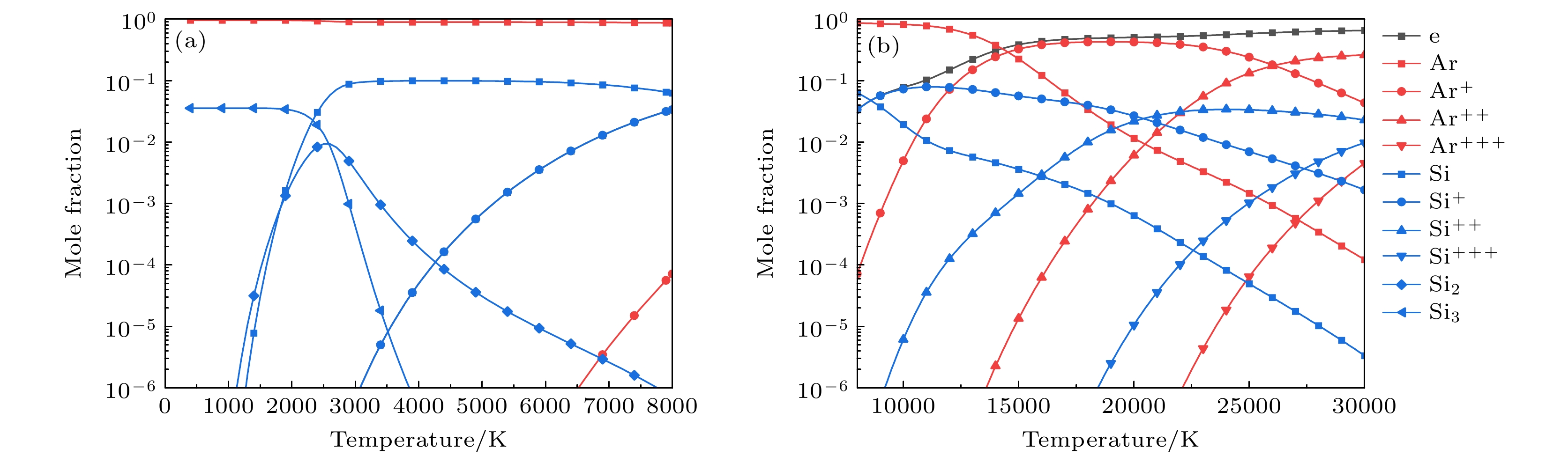
The compositions, thermodynamic properties and transport coefficients of the argon-carbon-silicon plasma at local thermodynamic equilibrium and local chemical equilibrium in temperatures range of 300-30000 K and pressure range of 0.1 to 10 atm and are different mixture ratios are investigated in this work. The condensed phases and Debye-Hückel corrections are both taken into account. The equilibrium component in gas phase is calculated by mass action law (Saha’s law and Gulberg-Waage’s law), Dalton’s partial pressure law, conservation of the elements and charge quasi-neutral equation, and at the same time the condensed species is calculated under the assumption of local phase equilibrium. Thermodynamic properties including density, enthalpy and specific heat are evaluated through a classical statistical mechanics approach. The transport coefficient calculations including viscosity, electrical conductivity, and thermal conductivity are carried out by using a third-order approximation (second-order for viscosity) of the Chapman-Enskog method. Collision integrals are obtained by using the relatively new data. The results show that the concentration and ratio of blend of C vapor and Si vapor can greatly affect the properties of the Ar plasma owing to the introduced C and Si vapor’ s own properties and their new reactions. While the pressure influences those properties through the shift of chemical equilibrium and the change of total number density. In addition, the introduction of condensed species leads the thermodynamic properties and transport coefficients of the lower temperature plasma to become almost the same as those of pure argon, and causes discontinuous points at phase-transition temperature. The final calculation results are in good agreement with those in the literature, and the slight difference in transport coefficient between them can be explained by the different selection of interaction potentials. The results are expected to provide reliable basic data for the numerical simulation of argon-carbon-silicon plasma.