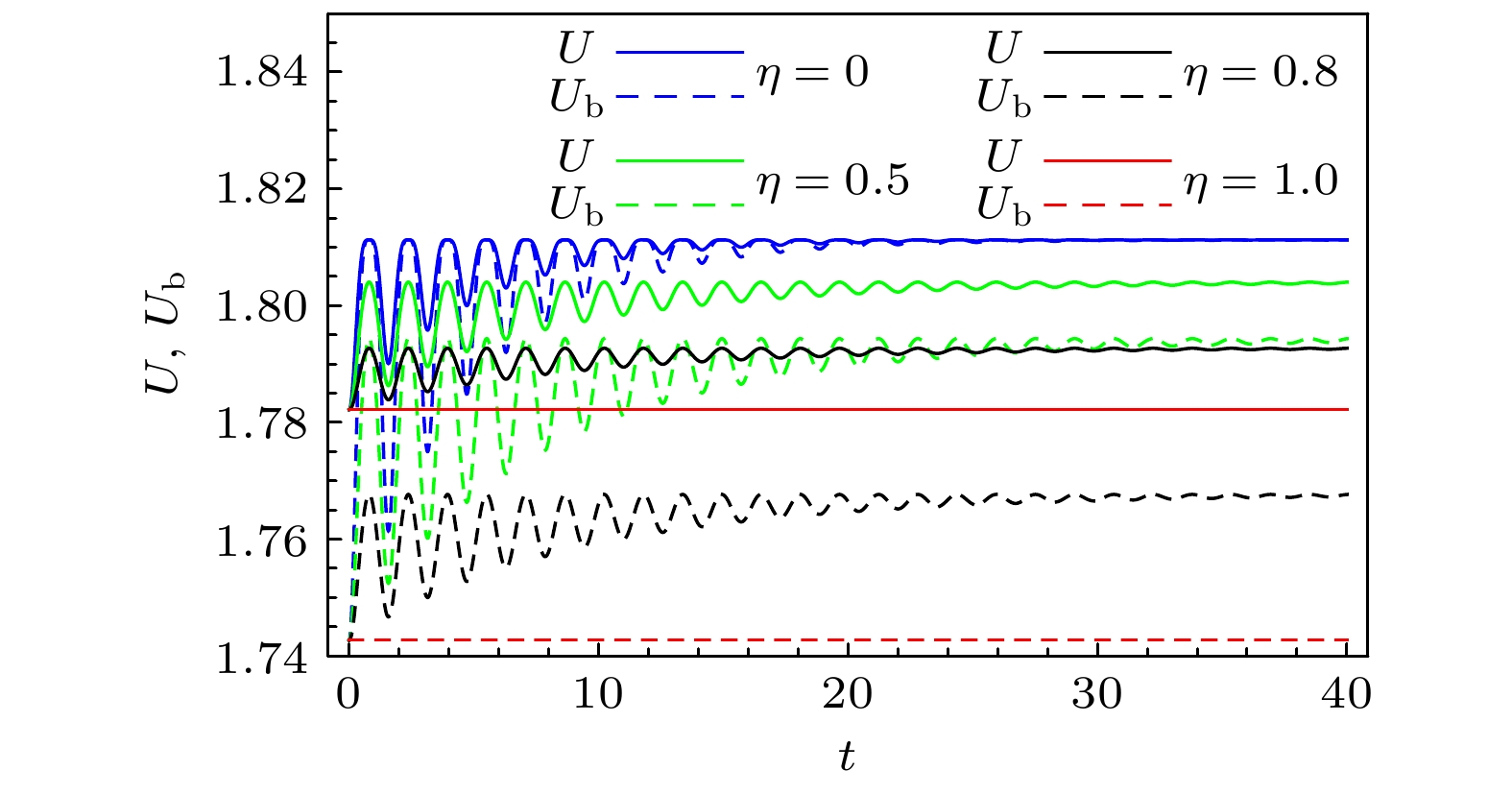
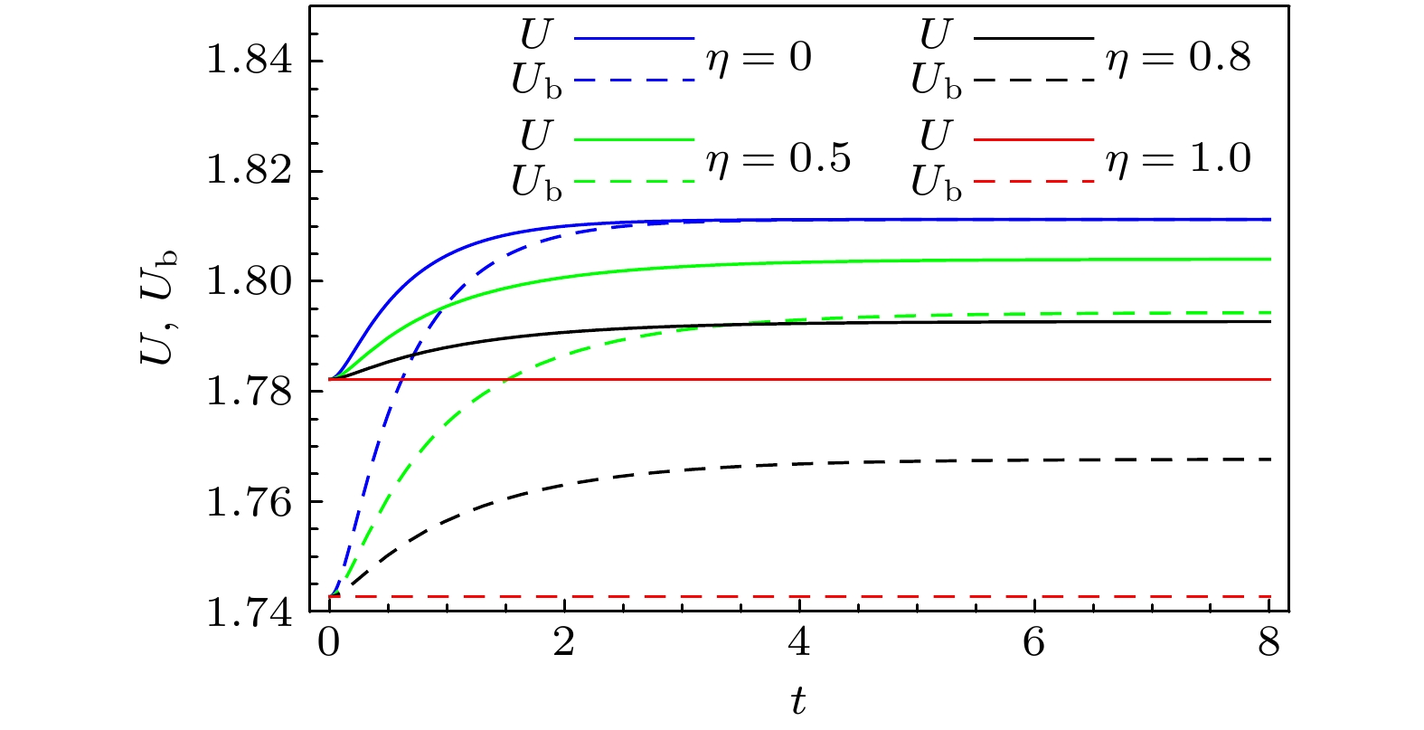
The uncertainty principle which restricts the observer's ability to make precise measurements of two incompatible observables plays a crucial role in quantum precision measurement within the field of quantum information science. When quantum systems interact with their surroundings, they inevitably result in decoherence, which increases the uncertainty of the system. In the process of quantum information processing, the effective regulation of uncertainty becomes a key problem to be solved. In this work, we investigate the quantum-memory-assisted entropic uncertainty relation of a two-qubit system under correlated channels with dephasing colored noise. We demonstrate that it is possible to control the entropic uncertainty, denoted as
U, and its lower bound,
U
b, by combining correlations between successive uses of channels and the non-Markovianity of the dynamical evolution. Firstly, the evolutionary characteristics of the trace distance are employed to distinguish between Markovianity and non-Markovianity of the channel. Subsequently, the system is selected to be either a maximally entangled or separated state initially. By adjusting the strength of the correlations
η, we find that with the increase of
η, the entropic uncertainty and its lower bound decrease. Especially, if the channel is fully correlated (
η= 1), the entropic uncertainty and its lower bound remain constant under the channel, indicating that decoherence is completely suppressed. A comparison of Markovian and non-Markovian channels reveals that the entropic uncertainty and its lower bound exhibit oscillatory behaviour under non-Markovian channels. The combination of correlations and non-Markovianity of the channel demonstrates that the entropic uncertainty and its lower bound can be reduced under fully correlated channels where the non-Markovianity has no effect. This is because fully correlated channels suppress decoherence to the greatest extent. Under partially correlated channels, the combination of correlations and non-Markovianity can result in a more effective reduction in the entropic uncertainty and its lower bound. Under such channels, correlations of the channel decrease the entropic uncertainty and its lower bound during the whole evolution, while the non-Markovianity contributes to the oscillations of them and reduce them in some specific time. Furthermore, the results show that the entropic uncertainty and its lower bound reach steady values that depend only on the strength of the correlations after long-time evolution. In other words, the stronger the correlations, the lower the entropic uncertainty and its lower bound of steady states. Finally, we analyse the physical nature of the decrease of the entropic uncertainty and its lower bound, and it is found that the decrease of the entropic uncertainty and its lower bound is due to the increase of the quantum correlations in the system.