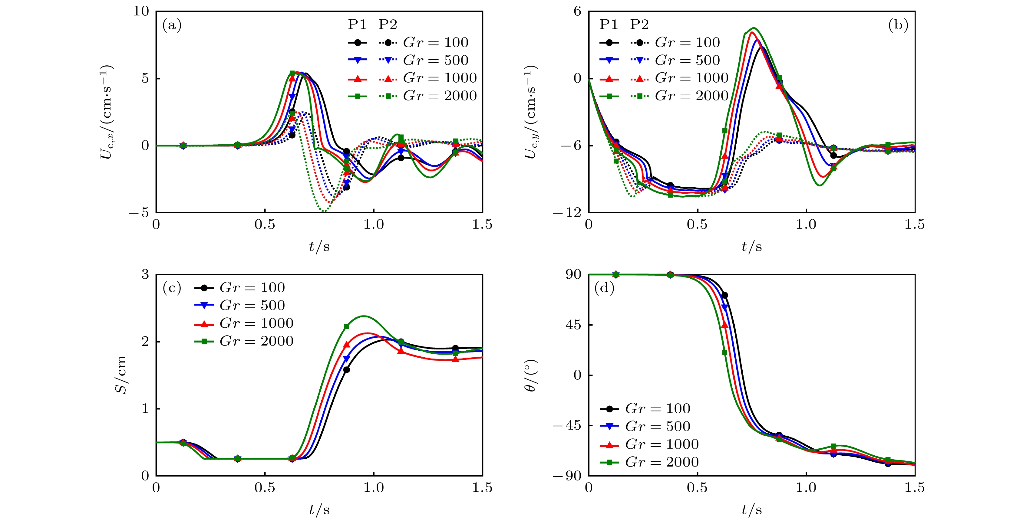
The conjugate heat transfer at the particle-fluid interface and the collision between particles play a crucial role in the sedimentation process of particles. In this work, the recent volumetric lattice Boltzmann method for thermal particulate flows with conjugate heat transfer is adopted to investigate the drafting-kissing-tumbling movement in the sedimentation process of two particles in a closed channel. This volumetric lattice Boltzmann method is based on double distribution functions, with the density distribution function used for the velocity field and the internal energy distribution function used for the temperature field. It is a single-domain approach, and the nonslip velocity condition within the solid domain can be strictly ensured. The difference in thermophysical properties between the solid and fluid can be correctly handled, and the conjugate heat transfer condition can be automatically achieved without any additional treatments. Based on this particle-resolved simulation, the influences of the solid-to-fluid specific heat ratio, the Grashof number, and the particle’s initial temperature on the drafting-kissing-tumbling movement are discussed in detail. It is found that the fluid cooled by the particle and thus subjected to the downward buoyancy force can promote particle sedimentation. As the specific heat ratio increases, the particle’s temperature rises relatively slowly. In the sedimentation of two cold particles, the drafting duration and tumbling duration of the drafting-kissing-tumbling movement decrease when the heat capacity ratio increases. In contrast, the kissing duration increases as the heat capacity ratio increases. When the Grashof number increases, the heat transfer between the particle and fluid is enhanced, and the drafting duration significantly decreases while the kissing duration and tumbling duration remain almost unchanged in the sedimentation of two cold particles. The particle’s initial temperature greatly affects the occurrence moment of the drafting-kissing-tumbling movement. To be specific, the drafting-kissing-tumbling movement occurs at the earliest moment for the sedimentation of two cold particles, followed by the sedimentation of one cold and one hot particle, and the latest for the sedimentation of two hot particles. The promoting effect of the low particle’s initial temperature on the drafting-kissing-tumbling movement mainly takes place in the dragging stage and kissing stage. The particle’s initial temperature has almost no influence on the tumbling duration.