-
快中子多重性测量技术是军控核查领域一项重要的无损检测技术, 可用于核材料的质量衡算. 但该方法是基于点模型假设建立的, 会造成系统偏差. 为修正偏差提升测量精度, 本文对两种不同形状的样品进行了快中子多重性模拟测量, 得到了材料空间体积内中子产生、吸收和净增长随位置的变化关系, 发现了中子泄漏增殖系数的空间变化规律. 根据中子多重性阶乘矩与待测参数间的函数关系, 提出了一种基于空间增殖系数修正的方法, 通过引入修正因子$ {g_n} $, 推导了快中子多重性加权点模型方程. 为验证该方法的准确性, 本文通过Geant4搭建了一套测量模型, 对球体和圆柱体两种形状的公斤级钚样品进行了模拟测量. 结果表明, 快中子多重性加权点模型方程的测量精度高于点模型方程, 测量偏差缩小至6%以内, 提供了一种求解公斤级钚样品质量的优化方法, 推动了快中子多重性测量技术向前发展.Fast neutron multiplicity measurement technology is an important non-destructive testing technology in the field of arms control verification. In the technique, the liquid scintillation detector is used to detect the fission neutron and combined with the time correlation analysis method to extract multiplicity counting rates from the pulse signals. This technique is commonly used to measure the mass of nuclear materials, however, it is based on the point model that assumes that the neutron multiplication coefficient keeps constant in the whole spatial volume, which will lead to overestimation of the multiplication coefficient and result in system deviation. To correct the deviation and improve the measurement accuracy, the fast neutron multiplicity simulation measurements are carried out on spherical and cylindrical samples in this work. The relationship among the position of neutron generation, absorption and net growth in the space volume of the material is obtained. According to the definition of the leakage multiplication coefficient, the leakage multiplication coefficients at different positions in the space volume of the material are calculated. On this basis, a method based on spatial multiplication coefficient correction is proposed according to the functional relationship between neutron multiplicity factorial moments and the unknown parameters. In this method, the n-order multiplication coefficient is modified by introducing a weight factor $ {g_n} $, and the fast neutron multiplicity weighted point model equation is derived. To verify the accuracy of this method, a set of fast neutron multiplicity detection model is built by Geant4, and the fast neutron multiplicity simulation measurement is carried out on the spherical and cylindrical samples. The results show that the solution accuracy of the weighted point model equation is higher than that of the standard point model equation, and the measurement deviation is reduced to less than 6 %. This work provides an optimization method for solving plutonium samples with several kilograms in mass, and promotes the development of the fast neutron multiplicity measurement technology.
[1] [2] [3] [4] [5] [6] [7] [8] [9] [10] [11] [12] [13] [14] [15] [16] [17] [18] [19] [20] [21] -
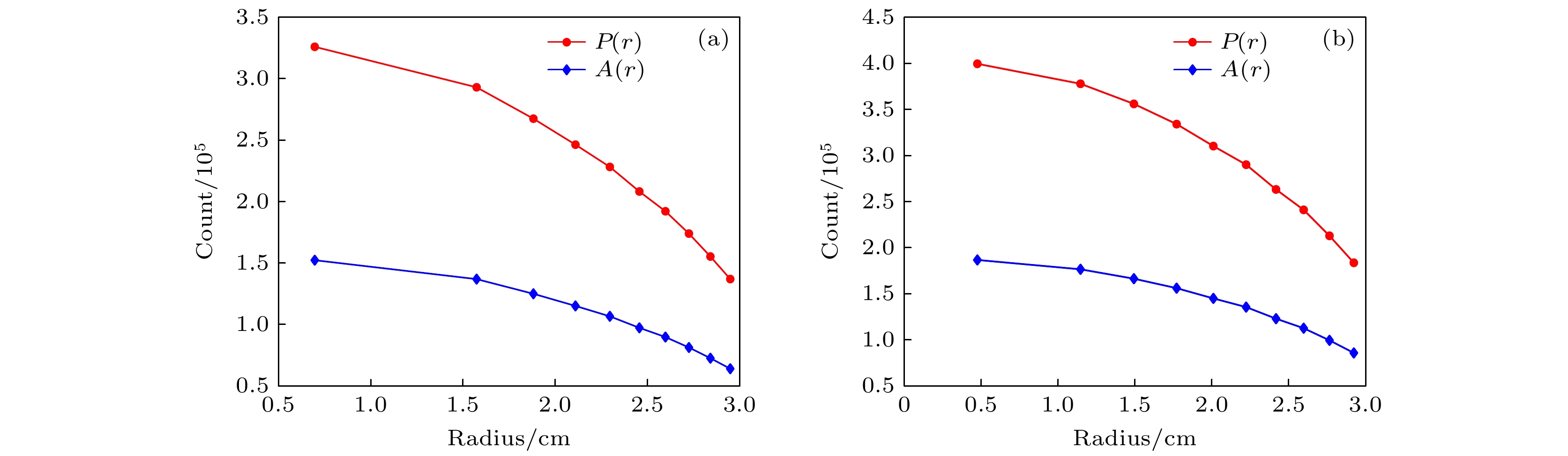
样品 第1层 第2层 第3层 第4层 第5层 第6层 第7层 第8层 第9层 第10层 球体 173663 156111 142509 131236 121585 110940 102358 92682 82744 72978 圆柱体 212847 201300 189675 177980 165286 154546 140224 128419 113419 97833 样品 $ \overline {M_{\text{L}}^n} $ $ {(\overline {{M_{\text{L}}}} )^n} $ $ {g_n} $ $ \overline {{M_{\text{L}}}} $ $ \overline {M_{\text{L}}^{2}} $ $ \overline {M_{\text{L}}^{3}} $ $ \overline {M_{\text{L}}^{4}} $ $ \overline {M_{\text{L}}^{5}} $ $ {(\overline {{M_{\text{L}}}} )^1} $ $ {(\overline {{M_{\text{L}}}} )^2} $ $ {(\overline {{M_{\text{L}}}} )^3} $ $ {(\overline {{M_{\text{L}}}} )^4} $ $ {(\overline {{M_{\text{L}}}} )^5} $ $ {g_1} $ $ {g_2} $ $ {g_3} $ $ {g_4} $ $ {g_5} $ 球体 2.03 4.21 8.87 18.97 41.24 2.03 4.14 8.42 17.13 34.84 1 1.017 1.053 1.107 1.184 圆柱体 2.38 5.76 14.16 35.36 89.52 2.38 5.66 13.45 31.99 76.09 1 1.017 1.052 1.105 1.176 泄漏增殖系数 计算质量 计算偏差/% 球体 圆柱体 球体 圆柱体 球体 圆柱体 修正前 2.16 2.51 161.05 243.06 –28.04 –27.6 修正后 2.07 2.40 236.03 344.30 5.5 2.6 样品 $ \overline {M_{\text{L}}^n} $ $ {(\overline {{M_{\text{L}}}} )^n} $ $ {g_n} $ $ \overline {{M_{\text{L}}}} $ $ \overline {M_{\text{L}}^{2}} $ $ \overline {M_{\text{L}}^{3}} $ $ \overline {M_{\text{L}}^{4}} $ $ \overline {M_{\text{L}}^{5}} $ $ {(\overline {{M_{\text{L}}}} )^1} $ $ {(\overline {{M_{\text{L}}}} )^2} $ $ {(\overline {{M_{\text{L}}}} )^3} $ $ {(\overline {{M_{\text{L}}}} )^4} $ $ {(\overline {{M_{\text{L}}}} )^5} $ $ {g_1} $ $ {g_2} $ $ {g_3} $ $ {g_4} $ $ {g_5} $ 球体 2.03 4.18 8.76 18.64 40.22 2.03 4.11 8.35 16.93 34.34 1 1.016 1.049 1.101 1.171 圆柱体 2.37 5.74 14.08 35.09 88.61 2.37 5.64 13.39 31.78 75.47 1 1.017 1.052 1.104 1.174 泄漏增殖系数 计算质量 计算偏差/% 球体 圆柱体 球体 圆柱体 球体 圆柱体 离散修正 2.07 2.40 236.03 344.30 5.45 2.55 拟合修正 2.08 2.39 231.24 343.02 3.32 2.13 -
[1] [2] [3] [4] [5] [6] [7] [8] [9] [10] [11] [12] [13] [14] [15] [16] [17] [18] [19] [20] [21]
计量
- 文章访问数: 408
- PDF下载量: 10
- 被引次数: 0








下载: