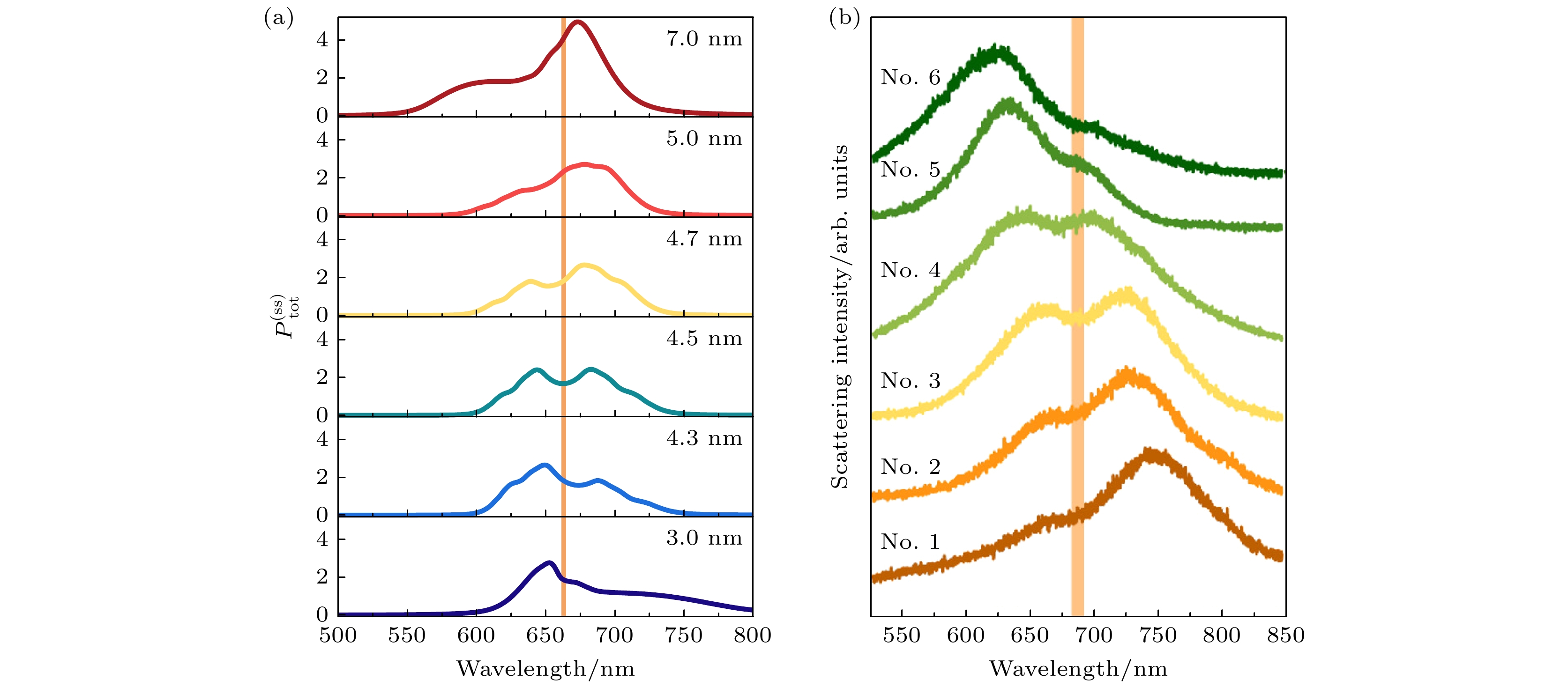
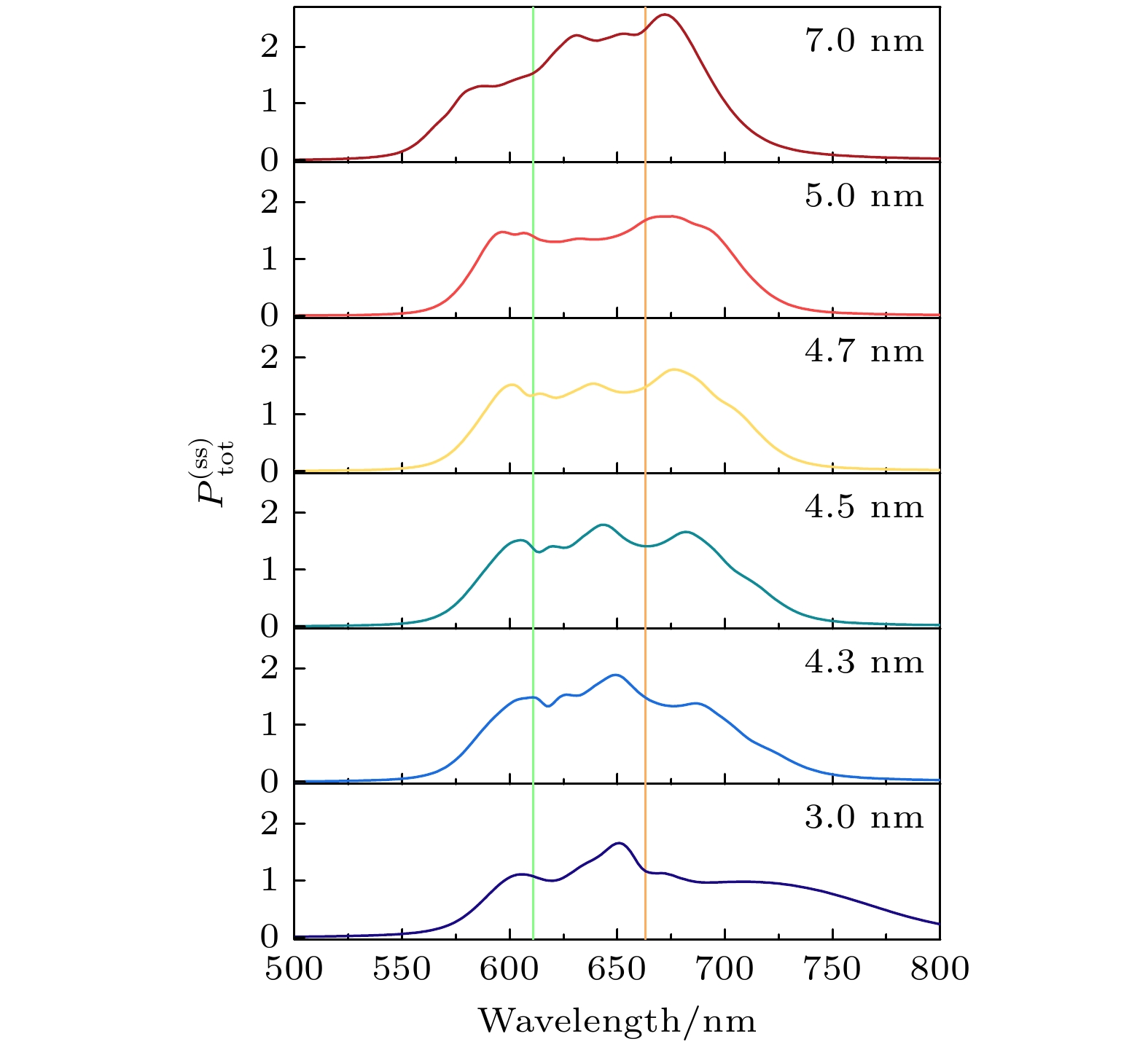
Methylene blue (MB), as an organic dye, exhibits rich photophysical properties when interacting with metal nanoparticles. Based on the double Rabi splitting experiment of MB molecular clusters and dual metal nanoparticles in a silver nanocavity, a cluster model composed of MB molecular monomers and dimers is developed and placed in a nanocavity environment consisting of two metal nanoparticles in this work. The density matrix theory framework combined with dipole approximation is used to calculate the coupling dynamics of the hybrid state formed between MB molecular clusters and dual metal nanoparticles. The semi-classical model is used to deal with the coupling of external fieldsand molecules and plasmons, and the multi-mode coupling effect caused by the interaction between multi-exciton states and plasmons is discussed. The results are qualitatively consistent with experimental results. The research results show that under the excitation of strong short pulse fields, single-mode coupling occurs mainly between MB monomers and nanocavities, forming new hybrid states. When the molecular cluster is composed of a mixture of monomers and dimers, it forms a multi-mode coupling state with the nanocavity. As the pulse width decreases, more exciton states and plasmon states are activated, which not only enhances the coupling effect but also further expands the excitation range of excitons. The effects of exciton decoherence rate and intermolecular distance on the coupling process are explored. The results show that the coupling strength increases with the exciton decoherence rate decreasing, that is, the longer the exciton decoherence time, the greater the coupling strength will be. This is because a longer decoherence time means that the exciton state has a longer lifetime and can more effectively couple with the plasmonic state. Meanwhile, molecular spacing is also an important factor affecting coupling behaviors. When the intermolecular distance is small, the coupling between excitons is enhanced, which leads to an increase of the splitting of hybrid energy levels, thereby promoting more excitons to couple with plasmons. The study of the multi-mode coupling mechanism between MB molecular clusters and dual metal nanoparticle structures reveals that under the interaction between multi-exciton states and plasmons, more hybrid energy levels can be generated in the composite system, leading the optical response peak to change accordingly. This work not only deepens our understanding of the coupling between molecules and plasmons but also provides theoretical insights for designing efficient light harvesting and conversion materials.