专题: 极端条件原子分子动力学
编辑推荐
2025, 74 (3): 033201.
doi: 10.7498/aps.74.20241321
摘要 +
激光锡(Sn)等离子体光源是当前先进极紫外(EUV)光刻机中最为核心的分系统, 其辐射出的13.5 nm附近2%带宽内的EUV光的功率值和稳定性是决定整个光刻机是否成功的关键指标之一. 本文针对激光Sn等离子体光源这一复杂系统, 开展了详细的关于等离子体状态参数分布以及EUV辐射光谱的数值模拟研究. 首先基于细致能级模型, 在局域热动平衡近似条件下计算得到了Sn等离子体在12—16 nm波段的辐射不透明度数据. 随后利用激光等离子体辐射流体力学程序RHDLPP, 分别模拟了纳秒激光脉冲作用于Sn平面固体靶和液滴靶所产生的等离子体的温度和电子密度等状态参数的分布. 结合辐射不透明度数据和等离子体状态数据, 利用光谱模拟后处理子程序SpeIma3D完成了平面靶等离子体的空间分辨EUV光谱以及液滴靶等离子体在60°观测角下的角分辨EUV光谱的模拟. 最后, 得到了液滴靶等离子体在13.5 nm, 2%带宽内的带内辐射强度随观测角度的变化规律. 本文获得的所有等离子体状态参数分布和EUV光谱模拟结果与现有的实验结果具有很好的一致性, 证明了RHDLPP程序在激光Sn等离子体EUV光源方面的模拟能力, 相关结果可以为EUV光刻以及国产化EUV光源的研制提供一定的支持.
编辑推荐
2025, 74 (3): 033301.
doi: 10.7498/aps.74.20241400
摘要 +
本文探讨了有限温度下, 飞秒激光脉冲诱导的分子准直现象中内在相干性度量与其准直信号之间的定量关系. 针对超快非共振激光脉冲诱导分子准直问题, 推导了转动体系$l_1 $范数相干性度量($C_{l_1}(\rho)$即密度矩阵ρ中所有非对角元素绝对值之和)与准直幅度(准直度最大值与最小值之差)之比与电场强度之间存在的定量关系, 并通过对CO分子的数值模拟进行了验证. 在此基础上, 进一步给出了这一比值与脉冲强度面积之间的映射关系. 本文的研究结果为实验中探测转动体系的相干性度量提供了新的思路, 并为利用分子转动态进行相干性度量研究奠定了理论基础, 有利于促进超快强场物理与量子信息度量之间的交叉融合.
编辑推荐
2025, 74 (3): 033401.
doi: 10.7498/aps.74.20241467
摘要 +
相对论扭曲波方法是研究微观粒子碰撞动力学过程的常用理论方法. 本文基于多组态Dirac-Hartree-Fock (MCDHF)方法以及相应的程序包GRASP 92/2K/2018和RATIP, 发展了一套电子与原子碰撞激发过程的全相对论扭曲波方法和程序. 计算了极化电子与原子碰撞激发过程的总截面、微分截面、态多极以及碰撞激发后辐射光子的积分和微分Stokes参数等. 讨论了电子关联效应、Breit相互作用和等离子体屏蔽效应对碰撞激发截面的影响. 该方法和程序的发展为详细研究复杂靶离子的碰撞激发过程和讨论电子关联效应以及Breit相互作用对碰撞激发过程的影响提供了条件.
编辑推荐
2025, 74 (3): 033402.
doi: 10.7498/aps.74.20241638
摘要 +
轫致辐射作为原子物理中重要的辐射过程, 在天体物理、等离子体物理、磁约束和惯性约束核聚变等领域具有重要研究意义. 本文基于相对论分波展开方法研究了中高能电子碰撞中性碳原子以及各价态碳离子的轫致辐射过程, 并探讨电子屏蔽效应对轫致辐射截面及角分布的影响. 利用Dirac-Hartree-Fock理论构建靶原子波函数, 在中心场近似下建立电子-靶原子相互作用势, 基于相对论分波展开方法通过数值求解Dirac方程得到电子连续态波函数, 对不同价态碳离子的轫致辐射单重、双重微分截面以及角分布函数进行详细计算, 分析电子屏蔽效应在不同入射电子能量和出射光子能量下的作用. 结果表明, 电子屏蔽效应会使轫致辐射单重和双重微分截面降低, 在较低能电子入射时以及软光子区域抑制效果显著, 而随着入射电子能量和出射光子能量的增加, 电子屏蔽效应不断减弱. 电子屏蔽效应对轫致辐射角分布的影响则较不明显.
