-
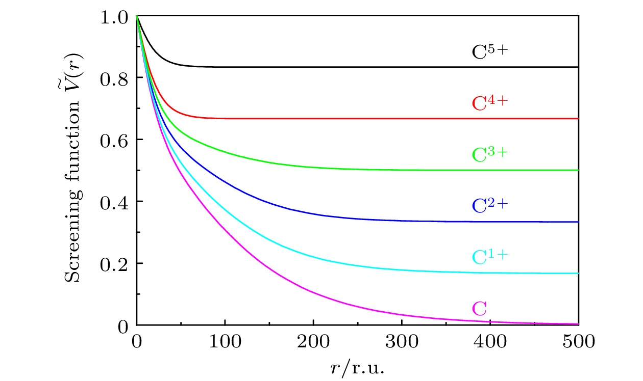
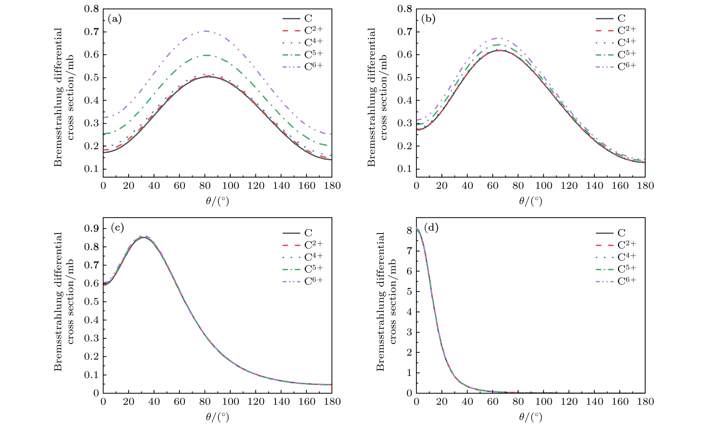
轫致辐射作为原子物理中重要的辐射过程, 在天体物理、等离子体物理、磁约束和惯性约束核聚变等领域具有重要研究意义. 本文基于相对论分波展开方法研究了中高能电子碰撞中性碳原子以及各价态碳离子的轫致辐射过程, 并探讨电子屏蔽效应对轫致辐射截面及角分布的影响. 利用Dirac-Hartree-Fock理论构建靶原子波函数, 在中心场近似下建立电子-靶原子相互作用势, 基于相对论分波展开方法通过数值求解Dirac方程得到电子连续态波函数, 对不同价态碳离子的轫致辐射单重、双重微分截面以及角分布函数进行详细计算, 分析电子屏蔽效应在不同入射电子能量和出射光子能量下的作用. 结果表明, 电子屏蔽效应会使轫致辐射单重和双重微分截面降低, 在较低能电子入射时以及软光子区域抑制效果显著, 而随着入射电子能量和出射光子能量的增加, 电子屏蔽效应不断减弱. 电子屏蔽效应对轫致辐射角分布的影响则较不明显.Bremsstrahlung, as an important radiation process in atomic physics, has significant applications in the fields of astrophysics, plasma physics, magnetic and inertial confinement fusion. In this work, the relativistic partial-wave expansion method is used to investigate the bremsstrahlung of neutral carbon atoms and different charged carbon ions scattered from intermediate- and high-energy relativistic electrons, with special attention paid to the electronic screening effect produced by the target electrons. The target wave function is obtained from the Dirac-Hartree-Fock self-consistent calculations, and the electron-atom scattering interaction potential is constructed in the central-field approximation. By solving the partial-wave Dirac equation, the continuum wave functions of the relativistic electron are obtained, from which the bremsstrahlung single and double differential cross sections can be calculated via the multipole free-free transitions between the incident and exit free electrons. The target electronic screening effects on the bremsstrahlung single and double differential cross sections are analyzed under a variety of conditions of incident electron energy and emitted photon energy. It is shown that the target electronic screening effect will significantly suppress the cross sections both at low incident energy and in the soft-photon region. Such a suppressing effect decreases with the incident electron energy and the emitted photon energy gradually increasing. Overall, the electronic screening effect has no significant influence on the shape function of bremsstrahlung.
-
Keywords:
- bremsstrahlung /
- C atoms and ions /
- differential cross sections /
- shape function /
- electronic screening effect
[1] [2] [3] [4] [5] [6] [7] [8] [9] [10] [11] [12] [13] [14] [15] [16] [17] [18] [19] [20] [21] [22] [23] [24] [25] [26] [27] [28] [29] [30] [31] [32] [33] [34] [35] [36] [37] [38] [39] [40] [41] [42] [43] [44] [45] [46] [47] [48] [49] [50] [51] [52] [53] [54] [55] [56] [57] -
Target $ E/ {\rm eV }$ Diff/% $ 1 {\mathrm{s}}_{1/2} $ $ 2 {\mathrm{s}}_{1/2} $ $ 2 {\mathrm{p}}_{1/2} $ $ 2 {\mathrm{p}}_{3/2} $ Total Ref. [54] NIST [55] C –298.98 –16.86 –9.08 –9.07 –1025.12 –1026 –1030.11 0.48 $ \rm C^{1+} $ –314.60 –30.44 –22.65 –1014.57 –1015 –1018.85 0.42 $ \rm C^{2+} $ –336.99 –47.29 –990.72 –991 –994.47 0.38 $ \rm C^{3+} $ –362.47 –66.27 –945.03 –945 –946.58 0.16 $ \rm C^{4+} $ –392.48 –880.85 –882.08 0.14 $ \rm C^{5+} $ –490.04 –490.04 –489.99 0.01 $ T_1/{\rm{keV}} $ $ E_{\mathrm{p}}/T_1 $ $ \sigma(k) /\text{mb}$ Diff/% Present work Pratt et al.[33] 1 0.2 4.923 5.587 –11.88 0.5 4.902 5.525 –11.27 0.8 4.747 5.272 –9.96 0.95 4.741 5.162 –8.16 10 0.2 7.486 8.308 –9.90 0.5 5.953 6.405 –7.06 0.8 4.829 5.060 –4.56 0.95 4.495 4.573 –1.71 100 0.2 7.896 8.130 –2.88 0.5 4.964 5.018 –1.07 0.8 2.939 2.970 –1.05 0.95 1.925 1.963 –1.95 200 0.2 7.614 7.586 0.37 0.5 4.402 4.377 0.58 0.8 2.352 2.354 –0.08 0.95 1.366 1.380 –1.02 1000 0.2 7.687 7.515 2.29 0.5 3.953 3.879 1.91 0.8 1.773 1.762 0.65 0.95 0.815 0.818 –0.36 2000 0.2 8.387 8.303 1.01 0.5 4.507 4.451 1.26 0.8 2.118 2.112 0.31 0.95 0.941 0.947 –0.68 $ T_1/ {\rm keV} $ $ E_{\mathrm{p}} / T_1 $ $ \theta/ (°)$ Shape function/sr–1 Diff/% Present work Kissel et al.[57] 10 0.6 0 0.0487 0.0498 –2.21 30 0.0783 0.0796 –1.68 90 0.0968 0.0962 0.60 120 0.0611 0.0602 1.44 180 0.0232 0.0232 –0.01 50 0.6 0 0.0877 0.0843 3.98 30 0.1386 0.1389 –0.23 90 0.0747 0.0746 0.19 120 0.0363 0.0360 0.83 180 0.0150 0.0149 0.61 100 0.6 0 0.1392 0.1380 0.87 30 0.2005 0.2019 –0.68 90 0.0558 0.0556 0.42 120 0.0244 0.0243 0.36 180 0.0111 0.0110 0.65 -
[1] [2] [3] [4] [5] [6] [7] [8] [9] [10] [11] [12] [13] [14] [15] [16] [17] [18] [19] [20] [21] [22] [23] [24] [25] [26] [27] [28] [29] [30] [31] [32] [33] [34] [35] [36] [37] [38] [39] [40] [41] [42] [43] [44] [45] [46] [47] [48] [49] [50] [51] [52] [53] [54] [55] [56] [57]
计量
- 文章访问数: 930
- PDF下载量: 40
- 被引次数: 0








下载: