-
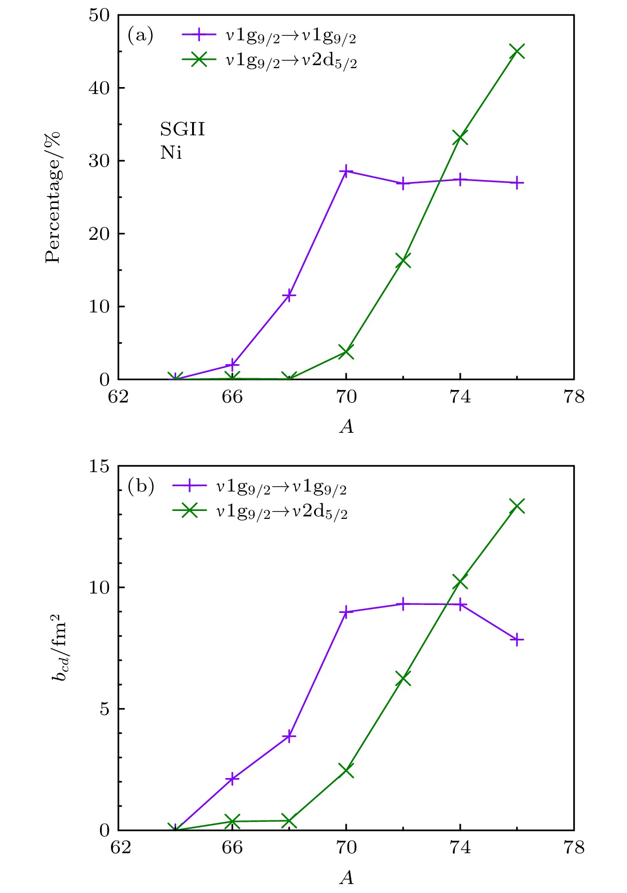
利用Skyrme HF+BCS理论以及自洽的QRPA方法研究了镍同位素链原子核的第一个2+态以及矮四极态的性质随中子数增加的演化情况. 研究中分别采用了SGII, SLy5以及SkM*三种能量密度泛函以及密度依赖的零程对相互作用. 计算得到的镍同位素链原子核第一个2+态的激发能以及电磁跃迁强度能较好地再现实验值. 发现$^{70—76}{\rm{Ni}}$的同位旋标量矮四极态共振能量 (跃迁强度) 随着中子数增加而降低 (增加). 这是由于中子$1{{\mathrm{g}}}_{9/2}$态的占有概率的增加, 由该中子态产生的准粒子激发组态占比增加, 组态激发由质子主导渐变为由中子主导产生. 并发现镍同位素链原子核矮四极态对壳结构的改变比较敏感, 可以为丰中子核的壳演化提供信息.
-
关键词:
- Skyrme能量密度泛函 /
- 矮四极共振态 /
- 壳结构
This work mainly investigates the properties of the low-energy quadrupole strength in Ni isotopes, especially the evolution of the pygmy quadrupole states with the increase of neutron number. And the effect of shell evolution on the pygmy resonance is also discussed in detail. Based on the Skyrme Hartree-Fock+Bardeen-Cooper-Schrieffer (HF+BCS) theory and the self-consistent quasiparticle random phase approximation (RPA) method, the evolution in the nickel isotope chain with the increase of neutron number is studied. And in the calculations, three effective Skyrme interactions, namely SGII, SLy5 and SKM*, and a density-dependent zero-range type force are adopted. The properties of the first 2+ state in Ni isotopes are studied. A good description on the experimental excited energies of the first 2+ states are achieved, and the SGII and SLy5 can well describe the reduced electric transition probabilities for $^{58-68}{\rm{Ni}}$. It is found that the energy value of the first 2+ state for $^{68}{\rm{Ni}}$ and $^{78}{\rm{Ni}}$ are obviously high than those of other nuclei, reflecting the obvious shell effect. In addition to the first 2+ states, pygmy quadrupole states between 3 MeV and 5 MeV with relatively large electric transition probabilities are evidently found for $^{70-76}{\rm{Ni}}$ in the isoscalar quadruple strength distribution. The pygmy quadrupole states have the energy values decreasing with the number of neutrons increasing, but their strengths increase gradually. Therefore, they are more sensitive to the change in the shell structure. This is due to the fact that the gradual filling of the neutron level $1{{\mathrm{g}}}_{9/2}$ has a significant effect on the pygmy quadrupole states of $^{70-76}{\rm{Ni}}$, and it leads to switching from proton-dominated excitations to neutron-dominated ones. The pygmy quadrupole states for $^{70-76}{\rm{Ni}}$ are sensitive to the proton and neutron shell gaps, so they can provide the information about the shell evolution in neutron-rich nuclei.[1] [2] [3] [4] [5] [6] [7] [8] [9] [10] [11] [12] [13] [14] [15] [16] [17] [18] [19] [20] [21] [22] [23] [24] [25] [26] [27] [28] [29] [30] [31] [32] [33] [34] [35] [36] [37] [38] [39] [40] [41] [42] [43] [44] [45] [46] [47] -
States $^{64}{\rm{Ni}}$ $^{68}{\rm{Ni}}$ $^{72}{\rm{Ni}}$ $^{76}{\rm{Ni}}$ $E_{{\mathrm{q.p}}.}$ $\upsilon^{2}$ $E_{{\mathrm{q.p}}.}$ $\upsilon^{2}$ $E_{{\mathrm{q.p}}.}$ $\upsilon^{2}$ $E_{{\mathrm{q.p.}}}$ $\upsilon^{2}$ $1{\rm{f}}_{7/2}$ 7.43 0.98 8.89 0.99 10.47 0.99 11.47 1.00 $2{\rm{p}}_{3/2}$ 2.51 0.86 3.60 0.96 5.17 0.98 6.20 0.99 $1{\rm{f}}_{5/2}$ 1.95 0.55 2.66 0.89 4.34 0.95 5.48 0.98 $2{\rm{p}}_{1/2}$ 1.70 0.47 2.04 0.86 3.53 0.95 4.57 0.99 $1{\rm{g}}_{9/2}$ 4.30 0.05 2.59 0.12 1.84 0.44 1.68 0.80 $2{\rm{d}}_{5/2}$ 8.45 0.00 6.65 0.01 4.91 0.01 3.61 0.01 $\lambda_{n}$ –9.34 –7.98 –6.66 –5.84 $^{64}{\rm{Ni}}$ $^{70}{\rm{Ni}}$ $^{76}{\rm{Ni}}$ Configurations ${{E}}_{\rm{conf.}}$ Percentage/% ${{b}}_{{{cd}}}$ Configurations ${{E}}_{\rm{conf.}}$ Percentage/% ${{b}}_{{{cd}}}$ Configurations ${{E}}_{\rm{conf.}}$ Percentage/% ${{b}}_{{{cd}}}$ 第一个2+态 1.46 MeV 2.52 MeV 2.08 MeV $\nu 1{\rm{f}}_{5/2}-\nu 2{\rm{p}}_{1/2}$ 3.65 27.85 –7.45 $\nu 1{\rm{g}}_{9/2}-\nu 1{\rm{g}}_{9/2}$ 4.07 68.71 17.43 $\nu 1{\rm{g}}_{9/2}-\nu 1{\rm{g}}_{9/2}$ 3.37 71.34 –16.45 $\nu 1{\rm{f}}_{5/2}-\nu 1{\rm{f}}_{5/2}$ 3.89 24.67 –9.02 $\pi 1{\rm{f}}_{7/2}-\pi 2{\rm{p}}_{3/2}$ 5.12 15.53 7.55 $\nu 1{\rm{g}}_{9/2}-\nu 2{\rm{d}}_{5/2}$ 5.30 11.88 –8.64 $\pi 1{\rm{f}}_{7/2}-\pi 2{\rm{p}}_{3/2}$ 4.83 18.58 –10.52 $\nu 1{\rm{g}}_{9/2}-\nu 2{\rm{d}}_{5/2}$ 7.68 4.39 3.00 $\pi 1{\rm{f}}_{7/2}-\pi 2{\rm{p}}_{3/2}$ 5.54 8.92 –6.30 $\nu 2{\rm{p}}_{3/2}-\nu 2{\rm{p}}_{1/2}$ 4.22 12.75 –5.10 $\pi 1{\rm{f}}_{7/2}-\pi 1{\rm{f}}_{5/2}$ 6.15 2.40 1.49 $\pi 1{\rm{f}}_{7/2}-\pi 1{\rm{f}}_{5/2}$ 5.79 2.21 –1.49 $\nu 2{\rm{p}}_{3/2}-\nu 1{\rm{f}}_{5/2}$ 4.46 3.27 –1.27 $\nu 1{\rm{f}}_{5/2}-\nu 1{\rm{f}}_{5/2}$ 7.22 1.42 0.84 $\nu 1{\rm{g}}_{9/2}-\nu 1{\rm{g}}_{7/2}$ 8.75 0.70 –0.83 $\nu 2{\rm{p}}_{3/2}-\nu 2{\rm{p}}_{3/2}$ 5.03 2.35 –1.50 $\nu 1{\rm{f}}_{5/2}-\nu 2{\rm{p}}_{1/2}$ 