Measurement of the bubble size distribution (BSD) and the void fraction in bubbly liquids is very important for many areas, such as ocean science, cavitation inception studies, and military applications. The methods of using acoustical attenuation caused by bubbly liquid to estimate the BSD can date back to Medwin’s research in which the resonant bubble approximation (RBA) was proposed [Medwin H 1970
J.Geophys.Res.
75599]. In the traditional theory, the methods used to invert the acoustical attenuation for obtaining the BSD are well developed and useful for the low void fraction. However, the comparison between the results from the conventional methods and the experimental results is not satisfactory when the void fraction is higher than 10
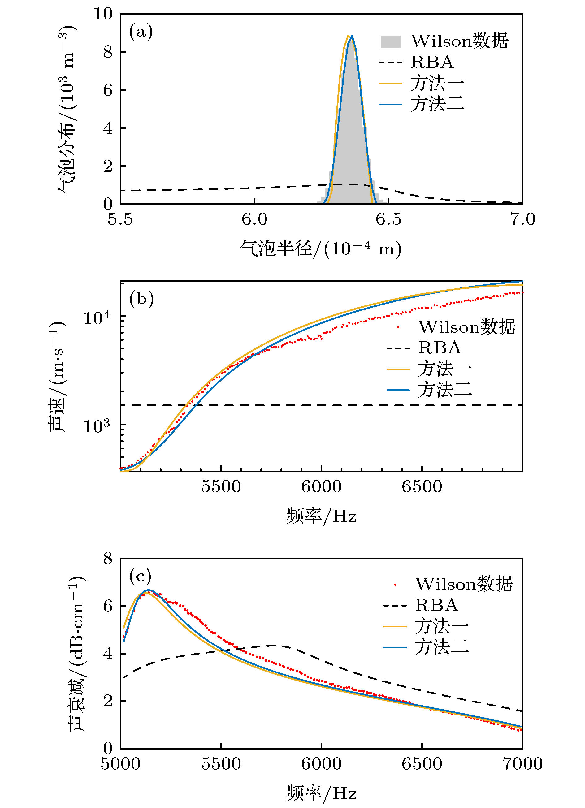
–5. In fact, the frequency dispersion and the bubble interaction in bubbly liquid should be considered in the process of inverting the BSD for the high-density bubble group. In this paper, the relationship between the attenuation and the phase velocity of bubbly liquid is analyzed based on the effective medium theory, and the bubbles’ interaction is considered by calculating the change of vibration parameters of bubbles. On this basis, we propose an iterative method to accurately determine the BSD of the high-density bubble group. In this iterative method, the errors of the inversion results are reduced by estimating the phase velocity and the vibration parameters of bubbles from sound attenuation. This iterative method is numerically tested for the bubble distributions of log-normal and power-law functions. The simulation results are in good agreement with the given bubble distributions for the void fractions higher than 10
–3. Further, the influence of the frequency dispersion and the bubble interaction on inversion results are discussed. Compared with the experimental data, the inversion results calculated by the iterative method show that considering the dispersion can significantly reduce the errors, when the void fraction of bubbly liquid increases up to 10
–5. And the correction to bubble damping coefficient and resonance frequency have an important effect on the inversion result when the void fraction of bubbly liquid is higher than 10
–3, indicating that the iterative method proposed by this paper can be a useful tool for inverting the BSD of the high-density bubble group in the liquid.