-
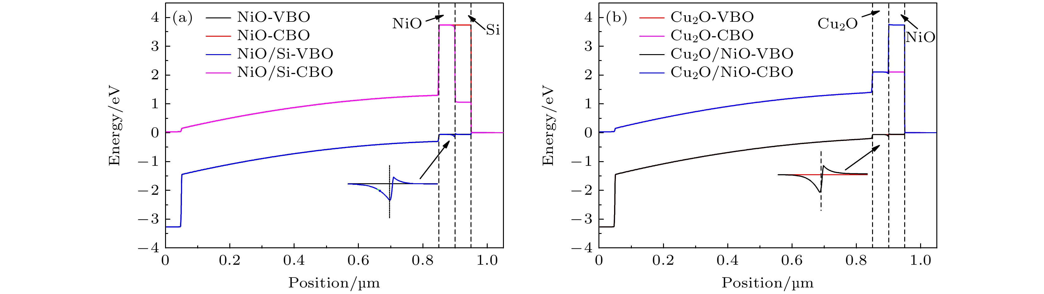
双钙钛矿材料以其低成本、环境友好等优势在太阳能电池领域引起广泛关注. 本研究在已报道的ITO/ZnO/Cs2AgBiI6/HTL/Au单空穴传输层太阳能电池结构基础上, 提出了ITO/ZnO/Cs2AgBiI6/HTL1/HTL2/Au的双空穴传输层结构, 并使用Silvaco TCAD进一步分析了基于Cs2AgBiI6的双空穴传输层太阳能电池的内部物理机制. 结果表明, 与各单空穴传输层钙钛矿太阳能电池相比, 使用Cu2O/NiO和NiO/Si作为双空穴传输层的太阳能电池效率有所提高. 与Spiro-OMeTAD/CZTS双空穴传输层太阳能电池相比, 使用Cu2O/CZTS和MoO3/CZTS作为双空穴传输层的效率也有所提高. 其中, 性能最好的Cu2O/CZTS双空穴传输层太阳能电池效率为22.85%. 经过钙钛矿层和传输层的厚度优化后, 光电转换效率提升至25.62%. 此外, 模拟结果还揭示了温度和掺杂浓度对太阳能电池特性的影响. 这将有利于在无铅、无毒、环保的基础上, 为双钙钛矿太阳能电池的能效提高提供理论指导.Double perovskite materials have received significant attention in the photovoltaic field due to their low cost, environmental friendliness, and lead-free composition, which make them ideal candidates for next-generation solar cell applications. In this work, the photovoltaic performance of solar cells using Cs2AgBiI6 as the light-absorbing layer is systematically investigated through simulations using Silvaco ATLAS software. Based on the previously reported single hole transport layer device architecture, namely ITO/ZnO/Cs2AgBiI6/HTL/Au, a new dual hole transport layer structure ITO/ZnO/Cs2AgBiI6/HTL1/HTL2/Au is proposed. Different dual hole transport layer combinations are explored, and their influence on the internal physical mechanism and the device performance are analyzed and optimized in detail. The simulation results show that the devices using Cu2O/NiO and NiO/Si respectively as dual hole transport layer significantly improve charge extraction and generate a negative electric field at the interface, thereby reducing recombination losse and accelerating the transport of hole carriers. These two configurations exhibit substantially higher efficiencies than those configurations with a single hole transport layer, confirming the advantages of the dual hole transport layer structure. Additionally, devices using Cu2O/CZTS and MoO3/CZTS as dual hole transport layer show better performance than the reference structure using Spiro-OMeTAD/CZTS, indicating the potential for further improvement by optimizing material selection and layer properties. Of the various dual hole transport layer combinations tested, the structure utilizing Cu2O/CZTS achieves the highest simulated power conversion efficiency (PCE) of 22.85%. By optimizing the thickness of each functional layer, the efficiency can be further increased to 25.62%, and the optimal layer thickness is determined to be 40 nm for ZnO, 850 nm for Cs2AgBiI6, 140 nm for Cu2O, and 150 nm for CZTS. Furthermore, the effects of environmental and material parameters, such as temperature and hole transport layer doping concentration, on device performance are investigated. This study lays a theoretical foundation for the design and enhancement of double perovskite solar cells. By demonstrating the potential that the dual hole transport layer structures can significantly improve device efficiency, their value in advancing environmentally friendly and lead-free photovoltaic technologies becomes very prominent. The insights gained from this research pave the way for developing high-performance double perovskite solar cells with optimized architectures and material properties.
