To tunnel, or not to tunnel, that is the question for a Josephson junction constructed by superconductors with unidentified pairing symmetry. Theoretically, Josephson tunneling is forbidden between two
d-wave superconductors twisted by 45°. This is in sharp contrast to persistent tunneling between two
s-wave superconductors. Experimentally, however, Josephson tunneling is observed in twisted bicrystalline cuprates at around 45°, against the expectation that cuprate superconductors possess
d-wave pairing. Due to technical uncertainties, the early studies on twisted bulk cuprates were not widely recognized. The recent advent of van der Waals stacking has allowed a fresh look at this problem. Indeed, twisted thin flakes of cuprates have been realized and the corresponding pairing symmetry has been revisited both experimentally and theoretically. In this work, we overview the recent development on twisted cuprates. After summarizing the theoretical treatment and recent proposals, we introduce the technical progress of making the twisted cuprate junctions in van der Waal stacking, and discuss the recent experimental results of
s-,
d-, or
d+ i
d-wave pairing. In the end, we propose possible directions for future exploration in this field.
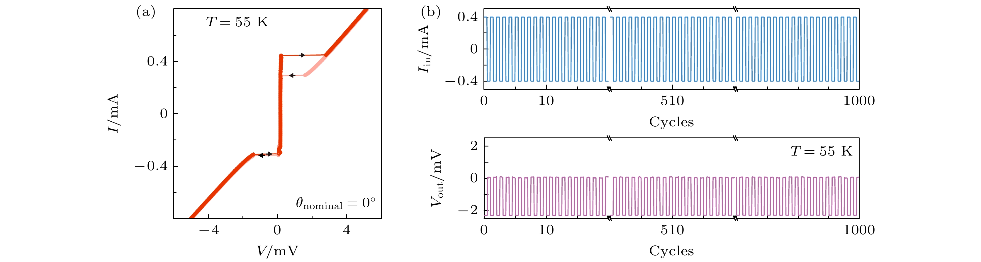
This paper has three major sections: theories on twisted cuprates in Section 1, techniques of realizing twisted cuprates in Section 2, and experimental results on twisted cuprates in Section 3. Specifically, in Section 1, both the early theory and the latest theoretical proposals are introduced. After discussing the calculated angular dependence of Josephson tunneling between two
d-wave or
s-wave superconductors, we summarize the predicted features from the emergent
d+i
d-wave pairing. They include unconventional temperature dependence of the critical Josephson current, doubling in frequency of the Fraunhofer pattern or Shapiro steps, and spontaneous Kerr rotation or emergence of Josephson diode effect. In Section 2, the technological progress of van der Waals stacking of cuprate superconductors is presented. Ultrathin twisted Josephson junctions of cuprates can be realized by either dry stacking together with oxygen post-annealing or cryogenic stacking at tens of degrees below 0 °C. In Section 3, the recent experimental results on van der Waals stacked twisted cuprates are reviewed. Tunneling in twisted underdoped cuprates realized by post-annealing indicates the existence of
s-wave pairing and strong deviation from pure
d-wave pairing. This result is contrasted with another study on cryogenically stacked junctions. There, signatures of
d+i
d-wave pairing, such as fractional Shapiro steps, are reported. Still, our recent experiments on 45°-twisted junctions with ultraclean interfaces, which are also realized by cryogenic stacking, show standard Fraunhofer patterns and AC Josephson effect with only integer steps, indicating the absence of
d+ i
d-wave pairing. These results have far-reaching influence on understanding the pairing symmetry of twisted cuprates. Future efforts to study the twisted cuprates may include: extending to a wider pool of materials, pushing the thickness to the atomic limit, and adopting other characterization tools. The twisted cuprates may also find applications in high temperature superconducting quantum bit as well as Josephson diodes.