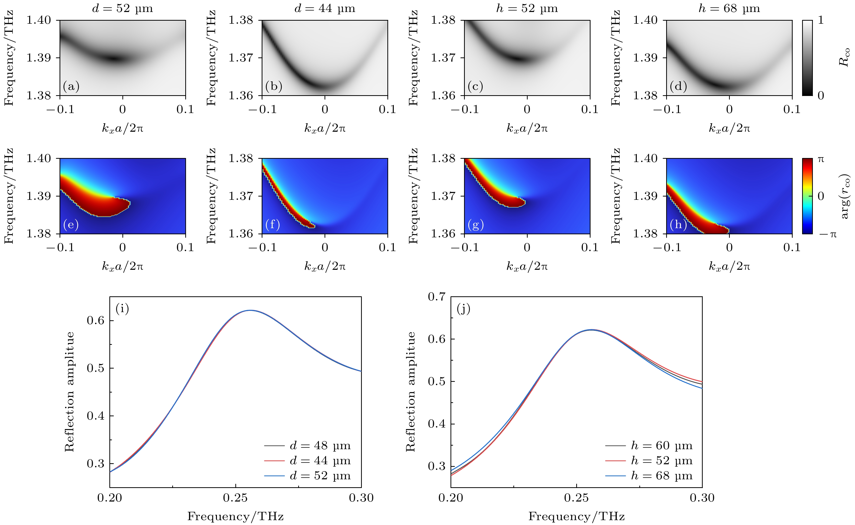
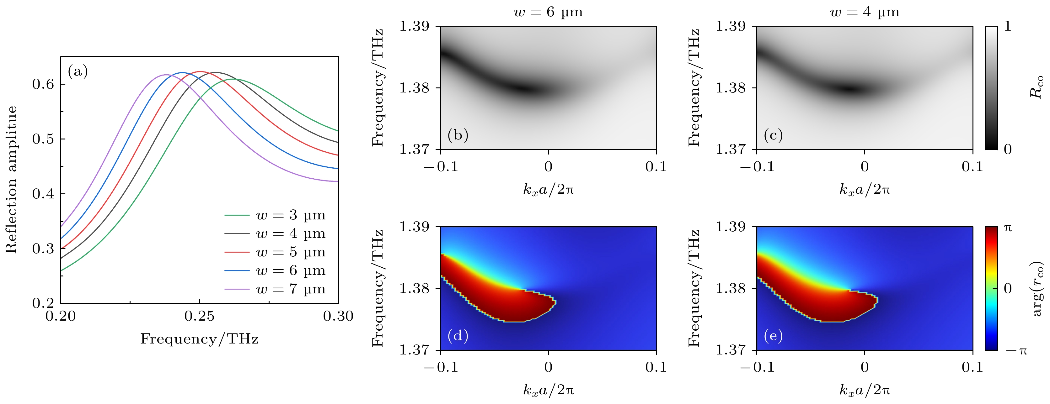
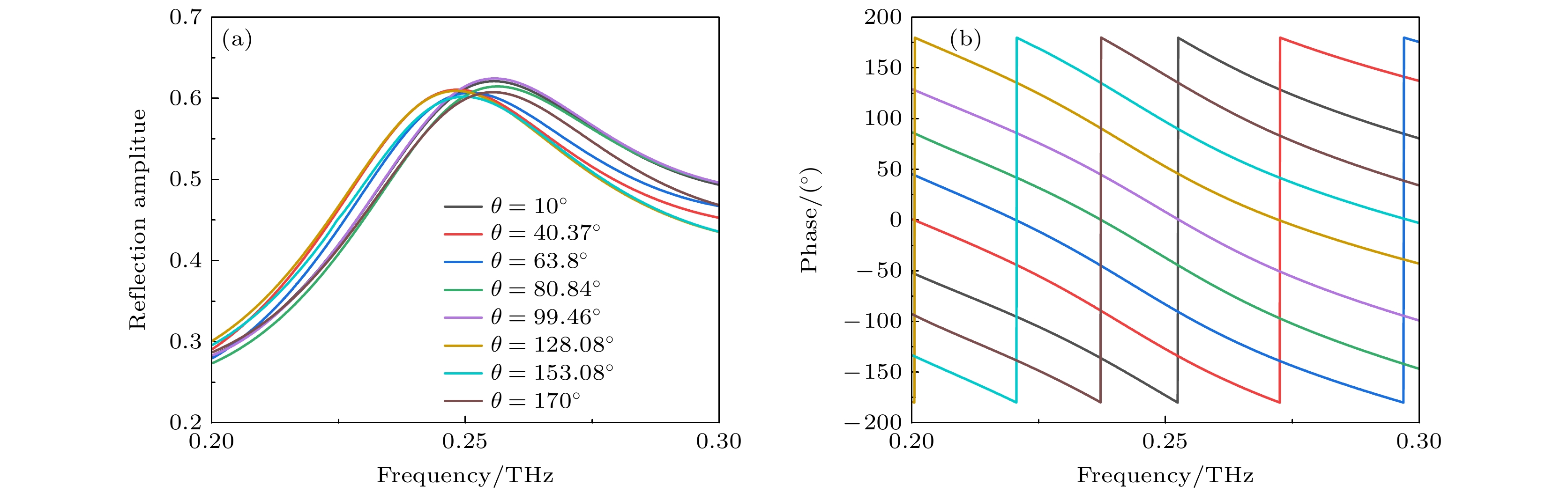
The optical vortex (OV) and spatiotemporal optical vortex (STOV) are special beams carrying different forms of orbital angular momentum (OAM). The OV has longitudinal OAM, whereas the STOV has transverse OAM and is coordinated with time to achieve control. Due to their reliance on different physical mechanisms, traditional optical platforms are difficult to independently control these two vortex beams on the same platform. This limitation, to some extent, hinders the understanding of the unified physical mechanism underlying spatial and spatiotemporal orbital angular momentum and also slows the development of multi-dimensional light field manipulation technology. This paper proposes a terahertz (THz) metasurface device based on vanadium dioxide (VO2) phase change material. The device integrates in-plane asymmetry, provided by triangular pores and required to excite STOV, with anisotropic phase units, realized by VO2 broken rings and needed to generate OV, into one metasurface platform, This integration enables dynamic switching of OV and STOV on the same metasurface platform. The uniqueness of its design and the key to achieving functional integration lie in the selection of Si and VO2 materials for the upper layer of the metasurface. When VO2 is in the insulating state, its dielectric constant in the THz band is similar to that of Si and its conductivity is very low. Different rotation angles of the units can still be considered as a periodic structure with the same symmetry on a macroscopic scale. The structure uses circularly polarized waves for reflection, generating a topological dark point at approximately 1.376 THz and a topological dark line between 1.3765 THz and 1.378 THz, which excites STOV. When VO2 transforms into a metallic state, its high conductivity makes the broken ring a dominant scatterer. By reasonably arranging the encoded units of the metasurface and combining the Pancharatnam-Berry (PB) phase, not only can OV with different topological charges be generated, but also multi-channel and multi-functional OV can be created through convolution theorem and shared aperture theorem. Subsequently, the influence of structural parameters is analyzed in detail. By changing the shape of the triangular pores and the thickness of the broken ring, the two vortex beams are adjusted, and it is found that they have strong topological stability under different conditions and can be reversibly switched through temperature control. This research provides a new idea for realizing multifunctional vortex light generation in the terahertz frequency band and opens up new avenues for the application of vortex light in terahertz communication and optical information processing.