封面文章
2025, 74 (3): 035101.
doi: 10.7498/aps.74.20241588
摘要 +
非平衡稠密等离子体中电子离子能量弛豫对理解惯性约束聚变、实验室等离子体和天体物理中的非平衡演化以及宏观热力学和输运性质至关重要. 受密度及温度等环境效应的影响, 等离子体中多种物理效应之间的竞合作用共同主导电子离子能量弛豫过程. 本文从量子Lenard-Balescu动理学方程出发, 建立了考虑电子和离子集体激发及其耦合效应的能量弛豫模型, 并在此基础上采用电子离子解耦、静态极限和长波近似构建了不同的简化模型, 系统研究了静态屏蔽、动态屏蔽、电子和离子等离激元激发及其耦合等效应对电子离子能量弛豫的影响机制. 通过不同模型之间的对比, 发现电子离子集体激发之间的耦合效应以及中等波长和短波区间的屏蔽效应对温热稠密等离子体中电子离子能量弛豫有着显著的影响. 这一结论表明, 准确描述等离子体中的动态响应和屏蔽效应将制约着相关物理体系中非平衡演化建模的精确性和有效性.
仪器与测量
编辑推荐
2025, 74 (3): 038101.
doi: 10.7498/aps.74.20241590
摘要 +
随着微观领域探索的不断深入, 以光刻和各类刻蚀工艺为代表的微纳加工技术已被广泛应用于微米及纳米尺度的结构与器件制造, 推动了集成电路、微纳光电器件、微机电系统等领域的不断革新. 这不仅带动了设备性能的提升, 还为微观物性调控机制的基础科学研究带来了新的机遇. 近年来, 作为一种新兴的微纳加工技术, 扫描热探针技术在二维材料加工、物性调控和纳米级灰度结构制造方面获得了实践应用, 并展现出独特优势. 本文将从扫描热探针技术的原理及特点出发, 分析其在二维材料微纳加工及物性调控领域的最新研究进展, 最后展望该技术的广阔应用前景.
编辑推荐
2025, 74 (3): 033701.
doi: 10.7498/aps.74.20241348
摘要 +
高精细度光学谐振腔辅助的量子非破坏(quantum nondemolition, QND)测量可产生原子自旋/动量压缩态, 是提升原子干涉灵敏度以突破标准量子极限的重要手段. 传统Fabry-Perot腔内驻波场结构导致的光与原子相互作用不均匀性, 使得原子自旋压缩度在演化过程中逐渐衰退. 本文研究一种面向原子干涉仪均匀QND测量的光学环形腔, 分析环形腔内行波场结构对光与原子相互作用均匀性的影响, 设计并研制了高精细度($ {\cal{F}} = 2.4(1)\times 10^{4} $)高真空兼容型光学环形腔, 并测试了环形腔特性. 在此基础上, 制备88Sr冷原子系综并与环形腔模式耦合, 通过环形腔差分测量方式提取原子经过腔模过程中对环形腔造成的色散相移, 实现对原子数目的非破坏测量. 实验结果表明在探测光功率为20 μW条件下, 测得环形腔色散相移为40 mrad, 耦合进腔内原子数目约为$ 1\times 10^{5} $. 调节原子与腔模位置匹配及探测光失谐量等参数, 验证了环形腔色散相移与QND测量理论的一致性. 本文研制的光学环形腔为原子干涉仪中自旋/动量压缩态的产生提供重要解决途径, 有望进一步提升原子干涉灵敏度, 并广泛应用于腔增强型量子精密测量中.
数据论文
2025, 74 (3): 033101.
doi: 10.7498/aps.74.20241461
摘要 +
合理设计高容量的新型电极材料是进一步提高离子电池能量密度的关键. 石墨烯曾被认为是离子电池负极材料最有前景的候选者之一, 然而因纯的石墨烯与相应离子的相互作用较弱, 导致其理论比容量都不高. 基于此, 本文通过第一性原理评估氮氧(N, O)锚定的单原子铜掺杂石墨烯的二维材料Cu/NO2G作为锂/钠/钾离子电池负极的可行性. 计算结果显示, Cu/NO2G在热力学和动力学上都是稳定的, 在吸附Li/Na/K前后均保持良好导电性, 并且Cu/NO2G储存Li/Na/K的理论比容量分别高达1639.9 mAh/g, 2025.8 mAh/g, 1157.6 mAh/g, 在Li/Na/K嵌入的过程中, 其晶格常数变化微小(<1%), 这预示着其循环稳定性能佳. 此外, Li, Na, K在Cu/NO2G表面上的迁移势垒分别为0.339 eV, 0.209 eV和0.098 eV, 表明其具有优异的倍率性能. 综上所述, 本文结果为合理设计金属单原子掺杂石墨烯作为碱金属离子电池的新型负极材料奠定了坚实的理论基础. 本文数据集可在https://doi.org/10.57760/sciencedb.j00213.00063 中访问获取.