6.48 1.13 0.53 矮四极共振态 5.16 MeV 4.98 MeV 4.11 MeV $\pi 1{\rm{f}}_{7/2}-\pi 2{\rm{p}}_{3/2}$ 4.83 61.35 –10.38 $\pi 1{\rm{f}}_{7/2}-\pi 2{\rm{p}}_{3/2}$ 5.12 57.89 10.52 $\nu 1{\rm{g}}_{9/2}-\nu 2{\rm{d}}_{5/2}$ 5.30 45.03 –13.35 $\nu 2{\rm{p}}_{3/2}-\nu 2{\rm{p}}_{3/2}$ 5.03 22.68 3.22 $\nu 1{\rm{g}}_{9/2}-\nu 1{\rm{g}}_{9/2}$ 4.07 28.57 –8.98 $\nu 1{\rm{g}}_{9/2}-\nu 1{\rm{g}}_{9/2}$ 3.37 26.99 7.85 $\nu 2{\rm{p}}_{3/2}-\nu 2{\rm{p}}_{1/2}$ 4.22 6.20 1.97 $\nu 1{\rm{f}}_{5/2}-\nu 2{\rm{p}}_{1/2}$ 6.48 3.85 1.23 $\pi 1{\rm{f}}_{7/2}-\pi 2{\rm{p}}_{3/2}$ 5.54 20.62 –6.82 $\nu 1{\rm{f}}_{5/2}-\nu 1{\rm{f}}_{5/2}$ 3.89 4.72 2.14 $\nu 1{\rm{g}}_{9/2}-\nu 2{\rm{d}}_{5/2}$ 7.68 3.77 2.46 $\pi 1{\rm{f}}_{7/2}-\pi 1{\rm{f}}_{5/2}$ 5.79 3.27 –1.29 $\nu 2{\rm{p}}_{3/2}-\nu 1{\rm{f}}_{5/2}$ 4.46 2.78 0.70 $\nu 1{\rm{f}}_{5/2}-\nu 1{\rm{f}}_{5/2}$ 7.22 1.75 1.18 $\nu 1{\rm{g}}_{9/2}-\nu 1{\rm{g}}_{7/2}$ 8.75 0.64 –0.71 $\nu 1{\rm{f}}_{5/2}-\nu 2{\rm{p}}_{1/2}$ 3.65 1.62 0.93 $\pi 1{\rm{f}}_{7/2}-\pi 1{\rm{f}}_{5/2}$ 6.15 1.15 0.80 矮四极共振态 6.89 MeV 6.46 MeV 6.31 MeV $\pi 1{\rm{f}}_{7/2}-\pi 1{\rm{f}}_{5/2}$ 6.59 90.06 –5.54 $\pi 1{\rm{f}}_{7/2}-\pi 1{\rm{f}}_{5/2}$ 6.15 75.16 –5.15 $\pi 1{\rm{f}}_{7/2}-\pi 1{\rm{f}}_{5/2}$ 5.79 51.09 –4.34 $\nu 1{\rm{g}}_{9/2}-\nu 1{\rm{g}}_{9/2}$ 8.60 2.14 –1.48 $\nu 1{\rm{f}}_{5/2}-\nu 2{\rm{p}}_{1/2}$ 6.48 12.00 1.83 $\nu 1{\rm{g}}_{9/2}-\nu 2{\rm{d}}_{5/2}$ 5.29 30.23 9.29 $\pi 1{\rm{f}}_{7/2}-\pi 2{\rm{p}}_{3/2}$ 4.83 2.06 1.49 $\pi 1{\rm{f}}_{7/2}-\pi 2{\rm{p}}_{3/2}$ 5.12 4.39 2.44 $\pi 1{\rm{f}}_{7/2}-\pi 2{\rm{p}}_{3/2}$ 5.54 16.37 –5.49 $\nu 2{\rm{p}}_{3/2}-\nu 2{\rm{p}}_{1/2}$ 4.22 1.07 0.82 $\nu 1{\rm{g}}_{9/2}-\nu 2{\rm{d}}_{5/2}$ 7.68 3.47 –2.21 $\nu 1{\rm{g}}_{9/2}-\nu 1{\rm{g}}_{7/2}$ 8.75 1.04 –0.63 $\nu 1{\rm{f}}_{5/2}-\nu 1{\rm{f}}_{5/2}$ 3.89 0.9 1.02 $\nu 1{\rm{f}}_{5/2}-\nu 1{\rm{f}}_{5/2}$ 7.22 1.42 –0.88 $\nu 1{\rm{f}}_{7/2}-\nu 1{\rm{f}}_{5/2}$ 9.37 0.9 –0.45 $\nu 1{\rm{g}}_{9/2}-\nu 1{\rm{g}}_{9/2}$ 4.07 1.38 1.69 -
[1] [2] [3] [4] [5] [6] [7] [8] [9] [10] [11] [12] [13] [14] [15] [16] [17] [18] [19] [20] [21] [22] [23] [24] [25] [26] [27] [28] [29] [30] [31] [32] [33] [34] [35] [36] [37] [38] [39] [40] [41] [42] [43] [44] [45] [46] [47]
计量
- 文章访问数: 291
- PDF下载量: 11
- 被引次数: 0








下载: