In order to explore the dynamic characteristics of bubbles in the cavitation bubble cluster in detail, the dynamic equation of a bubble with arbitrary location inside the bubble cluster is established in this paper, based on the interactions between bubbles inside the bubble cluster driven by ultrasound. The effects of evaporation and condensation of the water vapor are also taken into account in the derivation process. Based on the proposed equation, the influences of the bubble position, number of bubbles, and initial radius of bubbles on the dynamic characteristics of cavitation bubbles are studied, and the corresponding change laws of the bubble radius, energy, temperature, pressure, as well as the number of water vapor molecules in a bubble are investigated under ultrasound.
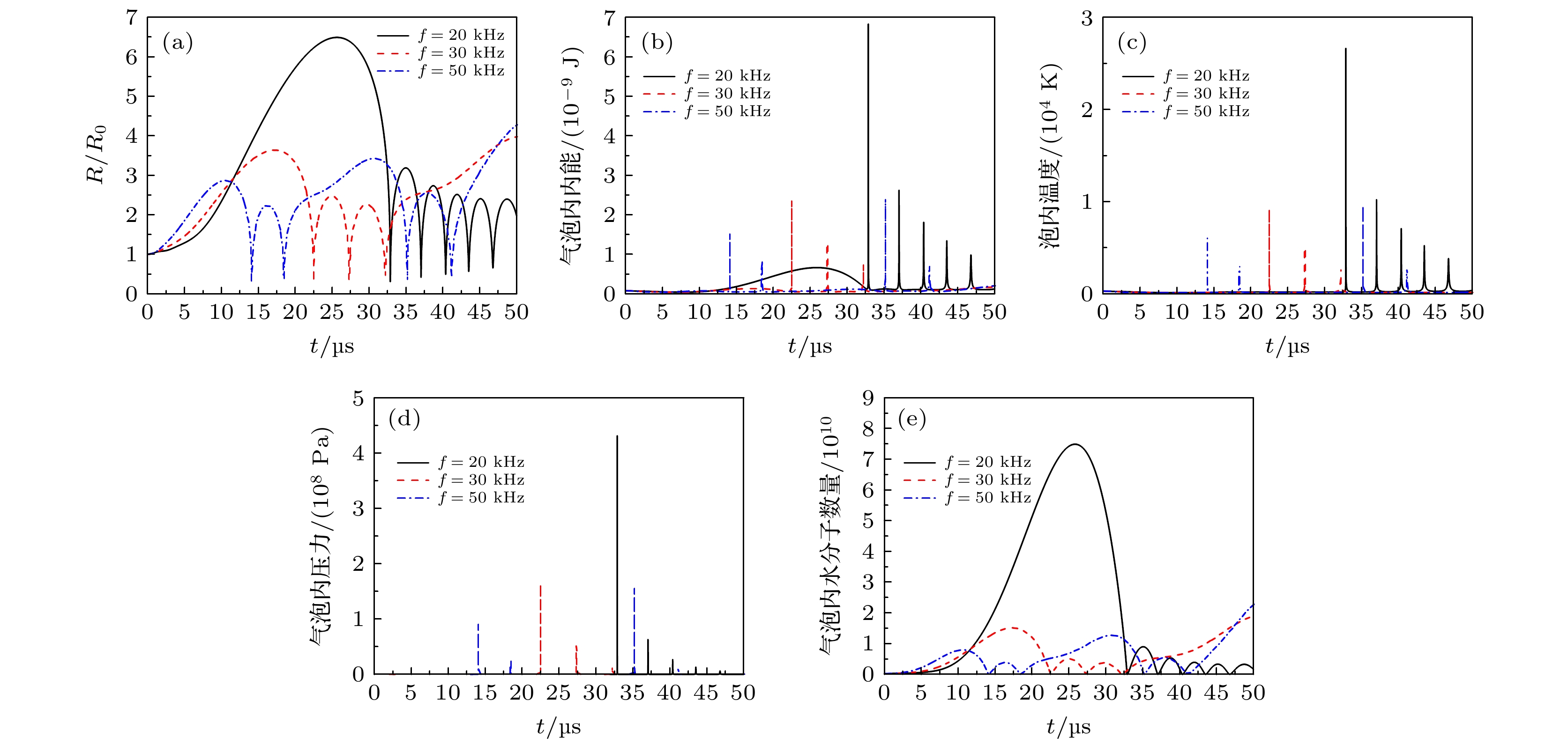
The calculation results are shown below. 1) Comparing with an isolated bubble, the oscillation of a bubble inside the bubble cluster is suppressed by its surrounding bubbles, which leads to the fact that the vibration amplitude of a bubble inside the bubble cluster is smaller, and that the internal energy, maximum temperature, maximum pressure and the number of water molecules in the bubble all become smaller. As the distance between the bubble and the center of the bubble cluster increases, the vibration amplitude of the bubble become larger. 2) The initial radii of the bubbles in the bubble cluster can significantly affect the normalized vibration amplitude, collapse time, internal energy, temperature, and pressure of bubbles, as well as the number of water vapor molecules in bubbles of the bubble cluster. 3) As the number of bubbles in the bubble cluster increases, the vibration amplitudes of the bubbles decrease. 4) The higher the ultrasonic frequency, the smaller the oscillation amplitude of the bubble; the smaller the maximum pressure and energy of the bubble, the larger the minimum value of the internal pressure and temperature of the bubble and the less the number of water molecules in the bubble. When the ultrasonic frequency increases, the cavitation effects of bubbles in the bubble cluster are suppressed. 5) As the ultrasonic sound pressure increases, the oscillation amplitudes of the bubbles in the bubble cluster increase, the maximum values of the bubbles' radii increase, the collapse times of the cavitation bubbles increase, and the number of oscillations of bubbles decreases after the cavitation bubbles have collapsed. Additionally, the maximum value of internal energy, temperature, pressure, and the number of water molecules in the bubble also increase as the ultrasonic sound pressure increases, while the minimum value of the pressure and temperature of the bubble decrease. Besides, when the ultrasonic sound pressure increases, the cavitation effects of the bubbles in the bubble cluster turn stronger.
This paper focuses on the dynamic characteristics of ultrasonic cavitation bubble cluster from the theoretical aspect and the results can be further applied to experimental analysis.