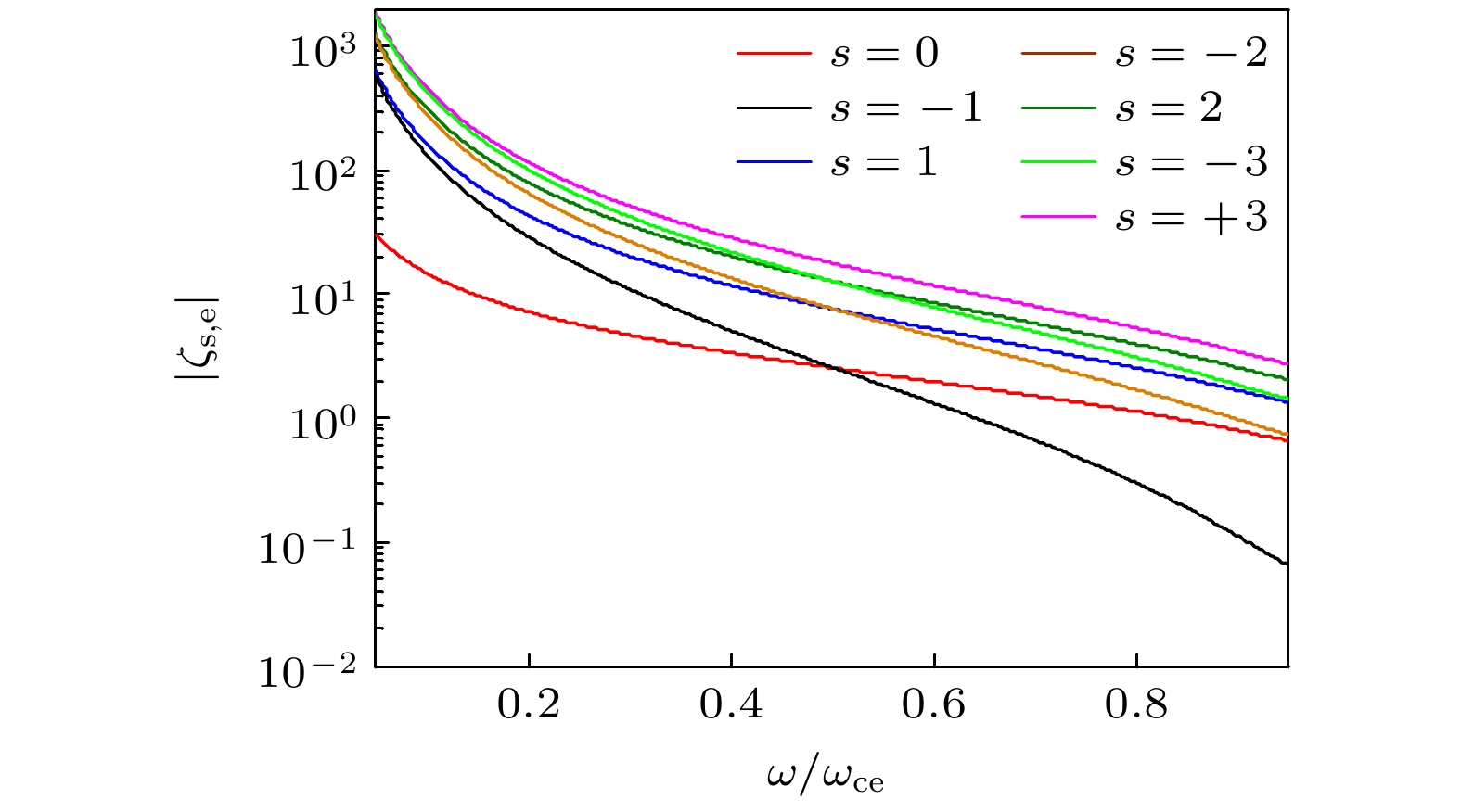
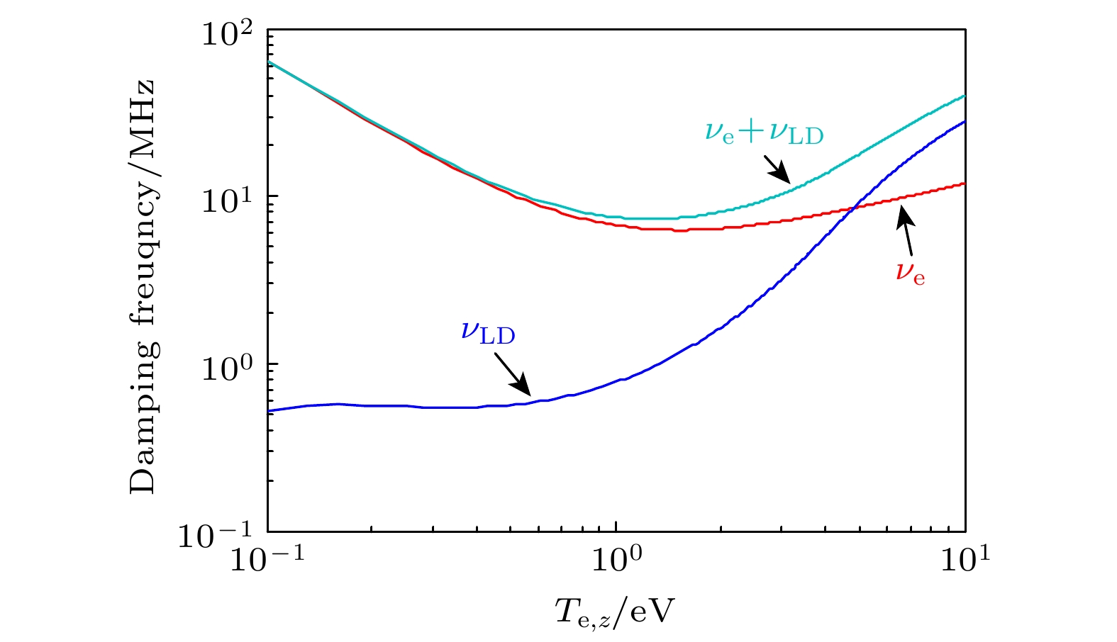
Low-field peak phenomenon, which has been observed in low magnetic helicon plasma discharge, is generally considered to have great commercial value in the field of low-cost semiconductor etching ion sources. As an important phenomenon in helicon plasma discharge, in-depth theoretical investigation on it may help us fully understand the physical mechanism behind the helicon plasma discharge.As a theoretical attempt to explore this phenomenon, which still lacks a unified explanation, we employ a plasma dielectric tensor model that better aligns with the actual discharge situation. Specifically, we use the general plasma dielectric tensor while accounting for the low temperature plasma kinetic effects and charged particle temperature anisotropy. Under typical helicon plasma discharge parameters, i.e. wave frequency ω/2π = 13.56 MHz, plasma column radius a = 3 cm, neutral gas pressure pAr = 0.5 mTorr, plasma density n0 = 1 × 1011 cm–3, and ratio of axial ion temperature to axial electron temperature Ti, z/Te, z = 0.1, we theoretically investigate the dispersion characteristics and wave number relations of Whistler waves, the mode coupling between helicon and Trivelpiece-Gould (TG) waves, and the power deposition properties of TG wave in low magnetic field circumstances. Analytical results suggest that under low electron temperature Te = 3 eV and low magnetic field (B0 < 48 G) circumstances, the high-order (|s| > 1) electron cyclotron harmonics can be ignored; the electron finite Larmor radius effect should be considered, while the ion finite Larmor radius effect can be ignored; the collision effect (collision damping) among particles completely changes the dispersion characteristics and wave number relations of the Whistler waves; for the helicon and TG waves, the value B0, mcs (where the mode coupling surface (MCS) is located) decreases with the increase of the axial wave number, meanwhile, the collision effect greatly affects the mode coupling characteristic of helicon and TG waves near the mode coupling surface; collision damping and Landau damping respectively dominate wave power deposition in different axial electron temperature ranges; in the typical helicon plasma electron temperature range, Te, z ∈ (3, 8) eV, the TG wave (m = 0, n = 1) mode dominates the power deposition; for the TG wave (m = 0, n = 1) mode, its power deposition peaks at the central axis of the plasma column, for low perpendicular electron temperature and low magnetic field, Landau damping dominates the power deposition, while under high perpendicular electron temperature and higher magnetic field, the collision damping dominates the power deposition.These conclusions not only further deepens our understanding of the low magnetic field density peak phenomenon at the theoretical level, but also provides new clues for fully revealing the mechanism of helicon discharge mechanism.