Parity-time reversal (PT) in atomic systems is of great significance for exploring exotic phenomena in non-Hermitian physics and non-Hermitian systems. It has been found that if PT symmetry is satisfied only in a certain spatial direction, then the Hamiltonian of the system still has a spectrum with eigenvalues of real numbers, which is called partial PT symmetry. In this paper, we use a Λ-type three-level atomic system, which is composed of two ground states $\left| {6{{\mathrm{S}}_{1/2}}, F = 3} \right\rangle $,$\left| {6{{\mathrm{P}}_{3/2}}, F' = 4} \right\rangle $and an excited state $\left| {6{{\mathrm{P}}_{3/2}}, F' = 4} \right\rangle $of cesium atom, to investigate the partial PT symmetry. A probe laser with the detuning of
Δ
3= 607 MHz and a couple laser satisfy the condition of two-photon Raman absorption of cesium atom, forming a loss channel. In order to construct the gain channel, we add the repumping laser that resonates during the transition of $\left| {6{{\mathrm{S}}_{1/2}}, F = 3} \right\rangle $to $\left| {6{{\mathrm{P}}_{3/2}}, F' = 4} \right\rangle $, changing the population of the two ground state energy levels, thus reducing the absorption of the Λ level system and forming the gain channel of the atomic system under certain conditions. In order to obtain the equilibrium condition of the partial PT-symmetric system, firstly, the light spot of the repumping laser in the experiment is covered by the probe laser, and then the repumping laser is moved to overlap with half of the probe laser of the detection light. When the gain and loss are balanced, the partial PT-symmetric system is in equilibrium.
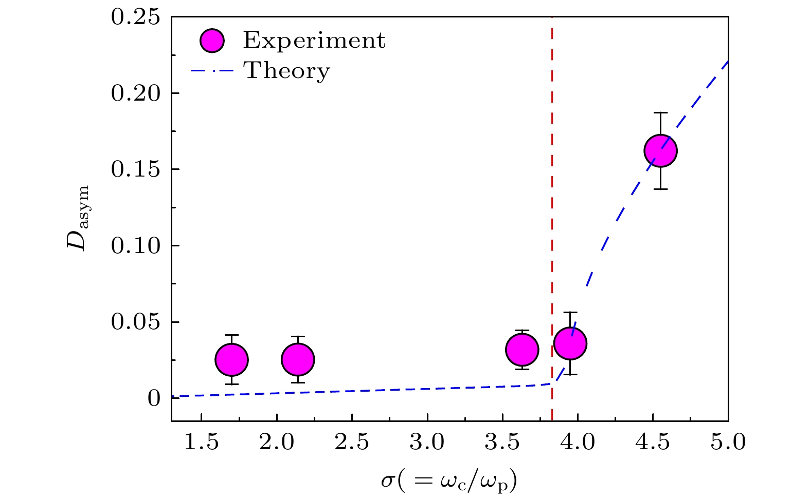
By changing the beam-waist ratio
σof the coupling laser to the probe laser, the transition from symmetry to broken phase is observed in partial PT-symmetric systems. By measuring the asymmetry of the detection-beam intensity distribution
D
asym, we can accurately determine the partial PT symmetry breaking point, and the breaking point is located at $\sigma = {\sigma _{cr}} \approx 3.8$. The theoretical calculations are in good agreement with the experimental measurements. The results of partial PT symmetry and its phase transition, reported in this study, open up a way to actively manipulate multidimensional laser beams in non-Hermitian systems and have potential applications in the design of optical devices for laser amplification and attenuation in different parts of the laser.