总论
2025, 74 (3): 030701.
doi: 10.7498/aps.74.20241538
摘要 +
得益于铁磁材料极高自旋密度、强自旋-晶格相互作用及力学系统对信号的谐振放大, 铁磁-力学系统在磁场精密测量领域展现出巨大潜力. 本文研究了处于均匀磁场中的铁磁体所构成的铁磁扭摆振子(ferromagnetic torsional oscillator, FMTO)的力学特性, 分析了其作为磁传感器的探测性能; 研究表明, FMTO磁传感器在基础噪声的影响下仍拥有超高的磁灵敏度, 能够超越能量分辨率极限(energy resolution limit, ERL)$2—4$个量级. 随后针对FMTO磁传感器在新相互作用探测领域的应用进行了探讨, 研究指出FMTO磁传感器测量的新相互作用耦合常数的下限领先ERL磁传感器5个量级, 并超越现有实验结果$2—9$个量级.
核物理学
编辑推荐
2025, 74 (3): 032101.
doi: 10.7498/aps.74.20240991
摘要 +
利用Skyrme HF+BCS理论以及自洽的QRPA方法研究了镍同位素链原子核的第一个2+态以及矮四极态的性质随中子数增加的演化情况. 研究中分别采用了SGII, SLy5以及SkM*三种能量密度泛函以及密度依赖的零程对相互作用. 计算得到的镍同位素链原子核第一个2+态的激发能以及电磁跃迁强度能较好地再现实验值. 发现$^{70—76}{\rm{Ni}}$的同位旋标量矮四极态共振能量 (跃迁强度) 随着中子数增加而降低 (增加). 这是由于中子$1{{\mathrm{g}}}_{9/2}$态的占有概率的增加, 由该中子态产生的准粒子激发组态占比增加, 组态激发由质子主导渐变为由中子主导产生. 并发现镍同位素链原子核矮四极态对壳结构的改变比较敏感, 可以为丰中子核的壳演化提供信息.
电磁学、光学、声学、传热学、经典力学和流体动力学
2025, 74 (3): 034101.
doi: 10.7498/aps.74.20241516
摘要 +
设计了一种高灵敏度、高品质因子、高品质因数、高频探测、双固定功能的太赫兹可调完美吸收器. 该吸收器可实现4—14.5 THz范围内7个波段的完美吸收. 在进行结构设计时将线阵结构的参数与周期进行了关联. 通过计算吸收器的相对阻抗来对器件宏观层面的电磁进行解释, 并通过分析共振频率点的表面电场和磁场分布, 来分析该器件的物理机制. 计算了7个共振频点的品质因子Q, 其中最大Q值为219.41. 通过改变外部折射率, 该吸收器的灵敏度和品质因数值最大可达5421.43 GHz/RIU和35.204 RIU–1. 通过讨论关键参数对器件的影响, 得出该器件可实现双固定性能的选择、七波段吸收以及全波段反射. 通过改变狄拉克半金属的费米能级, 证明该吸收器具有良好的动态调节能力. 通过改变外部电磁波的入射角发现该器件在中低频段具有良好的稳定性, 但在高频段受外部入射角影响较大. 本文所提出的吸收器在成像、探测、检测等领域具有巨大的应用潜力, 相关工作对光电器件的设计提供了思路.
2025, 74 (3): 034201.
doi: 10.7498/aps.74.20241349
摘要 +
基于DAST晶体的太赫兹差频辐射源具有宽调谐、室温运转等优点, 但DAST晶体熔点低、热导率低的特性使其在连续泵浦条件下热积累严重、晶体易损伤, 这限制了其实际应用. 本文理论研究了基于金刚石衬底的DAST晶体的热分布特性, 实验分析了金刚石衬底对DAST晶体中热效应的改善. 进一步, 基于连续单频激光器与金刚石衬底DAST晶体搭建了差频太赫兹辐射源, 其太赫兹波频率调谐范围为1.1—3 THz, 在2.493 THz处获得最大输出功率为3.39 nW, 30 min内太赫兹波的功率不稳定度为2.19%. 该窄线宽、可调谐太赫兹辐射源在高精度光谱检测等领域具有较高的应用潜力.
