Photo-acoustic technology based on a low power blue diode laser for measuring the ppb level NO
2is presented in this paper. A low-cost NO
2measurement system based on traditional photo-acoustic technology is established. The 405 nm blue diode laser with an external modulation is used as a light source. The central wavelength of the laser is 403.56 nm, the half-peak full width is 0.84 nm, and the power is 65.3 mW. The effective absorption cross section of NO
2is obtained, and the interference of the water vapor and other trace gasisinvestigated. The resonant frequency is tested to be 1.35 kHz by frequency scanning fitting. An internally polished and coated poly tetra fluoroethylene aluminum cylindrical cavity is used as a photo-acoustic resonator (the inner diameter is 8 mm and the length is 120 mm). The influence factors caused by cavity parameters, optical windows and power supply are studied. The system is optimized to reduce background noise and improve signal-to-noise ratio. Then the noise signal is dropped to 0.02
${\text{μV}}$
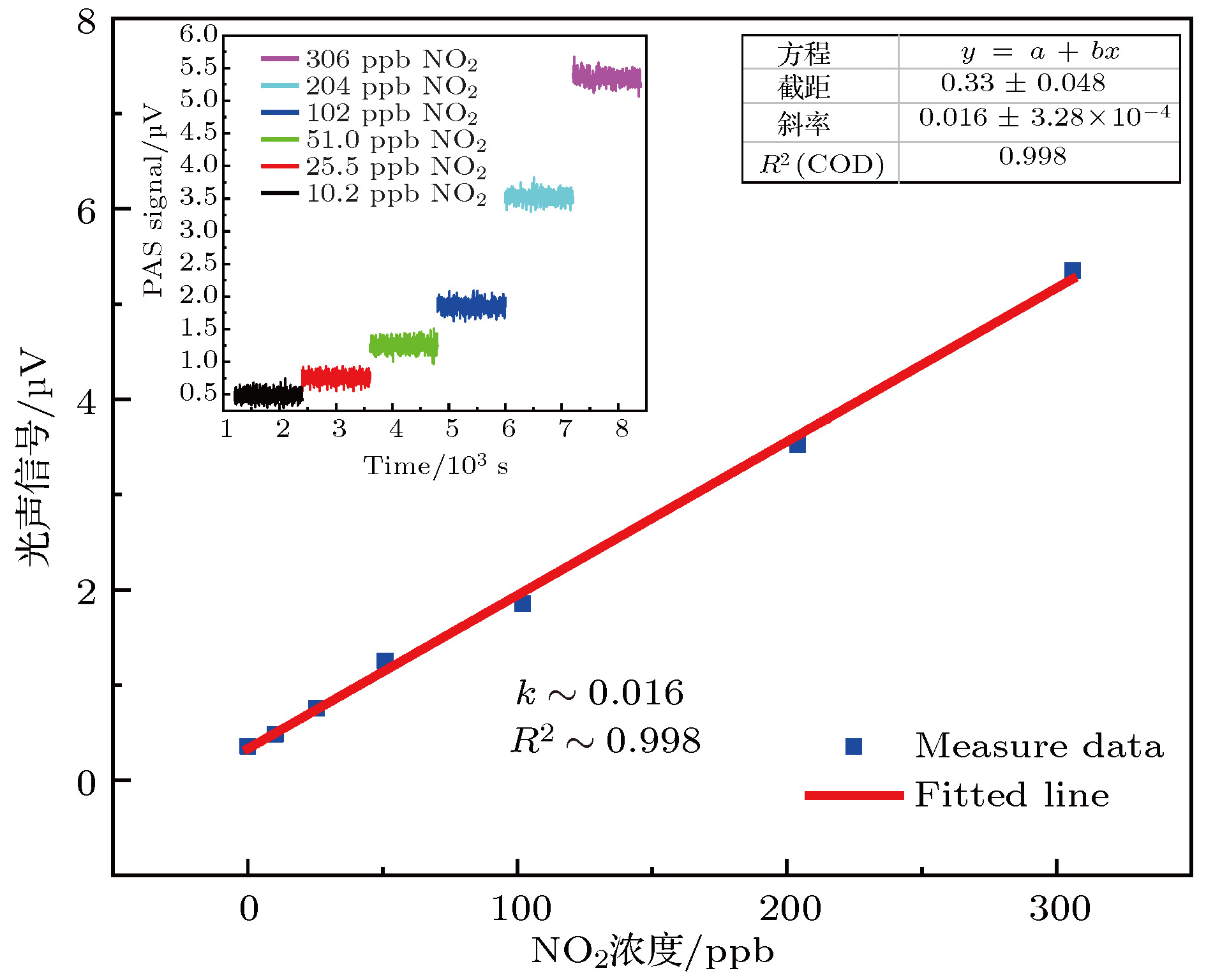
. An additional buffer chamber is integrated on the original buffer chamber to form a two-level buffer. The two-stage buffer structure significantly suppresses the effects of airflow noise and improves the system stability. The slope of the calibration curve of the system after linear fitting is 0.016
${\text{μV/ppb}}$
, and R
2is 0.998. The NO
2detection limit of system is 2 ppb (3
$\sigma$
) with an average time of 60 s. To verify the results of the system, a diode laser cavity ring-down spectroscopy system (CRDS system, using a 409 nm the diode laser, with a system detection limit of 6.6 × 10
–1) is used to measure ambient NO
2simultaneouslyon Lake Dong-Pu in western Hefei, Anhui Province, China. During the experiment, the measured NO
2concentration ranges from 8 to 30 ppb, with an average concentration of 20.8 ppb. The results of two systems have good consistency:alinear fitting slope of 0.94 ± 0.009, an intercept of 1.89 ± 0.18 and acorrelation coefficient of 0.87. The experimental results show that the system can realize the low-cost on-line detection of the ppb level NO
2, and it can also be used for the real-time detection of NO
2concentration field.