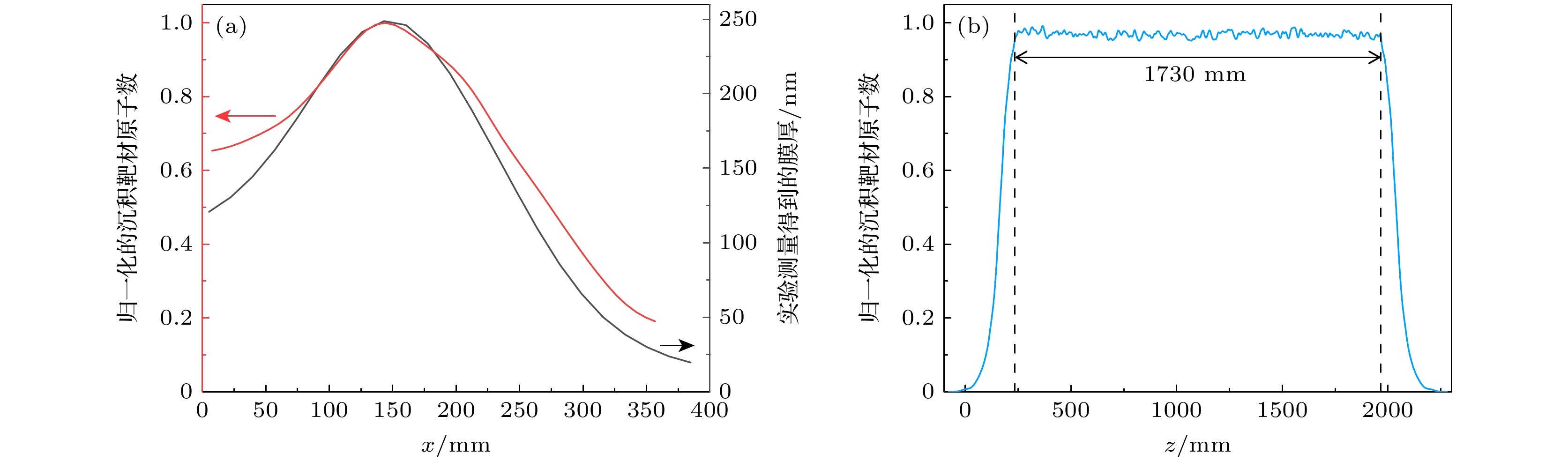
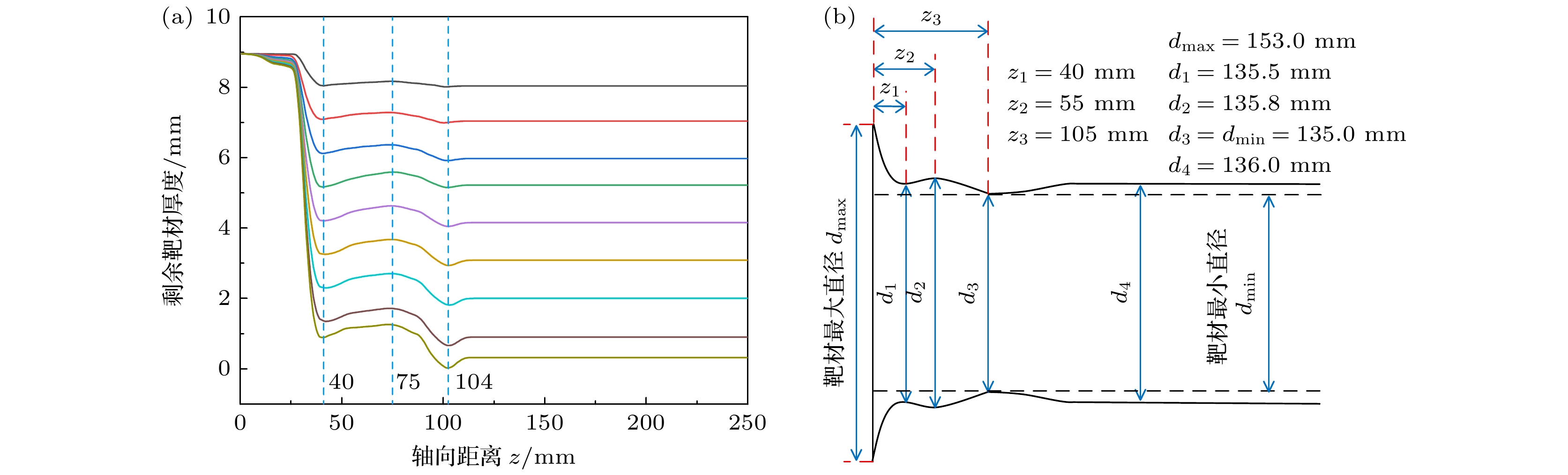
Rotating cylindrical cathodes possess high theoretical target utilization rates and have been widely used in thin film deposition in various industries. Regarding plasma research, the plasma discharge and transport processes of rotating cylindrical cathodes involve three-dimensional systems, unlike those of planar cathodes. Traditional plasma models applied to these systems require a large quantity of computational resources and have poor convergence, making simulation difficult. In this context, the plasma density and electric potential distributions are calculated by a two-dimensional particle-in-cell/Monte Carlo collision (PIC/MCC) model, and they are used as a self-consistent background field in this work. Furthermore, a three-dimensional electron Monte Carlo method is used to track electron motion, so that three-dimensional plasma discharge simulation can be performed. On this basis, using plasma density projection as the etching flux and the cellular automata method, the rotational etching process of the cylindrical cathode is decomposed into stepwise micro-element static etching, thereby achieving three-dimensional etching behavior simulation. Subsequently, the etched target morphology is equivalently treated as the emission flux of In and Sn atoms, and a three-dimensional test particle Monte Carlo method is employed to trace their motion, realizing three-dimensional particle deposition simulation. Thus, a comprehensive three-dimensional simulation system is constructed through incorporating the cathode magnetic field, plasma discharge, target etching, and thin-film deposition into a complete simulation chain. The results indicate that this three-dimensional simulation system can accurately predict the operating conditions of cylindrical cathodes. The plasma stably accumulates on the cylindrical cathode surface, forming a three-dimensional discharge race track. The simulated etching profile is consistent with experimental result, showing the precise matching of the feature points with the residual thickness of the target. The utilization rate of the target material is 85.81%, with an error of less than 2% compared with that of the measurement. The molar ratio of In/Sn on the substrate is 11.76, with an error of 6.6% compared with the results measured by energy dispersive spectroscopy. The particle distribution on the substrate matches the actual film thickness distribution, with a uniform deposition length of 1730 mm, representing an error of only 1.1% compared with corresponding actual value.