2025, 74 (3): 034202.
doi: 10.7498/aps.74.20241319
摘要 +
引力波的直接探测打开了认识宇宙的新窗口, 开辟了多信使天文学, 各种天文事件产生引力波的频段涵盖范围较大, 不同频段引力波的探测机理及方案不尽相同. 目前, 正在运行的地基引力波探测装置的探测频段主要集中在10 Hz—10 kHz范围, 为达到探测灵敏度需求, 要对激光强度噪声进行准确评估并通过光电反馈将其抑制到≤2.0×10–9 Hz–1/2@10 Hz以及≤4.0×10–7 Hz–1/2@10 kHz. 本文基于激光噪声机理分析, 通过探究极小噪声评估方案, 研发低噪声光电探测器, 对比前置放大器不同放大倍数对信号的噪声耦合, 编写上位机操控及数据处理程序, 从而构建了低噪声高精度集成化激光强度噪声评估系统. 实验结果表明, 前置放大器以及动态信号分析仪的整体电子学噪声为3.8×10–9 Hz–1/2@(10 Hz—10 kHz); 光电探测器电子学噪声为$ 1.4 \times {10^{ - 8}} \;{\text{V}}/\sqrt {{\text{Hz}}} $@10 Hz &$ 8.1 \times {10^{ - 9}} \;{\text{V}}/\sqrt {{\text{Hz}}} $@10 kHz, 通过标准正弦信号进行校准等措施, 检验了评估系统的准确性. 相关研究结果为制备高功率低噪声激光光源及引力波探测等领域提供了实验基础.
2025, 74 (3): 034203.
doi: 10.7498/aps.74.20241329
摘要 +
多模光纤的布里渊传感技术因其能够同时进行温度、应变等多参量的模态传输, 具备更高的信息容量 和传输效率而备受关注. 此外, 铌酸锂材料凭借其优异的电光特性, 在传感领域展现出潜在应用价值, 有望 提供更高灵敏度和精度. 然而, 受工艺成熟度影响, 目前光纤传感的研究多集中于硅基材料, 以铌酸锂为纤芯材料的研究相对较少, 其应用潜力被普遍低估. 本文针对铌酸锂光纤中的布里渊散射效应的理论研究, 通过有限元仿真技术, 模拟微米量级铌酸锂光纤中各阶数模式的后向布里渊散射特性, 分析光纤中前5个LP模(LP01, LP11, LP21, LP02和LP31)的模内受激布里渊散射特性, 以探明铌酸锂微米光纤模态内后向布里渊散射特性. 结果表明, 铌酸锂光纤的有效折射率(2.1785—1.9797)、布里渊散射频移(20.63—18.747 GHz)以及增益(4.0115—13.503 m–1·W –1)均随着模式阶数的增高而减小. 模拟结果进一步表明, 与普通硅结构光纤相比, 铌酸锂光纤结构的布里渊增益有显著提高, 预示其在传感方面的灵敏度也会更高.
2025, 74 (3): 034204.
doi: 10.7498/aps.74.20240854
摘要 +
非线性差频产生(difference frequency generation, DFG)是实现太赫兹(terahertz, THz)源的重要方式之一. 利用微纳结构的DFG产生THz源可以不考虑相位匹配, 同时是器件小型化、可集成化的重要研究方向. 借助微纳结构的共振模式增强的局域电场在宽波段范围内实现高效的、可调谐的THz源是该领域的研究重点. 本文研究了宽波段范围内具有高Q因子的光栅-波导结构中的DFG产生高效可调谐的THz辐射. 理论上, 通过调控相邻光栅中其中一个的位置扰动, 从而实现光栅周期的加倍, 进而使得布里渊区发生折叠, 光线下方波导层中导模色散曲线折叠到光锥上方, 形成超高Q因子的导模共振, 可以实现在宽光谱范围内增强的THz 产生. 以硫化镉(cadmium sulfide, CdS)光栅-波导为例, 数值研究表明, 在两束基频光光强均为100 kW/cm2时, THz的转换效率可达到10–8 W –1的量级, 为相同厚度CdS薄膜转换效率的109倍. 通过改变两束基频光入射角, 可实现不同共振基频组合, 实现任意频率THz波产生, 从而实现了在宽光谱范围内高效可调谐的THz源.
凝聚物质:结构、力学和热学性质
2025, 74 (3): 036101.
doi: 10.7498/aps.74.20240980
摘要 +
谷间电子散射机制对锗锡材料的电子输运及光电性能的影响至关重要. 本文构建了锗锡材料Γ和L能谷之间的谷间光学声子散射模型, 研究其谷间电子转移效应. 结果表明: 散射率RΓL高于RLΓ约一个数量级, 同时RΓL随Sn组分的增加而减小, 并在Sn组分大于0.1时趋于饱和; 而RLΓ几乎与Sn组分无关. 谷间电子转移模型表明, Γ能谷电子填充率随Sn组分的增大呈现先增大后趋于饱和的规律, 且与注入电子浓度关系不大. 不考虑散射模型时, 间接带Ge1–x Snx材料Γ能谷电子填充率与注入电子浓度关系不大; 直接带Ge1–x Snx材料Γ能谷电子填充率与注入电子浓度相关, 且电子浓度越低, Γ能谷电子填充率越大. 研究成果有助于理解锗锡材料的电子迁移率、电输运和光电转换等微观机制, 可为锗锡材料在微电子和光电子等领域提供理论参考价值.
2025, 74 (3): 036201.
doi: 10.7498/aps.74.20241030
摘要 +
金属纳米线的弯曲力学性能直接决定了微纳器件的可靠性和使用寿命. 厘清纳米线在弯曲载荷作用下的力学响应特征和形变微观机制, 对设计和制造高性能微纳器件具有十分重要的理论意义和巨大的工程价值. 本文采用分子动力学模拟方法对不同取向B2结构FeAl合金纳米线的弯曲行为展开研究, 并同时考虑纳米线尺寸和横截面形状的影响. 结果表明, 在本文考虑的尺寸范围内, FeAl合金纳米线弯曲塑性变形的微观机制不随纳米线尺寸及横截面形状的变化而改变, 而只取决于纳米线轴向的晶体学取向. 其中, $\left\langle {111} \right\rangle $和$\left\langle {110} \right\rangle $取向纳米线的屈服均源于位错形核, 但$\left\langle {111} \right\rangle $取向纳米线在屈服后随即发生脆性断裂, 而$\left\langle {110} \right\rangle $取向纳米线则在位错连续形核与滑移过程中产生稳定的塑性流动, 从而表现出良好的塑性及延展性; 与上述两种取向纳米线不同, $\left\langle {001} \right\rangle $取向纳米线的弯曲形变机制以应力诱发B2→L10相变为主导, 同样表现出良好的弯曲塑性, 且具有较$\left\langle {110} \right\rangle $取向纳米线更高的断裂应变. FeAl合金纳米线弯曲行为的晶体学取向依赖性可借助Schmid因子得到解释. 此外, 塑性弯曲的$\left\langle {110} \right\rangle $和$\left\langle {001} \right\rangle $取向纳米线在卸载过程中可回复至初始形状, 特别地, $\left\langle {001} \right\rangle $取向纳米线的弯曲塑性变形可完全回复, 表现出超弹性特征. 本文从原子尺度阐明B2结构FeAl合金纳米线的弯曲形变行为及其关键影响因素, 对基于金属纳米线的柔性微纳器件设计和性能优化具有重要指导意义.
凝聚物质:电子结构、电学、磁学和光学性质
编辑推荐
2025, 74 (3): 037501.
doi: 10.7498/aps.74.20241390
摘要 +
自旋系统的动力学性质是量子统计和凝聚态理论研究的热点. 本文利用递推方法, 通过计算自旋关联函数及谱密度, 研究了链接杂质对一维量子Ising模型动力学性质的调控效应. 研究表明, 链接杂质的出现打破了主体格点自旋耦合$ J $和外磁场$ B $之间原有的竞争关系, 系统的动力学最终取决于链接杂质和主体格点自旋耦合的平均效应$ \bar J $、链接杂质的不对称程度及外磁场$ B $的强度等多因素之间的协同作用. 对于对称型链接杂质($ {J_{j - 1}} = {J_j} $), 随着杂质耦合强度的增大, 在$ B \geqslant J $的情况下, 系统的动力学出现了由集体模行为到中心峰值行为的交跨; 在$ B \lt J $的情况下, 出现了由类集体模行为到双峰行为, 再到中心峰值行为的两次交跨. 对于非对称型链接杂质($ {J_{j - 1}} \ne {J_j} $), 其杂质位型较多, 可以提供更多的调控自由度, 尤其当其中某个杂质耦合强度如$ {J_{j - 1}} $(或$ {J_j} $)较小时, 通过调节另一个杂质耦合强度$ {J_j} $(或$ {J_{j - 1}} $)可以得到多种动力学行为之间的交跨; 在$ B \gt J $情况下, 非对称型链接杂质的调控机制更为复杂, 出现了与以往研究经验不符的交跨顺序, 且出现了双频谱这种新的动力学模式. 一般来讲, 当平均自旋耦合$ \bar J $较弱或非对称型链接杂质的不对称程度较低时, 系统倾向于呈现集体模行为; 当$ \bar J $较强时, 系统倾向于呈现中心峰值行为; 但当非对称型链接杂质的不对称程度较明显时, 谱密度倾向于呈双峰、多峰或双频谱特征. 研究表明, 链接杂质的调控结果更加丰富, 且具有独特的调控优势, 因此利用链接杂质来调控量子自旋系统的动力学不失为一种新的尝试.
编辑推荐
2025, 74 (3): 037701.
doi: 10.7498/aps.74.20241643
摘要 +
对正丙醇、异丙醇、正丁醇、仲丁醇和仲戊醇5种链长相近、结构又略有差异的线型伯醇和仲醇进行了介电谱测量, 发现异丙醇和正丁醇的介电谱存在异常变化的情况, 即介电谱中强度最大的弛豫峰约在145—175 K的范围内, 随着温度的升高出现了逐渐升高的趋势. 经过分析发现该异常变化来源于单羟基醇中的德拜(Debye)介电弛豫强度在上述温区内的异常变化. 结合单羟基醇德拜介电弛豫强度的理论模型进行分析, 认为该异常变化是温度导致的德拜介电弛豫强度减小与分子运动性增加所致使的氢键分子链结构变化而引起的弛豫强度改变的共同结果; 通过将这5种单羟基醇的弛豫时间进行对比, 发现产生上述异常变化所要求的条件比较苛刻. 另外, 研究结果还表明仲醇中德拜弛豫过程的强度参量、弛豫单元的固有振动频率和高温极限下的激活能也具有随着碳原子数的增加而增大的特征, 与伯醇中的规律是类似的. 这些结果不仅能为单羟基醇奇异性质的研究提供新的切入点, 而且也可以为分子链长对单羟基醇动力学影响的研究提供参考.
物理学交叉学科及有关科学技术领域
2025, 74 (3): 038102.
doi: 10.7498/aps.74.20241194
摘要 +
采用静电悬浮技术实现了液态Nb81.7Si17.3Hf合金在不同过冷度下的快速凝固, 实验最大过冷度达404 K (0.19TL). 实验测定出其液态超过冷临界过冷度为527 K (0.24TL). 当液相过冷度超过194 K时, 合金相组成由(Nb)和αNb5Si3转变为(Nb)和Nb3Si. 若过冷度小于此临界值, 凝固过程中(Nb)相优先形核生长, 剩余液相形成了(Nb)+αNb5Si3层片共晶. 高速摄影实验发现初生相的生长速度可达89.4 mm/s. 在194 K以上深过冷条件下, (Nb)初生相将消失, (Nb)+Nb3Si非规则共晶在过冷熔体中直接生长. 非规则共晶生长速度随过冷度呈幂函数增大, 最高可达115.9 mm/s. 由于共晶间距减小和(Nb)相体积分数增大, 在194 K过冷度下合金断裂韧性可达21.9 MPa·m1/2, 提升至小过冷条件的3.4倍.
2025, 74 (3): 038201.
doi: 10.7498/aps.74.20240984
摘要 +
锂离子电池过充时, 负极超过最大嵌锂浓度会发生表面析锂, 而正极则处于贫锂状态导致颗粒内部应力升高, 从而引发严重的寿命和安全问题. 本文基于单层电芯颗粒尺度, 建立了镍钴锰正极和石墨负极颗粒尺度下的三维电化学-力-热耦合过充模型, 能够准确地反映充电过程中析锂和应力-应变规律. 基于此, 分析了充电倍率和负极颗粒半径设计参数对负极表面析锂的影响. 结果表明: 高倍率下析锂的触发电压较低, 而低倍率下由于极化和温度较低的影响, 过充至4.8 V时析锂浓度较高; 相较于大粒径颗粒, 小颗粒表面呈现最大锂离子浓度高、析锂过电位低、平均冯·米塞斯应力大, 更容易发生析锂. 在应力方面, 探究了正极颗粒空间分布和热效应的影响, 定义了接触深度因子${J_{\text{r}}}$, 发现颗粒的接触深度与接触界面区域的应力成反比关系; 而且, 随着充电倍率增大, 温度相关电化学参数显著变化, 在计算颗粒层面应力时不能忽略. 相关结果可为优化电池设计和充电管理策略提供理论依据和指导.
2025, 74 (3): 038501.
doi: 10.7498/aps.74.20241498
摘要 +
磁传感器在导航、交通运输、机器人、自动化、医疗设备等领域有着广泛的应用, 对传感器的性能要求越来越高. 本文提出了一种具有两种工作模式的磁传感器, 兼具大量程和低噪声两种优点. 该传感器由一个640 μH磁芯绕线电感与一个100 pF电容串联构成. 传感器工作于阻抗模式时, 具有噪声低的优点, 当传感器驱动信号频率为1 MHz, 偏置磁场为7.66 Oe (1 Oe = 103/(4π) A/m)时, 传感器等效磁噪声水平最小, 约为200 $ {\text{pT/}}\sqrt {{\text{Hz}}} @1 \;{\text{Hz}} $, 线性范围为2 Oe; 工作于频率模式时, 具有量程大的优点, 量程可以达到25 Oe, 当偏置磁场为7.66 Oe时, 传感器灵敏度最大, 约为47 kHz/Oe. 该传感器与多种型号的商用磁传感器相比, 其低噪声、大量程、低成本的优点依然具有显著的市场竞争力.
2025, 74 (3): 038502.
doi: 10.7498/aps.74.20241033
摘要 +
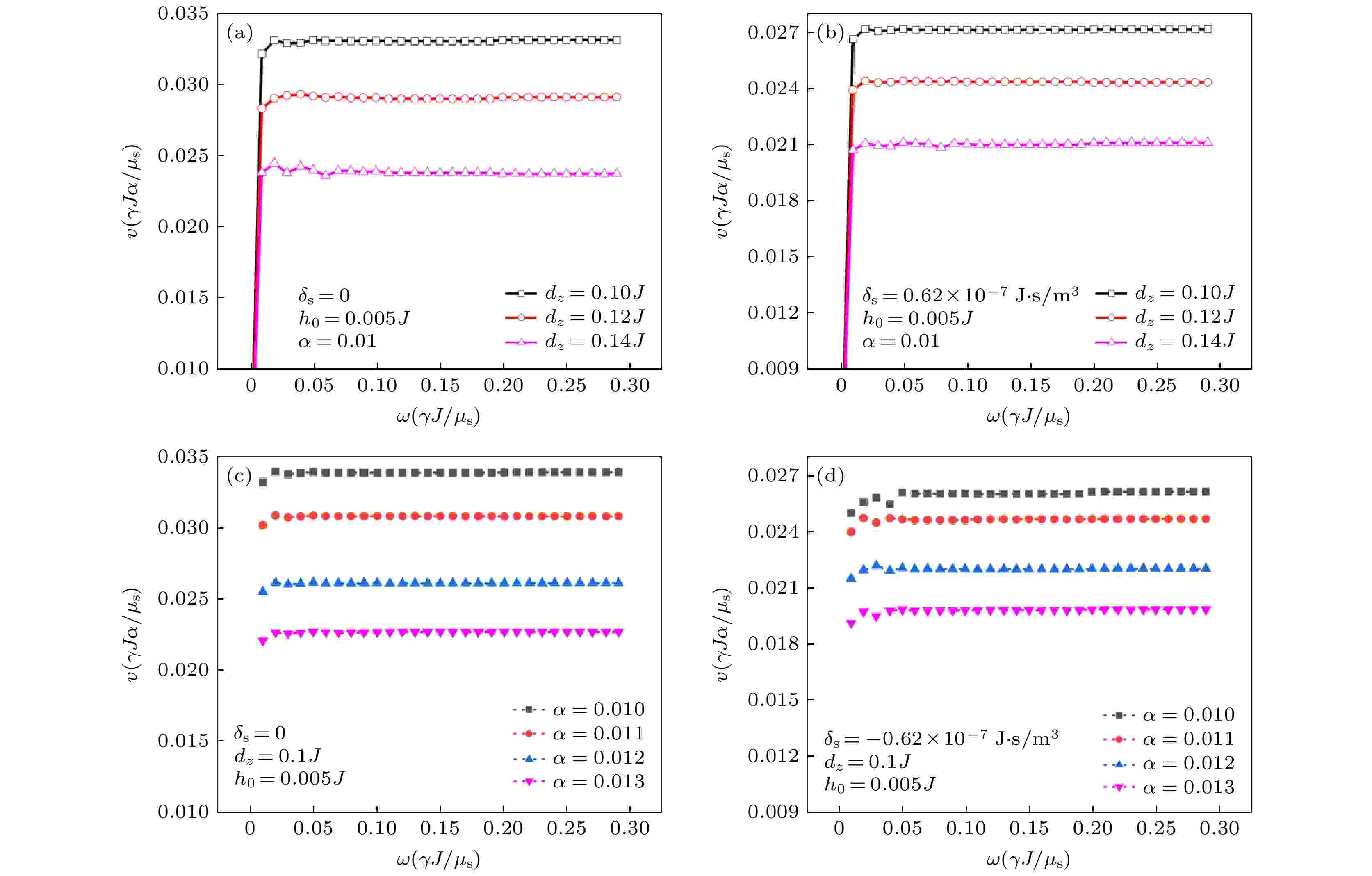
亚铁磁材料在角动量补偿点附近具有类比于反铁磁的超快动力学, 且存在非零净自旋密度, 其磁结构可以被传统磁性手段探测和调控, 有望应用于新一代高性能自旋电子器件. 有效调控亚铁磁畴壁动力学是当前自旋电子学领域的重要课题. 本工作使用微磁学模拟研究了正弦波和方波振荡磁场驱动亚铁磁畴壁, 从理论上揭示不同的振荡磁场会诱导出不同方式的畴壁运动. 研究表明, 具有非零净自旋角动量的畴壁面随振荡磁场振荡, 正弦波磁场驱动亚铁磁畴壁的位移随时间单调增加, 而方波磁场驱动畴壁位移随时间曲折增大. 本工作系统探讨了亚铁磁畴壁速度与外部磁场和材料内部参数的关联, 表明了同强度下的正弦波磁场具有更高的驱动效率, 并揭示了相关物理机制, 可以为未来的实验和自旋器件设计提供参考.
2025, 74 (3): 038801.
doi: 10.7498/aps.74.20240941
摘要 +
Shockley-Queisser (S-Q)模型定义的理想太阳能电池是光伏器件分析的一个重要里程碑. 异质结太阳电池是光伏热门研究领域之一. 本文基于光伏电池S-Q模型基础, 针对异质结太阳电池空间势垒区能带不连续对光生载流子的输运存在的阻碍作用, 修订S-Q模型中的假设, 引入空间势垒区有限迁移率假设, 推导异质结太阳电池光电转换方程, 计算光电转换效率. 5780 K黑体辐射、电池温度300 K条件下计算结果表明最高转换效率约为31%; 异质结太阳能电池的开路电压可以超过窄带隙半导体的带隙限制; 高迁移率、低串阻条件下, 降低宽带隙半导体的光子吸收数目、增加窄带隙半导体光子吸收数目, 异质结太阳电池存在效率损失.
2025, 74 (3): 038802.
doi: 10.7498/aps.74.20241361
摘要 +
双钙钛矿材料以其低成本、环境友好等优势在太阳能电池领域引起广泛关注. 本研究在已报道的ITO/ZnO/Cs2AgBiI6/HTL/Au单空穴传输层太阳能电池结构基础上, 提出了ITO/ZnO/Cs2AgBiI6/HTL1/HTL2/Au的双空穴传输层结构, 并使用Silvaco TCAD进一步分析了基于Cs2AgBiI6的双空穴传输层太阳能电池的内部物理机制. 结果表明, 与各单空穴传输层钙钛矿太阳能电池相比, 使用Cu2O/NiO和NiO/Si作为双空穴传输层的太阳能电池效率有所提高. 与Spiro-OMeTAD/CZTS双空穴传输层太阳能电池相比, 使用Cu2O/CZTS和MoO3/CZTS作为双空穴传输层的效率也有所提高. 其中, 性能最好的Cu2O/CZTS双空穴传输层太阳能电池效率为22.85%. 经过钙钛矿层和传输层的厚度优化后, 光电转换效率提升至25.62%. 此外, 模拟结果还揭示了温度和掺杂浓度对太阳能电池特性的影响. 这将有利于在无铅、无毒、环保的基础上, 为双钙钛矿太阳能电池的能效提高提供理论指导.