-
Keywords:
- double perovskite solar cell /
- dual hole transport layers /
- photoelectric conversion efficiency /
- optimization
[1] [2] [3] [4] [5] [6] [7] [8] [9] [10] [11] [12] [13] [14] [15] [16] [17] [18] [19] [20] [21] [22] [23] [24] [25] [26] [27] [28] [29] [30] [31] [32] [33] [34] -
Parameter ZnO Cs2AgBiI6 Cu2O MoO3 CZTS Spiro-OMeTAD NiO P3HT Si Thickness/nm 50 800 50 50 100 200 100 50 50 Permittivity εr 9 6.5 7.5 12.5 9 3 10.7 3 11.9 Band gap/eV 3.3 1.6 2.17 3 1.4 2.2 3.8 1.7 1.12 Affinity/eV 4 3.9 3.2 2.5 3.8 3 1.46 3.5 4.17 NC/(1018 cm–3) 3.7 10.0 2.0 2.2 2.2 2.2 28.0 2000.0 250.0 NV/(1018 cm–3) 18.0 10.0 11.0 18.0 1.8 250.0 10.0 2000.0 180.0 ND(1018 cm–3) 1 0 0 0 0 0 0 0 0 NA/(1015 cm–3) 0 1 1000 1000 10000 1000 1000 1000 10 μn/(cm2·V–1·s–1) 100 2 200 25 100 2×10–4 12 1.8×10–3 1500 μp/(cm2·V–1·s–1) 25 2 80 100 12.5 2×10–4 2.8 1.86×10–2 480 电池结构 VOC/V JSC/(mA·cm–2) PCE/% FF/% FTO/ZnO/Cs2AgBiI6/Cu2O/Au 1.096 23.02 21.17 83.91 FTO/ZnO/Cs2AgBiI6/MoO3/Au 1.097 23.01 21.16 83.83 FTO/ZnO/Cs2AgBiI6/CZTS/Au 1.088 22.07 20.00 83.29 FTO/ZnO/Cs2AgBiI6/Spiro/Au 1.095 23.08 20.14 79.69 FTO/ZnO/Cs2AgBiI6/NiO/Au 1.095 23.00 20.64 82.10 FTO/ZnO/Cs2AgBiI6/P3HT/Au 1.070 23.04 17.91 72.65 FTO/ZnO/Cs2AgBiI6/Si/Au 1.055 22.00 17.18 74.02 ITO/ZnO/Cs2AgBiI6/Spiro/Au[34] 1.08 24.20 21.72 83.14 ITO/ZnO/Cs2AgBiI6/Spiro/Au[33] 1.08 23.74 20.31 79.28 Device structures VOC/V JSC/(mA·cm–2) PCE/% FF/% FTO/ZnO/Cs2AgBiI6/Cu2O/NiO/Au 1.098 23.19 21.39 83.46 FTO/ZnO/Cs2AgBiI6/NiO/Si/Au 1.093 23.05 20.71 82.21 FTO/ZnO/Cs2AgBiI6/MoO3/Cu2O/Au 1.097 22.9 21.13 83.44 FTO/ZnO/Cs2AgBiI6/MoO3/Spiro/Au 1.097 23.96 21.12 83.77 Device structures VOC/V JSC/(mA·cm–2) PCE/% FF/% FTO/ZnO/Cs2AgBiI6/Spiro/CZTS/Au 1.1 24.73 22.62 83.15 FTO/ZnO/Cs2AgBiI6/Cu2O/CZTS/Au 1.1 24.89 22.85 83.46 FTO/ZnO/Cs2AgBiI6/MoO3/CZTS/Au 1.1 24.83 22.79 83.44 Experiment No. Thickness/nm VOC/V JSC/(mA·cm–2) PCE/% FF/% ZnO Cs2AgBiI6 CZTS Cu2O 1 40 850 150 140 1.103 28.31 25.62 82.05 2 40 900 170 150 1.100 28.36 25.46 81.61 3 40 950 160 160 1.098 28.37 25.25 81.06 4 50 850 170 160 1.102 27.92 25.26 82.10 5 50 900 160 140 1.101 28.10 25.21 81.49 6 50 950 150 150 1.098 28.09 25.01 81.09 7 60 850 160 150 1.103 27.80 25.15 82.02 8 60 900 150 160 1.100 27.56 24.75 81.64 9 60 950 170 140 1.098 28.30 25.15 80.94 -
[1] [2] [3] [4] [5] [6] [7] [8] [9] [10] [11] [12] [13] [14] [15] [16] [17] [18] [19] [20] [21] [22] [23] [24] [25] [26] [27] [28] [29] [30] [31] [32] [33] [34]
计量
- 文章访问数: 820
- PDF下载量: 13
- 被引次数: 0








下载: