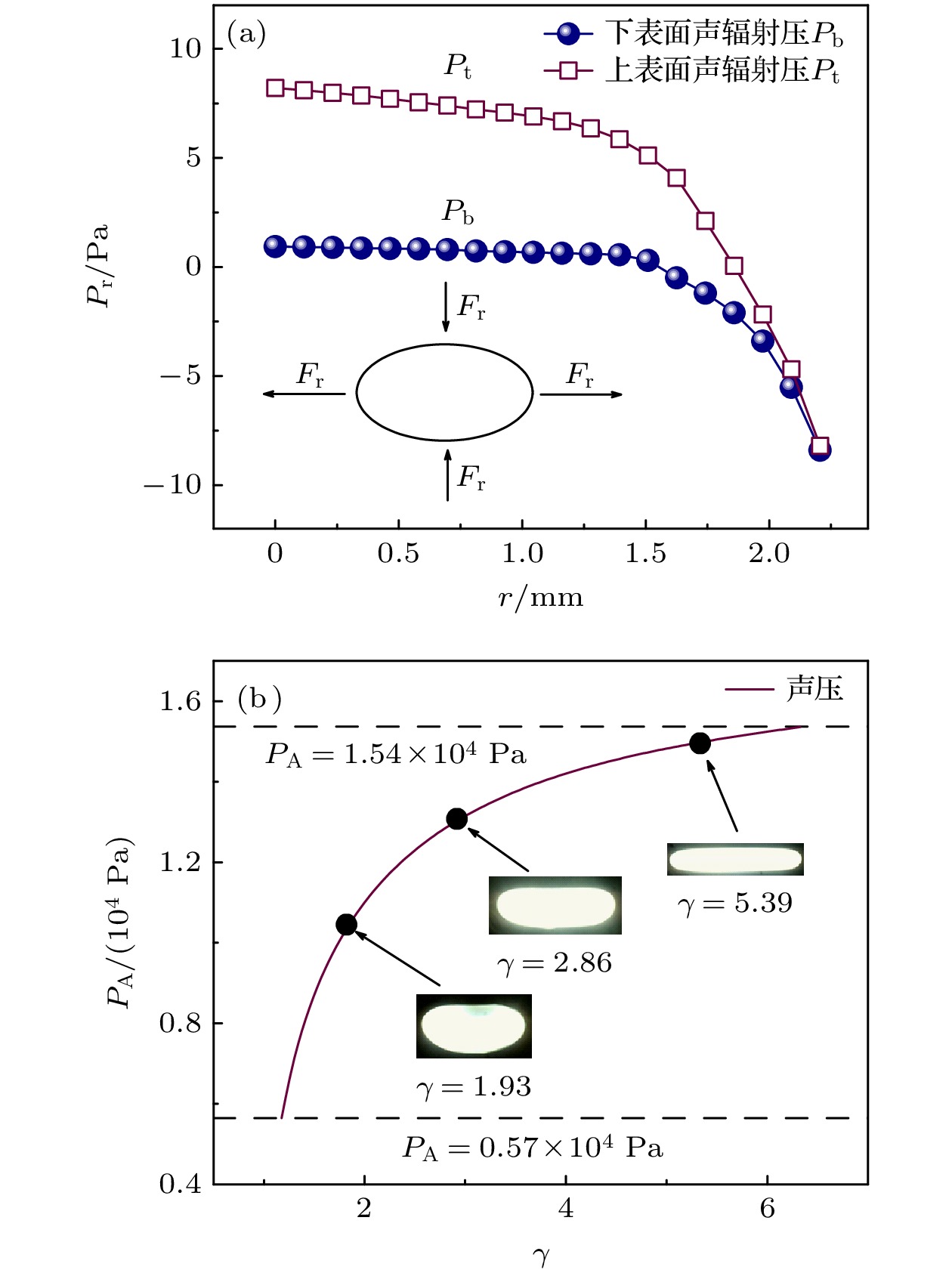
As an important and promising experimental method of simulating the containerless state in outer space, acoustic levitation provides excellent contact-free condition for investigating solidification process. Meanwhile, the radiation pressure and acoustic streaming caused by nonlinear effects bring various kinds of novel phenomena to crystallization kinetics. In this work, high-speed charge coupled device (CCD), low-speed camera and infrared thermal imager are used simultaneously to observe the crystallization process of acoustically levitated SCN-DC transparent alloys. The undercooling ability and solidification process of alloy droplets with different aspect ratios are explored in acoustic levitation state. For hypoeutectic SCN-10%DC, eutectic SCN-23.6%DC and hypereutectic SCN-40%DC alloys, the experimental maximum undercoolings reach 22.5 K (0.07TL), 16 K (0.05TE) and 32.5 K (0.1TL) and the corresponding crystal growth velocities are 27.91, 0.21 and 0.45 mm/s, respectively. In SCN-10%DC hypoeutectic alloy, the nucleation mode of SCN dendrite changes from edge nucleation into random nucleation with the increase of undercooling. For SCN-23.6%DC eutectic alloy, when the undercooling exceeds 12.6 K, DC dendrites preferentially nucleate and grow, and then the (SCN+DC) eutectic adheres to and grows on DC dendrites. Moreover, the growth interface of DC dendrites gradually changes from sharp into smooth within SCN-40%DC hypereutectic alloy as the undercooling degree rises. The undercooling distribution curve and nucleation probability variation trend versus aspect ratio are analyzed. It is found that as the aspect ratio increases, undercooling of alloy droplet first increases, then decreases, and finally remains almost unchanged. Further analysis shows that with the increase of aspect ratio, the cooling rate will rise and thus enhance the undercooling. However, the increase in surface nucleation rate and the droplet oscillation inhibits deep undercooling of alloy droplet. Therefore, the coupled effects of cooling rate, surface nucleation rate, and droplet oscillation determine the undercooling of the alloy. In the case of SCN-40% DC hypereutectic alloy, the acoustic streaming and surface oscillation arising from acoustic field are the main factors intensifying surface nucleation.