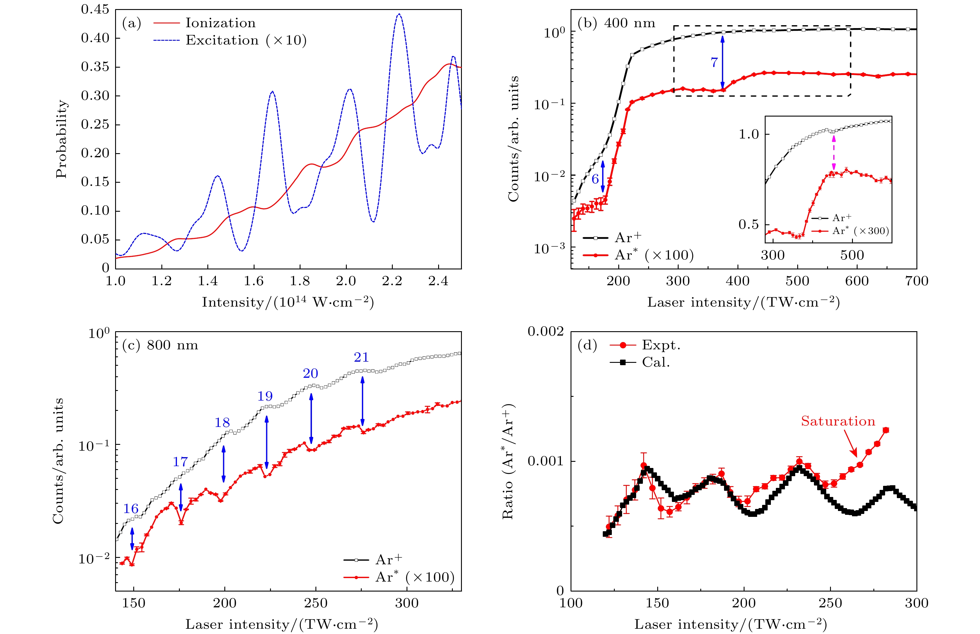
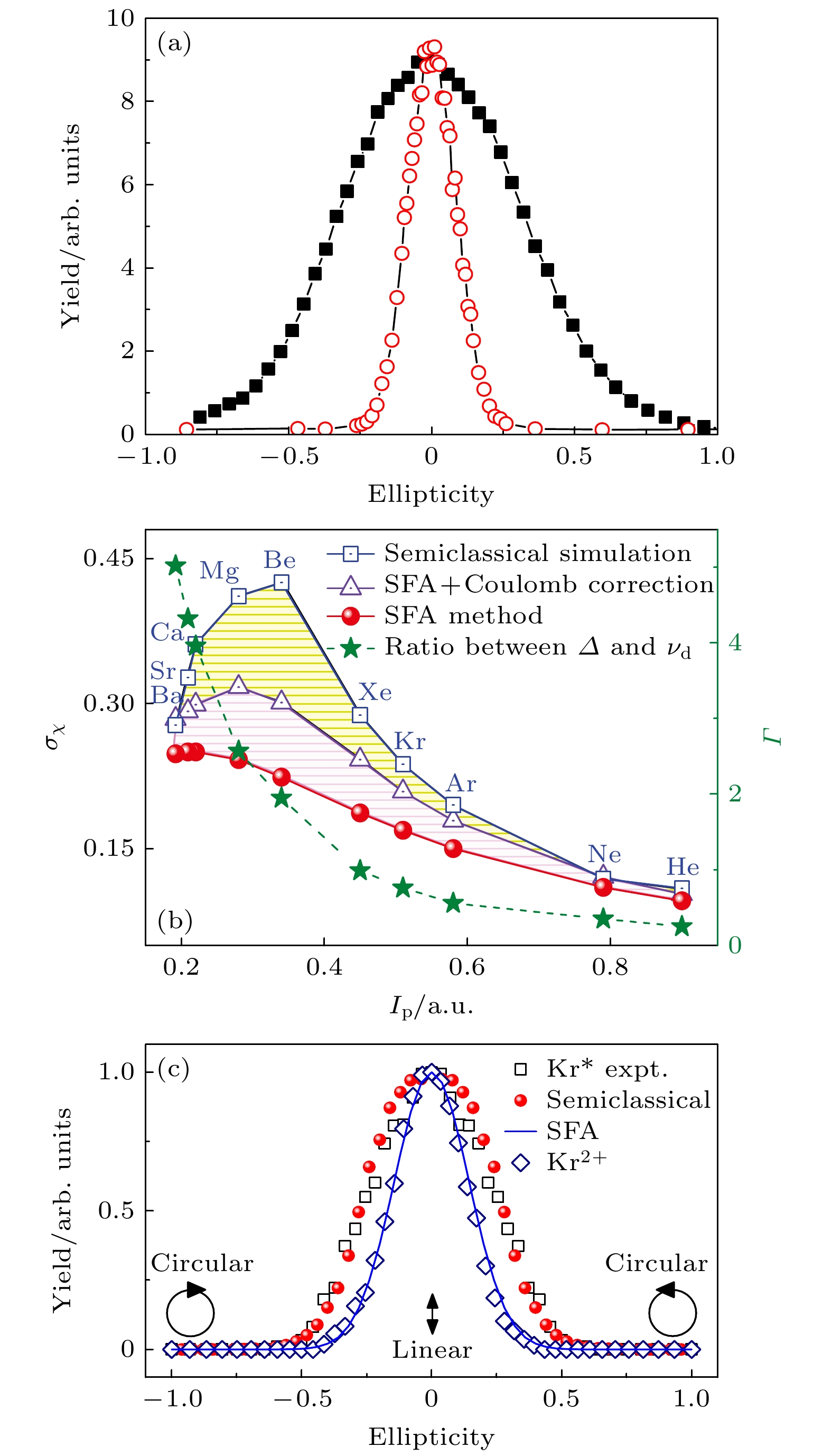
When atoms or molecules are irradiated by a strong laser field with pulse duration of tens of femtoseconds and intensity larger than 10
13W/cm
2, they will generally undergo tunneling ionization, which will induce various non-perturbative and highly nonlinear phenomena. Investigations into the strong field physical processes is of significance in studying attosecond physics, molecular orbital imaging, ultrafast electron diffraction and advanced short ultraviolet light sources. While there is a relatively long history of the studies of tunneling ionization induced physics including high-order above threshold ionization (HATI), high-order harmonic generation (HHG) and non-sequential double ionization (NSDI), it is until recently to surprisedly find that in the tunneling ionization region, neutral atoms or molecules can survive in strong laser fields in highly excited Rydberg states. As a basic process of the interaction between ultrafast strong laser fields and atoms or molecules, such a Rydberg state excitation (RSE) has been viewed as an important supplement to the physical picture of the tunneling ionization. During the past several years, the extensive research attention has been paid to the RSE process in strong laser field. Various theoretical and experimental methods have been developed to investigate the strong field RSE of both atoms and molecules, to understand the underlying physical mechanism behind the recapture of the tunneling electrons and to reveal the quantum features and molecular structure effect in RSE. These advances have brought about an in-depth understanding and a systematic view of the atomic and molecular RSE in strong laser fields, as well as their relations to the other tunneling ionization induced physical processes such as ATI, HHG and NSDI. Here, we systematically review recent research progress of the atomic and molecular RSE in strong laser fields. We particularly focus on several aspects of this strong field process, i.e. the physical mechanism of the recapture, the quantum feature and the interference of different orbits, and the structure effect in molecular RSE. In addition, neutral particle acceleration and coherent radiation which can be induced by the strong field RSE, are also discussed. Finally, we provide a short summary and prospect of the future studies on the strong field RSE.