-
由于电场强度能够影响铁电材料的极化强度和介电常数, 因此唯象系数
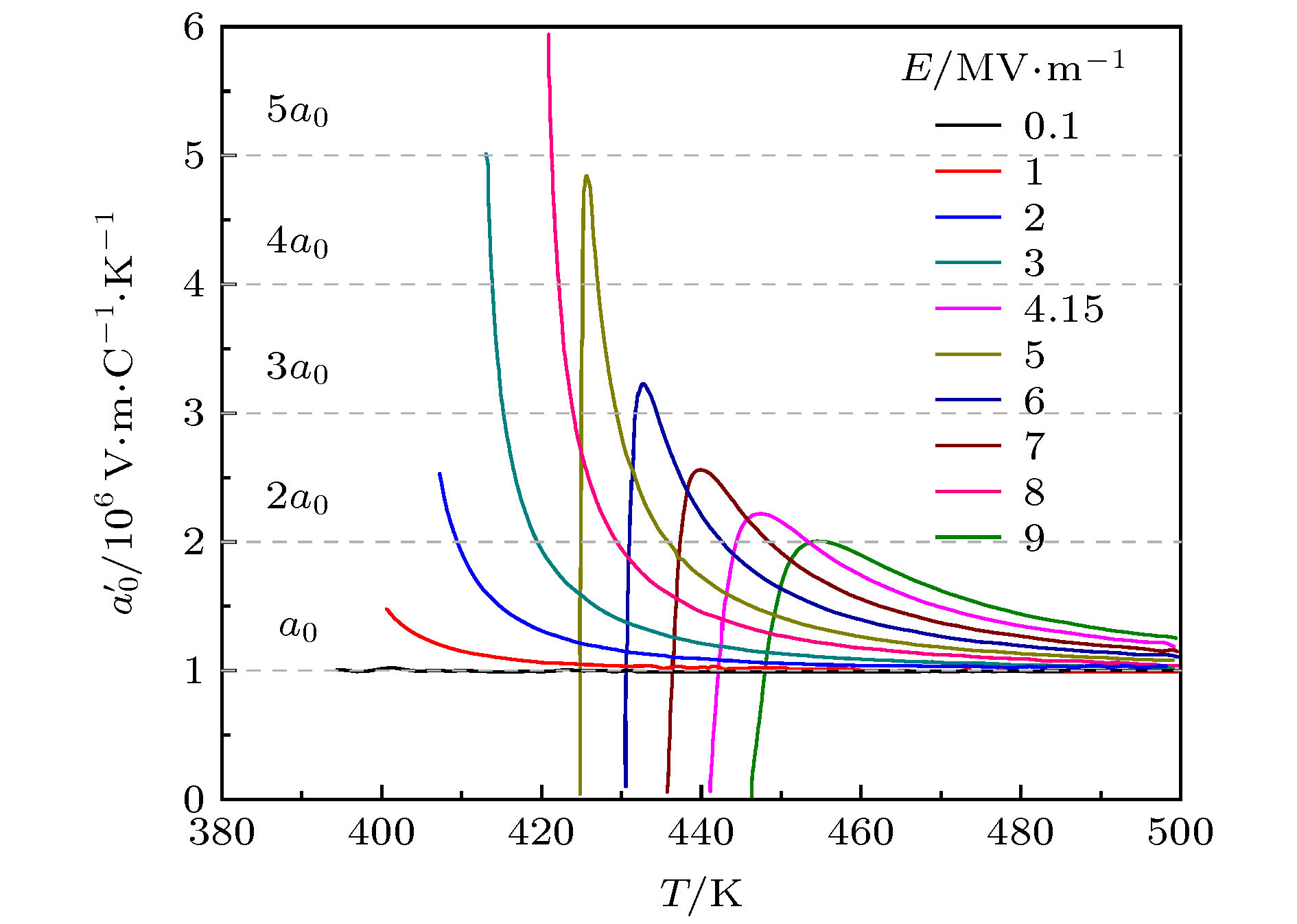
$ {a}_{0} $ 是电场强度的隐函数. 在铁电相区域, 唯象系数$ {a}_{0} $ 由铁电极化强度和介电常数倒数确定, 是电场的非线性函数. 在顺电相区域, 唯象系数$ {a}_{0} $ 由介电常数倒数确定, 也是电场的非线性函数. 本文研究了铁电共聚物、铁电三聚物和钛酸锶钡钙陶瓷的唯象系数与电场的关系, 发现唯象系数随电场的增加而增加, 最大约1倍. 电卡强度被用来表征电卡材料在电场作用下的电卡效应强弱, 通过研究电卡强度可以发现高效率的电卡材料. 本文通过热力学理论, 得到了电卡强度的解析表达式, 发现唯象系数、相变温度、极化强度、比热以及相变温度处的介电常数峰值, 对电卡强度具有明显的影响. 该表达式适用于一级相变材料、二级相变材料、以及弛豫型铁电体.As the electric field can affect the polarization and dielectric constant, the phenomenological coefficient a 0is an implicit function of electric field. The phenomenological coefficient a 0is determined by the polarization and the reciprocal of permittivity, and a nonlinear function of electric field in the ferroelectric phase regime. In the paraelectric phase regime, however, a 0is merely subjected to the reciprocal of permittivity, and also a nonlinear function of electric field. In this paper, we investigate the electric field dependence of phenomenological coefficient in ferroelectric copolymers, terpolymers and Ba 0.85Ca 0.05Sr 0.1TiO 3ceramics. It is indicated that the phenomenological coefficient increases with the increasing electric field, the maximum value is obtained to be about 2 times the original value. Moreover, the electrocaloric strength is used to measure the magnitude of electrocaloric effect of electrocaloric materials in an external electric field. It can be used to find out novel and efficient electrocaloric materials through studying the electrocaloric strength. Based on the thermodynamic theory, the analytical expression of electrocaloric strength is deduced. It is found that the phenomenological coefficient, phase transition, specific heat capacity, and permittivity versus temperature peak value at the phase transition temperature have a clear influence on the electrocaloric strength. The expression can be applied to 1 storder, 2 ndorder phase transition materials and relaxor ferroelectrics.[1] [2] [3] [4] [5] [6] [7] [8] [9] [10] [11] [12] [13] [14] [15] [16] [17] [18] [19] [20] [21] [22] -
唯象系数符号 唯象系数数值 a0 1.15 × 106 b –5.24 × 109 c 2.16 × 1010 -
[1] [2] [3] [4] [5] [6] [7] [8] [9] [10] [11] [12] [13] [14] [15] [16] [17] [18] [19] [20] [21] [22]
计量
- 文章访问数:9295
- PDF下载量:348
- 被引次数:0












下载:




