观点和展望
编辑推荐
										2025, 74 (7): 077403.
										doi: 10.7498/aps.74.20250313
											
										
								摘要 + 
								
									高温超导是凝聚态物理研究的一个基本问题, 也是21世纪亟待攻克的关键科学难题之一. 其研究不仅揭示了大量新奇的量子现象, 深化了对量子多体物理的理解, 还极大地促进了实验技术的创新以及关联量子理论与方法的发展. 更为重要的是, 高温超导是一个非微扰的强关联量子系统, 其研究为非微扰量子理论的突破提供了理想的实验平台, 是系统构建非微扰量子场论的关键驱动力. 当前, 高温超导研究面临着诸多挑战, 要取得实质性突破, 不仅需要发展基于新原理的实验探测技术, 构建新的量子多体理论框架和研究手段, 更重要的是要通过对已有实验现象和效应的深入分析, 挖掘这些现象之间的内在关联和规律, 为揭示高温超导机理提供关键线索, 同时推动量子多体理论的整体发展.
								
								
							专题: 磁共振技术
 
										编辑推荐
										2025, 74 (7): 077402.
										doi: 10.7498/aps.74.20241709
											
										
								摘要 + 
								
									作为一种物质表征的重要技术手段, 固态核磁共振已经在物理学、材料科学、化学、生物学等多个学科领域得到广泛的应用. 近年来, 得益于固态核磁共振体系中丰富的多体相互作用和多样的脉冲控制手段, 该技术逐渐在前沿的量子科技中展现出重要的研究价值和应用潜力. 本文系统性地介绍了固态核磁共振体系的研究对象和理论基础, 包括该系统中重要的核自旋相互作用机理及其哈密顿量形式, 列举了动力学解耦、魔角旋转等典型的固态核自旋动力学调控手段. 此外, 我们重点展示了近年来在固态核磁共振量子控制方面取得的前沿进展, 包括核自旋极化增强技术、弗洛凯哈密顿量的调控技术等. 最后, 我们结合一些重要的研究工作阐述了固态核磁共振量子控制技术在量子模拟领域中的应用.
								
								
							 
										编辑推荐
										2025, 74 (7): 078701.
										doi: 10.7498/aps.74.20241759
											
										
								摘要 + 
								
									超高场磁共振成像(ultra-high field magnetic resonance imaging, UHF-MRI)是主磁场强度为7 T及以上磁共振成像的统称. 与传统磁共振成像相比, UHF-MRI具有更高的信噪比和对比度. 因此, 在临床医学及神经科学等领域, 该技术的运用能够显著提高信号的探测灵敏度和图像的空间分辨率, 从而提供更丰富的生理病理信息. 目前, UHF-MRI在大脑功能和代谢成像两个方面发挥了重要的作用. 在脑功能研究方面, 高分辨率的皮层功能柱和分层成像有助于揭示神经信息流的方向; 在脑代谢研究中, 氢核与多核的波谱及成像技术提供了更精确的代谢信息, 有望在功能性和代谢性疾病的病理研究中取得重要突破. 本文介绍了UHF-MRI的发展历史和理论基础, 梳理了其关键优势及在脑功能和代谢成像应用研究中的现状, 总结了当前面临的挑战, 并提出了未来重点研究方向.
								
								
							专题: 量子信息处理
 
										编辑推荐
										2025, 74 (7): 070301.
										doi: 10.7498/aps.74.20250029
											
										
								摘要 + 
								
									中微子振荡是一个有趣的物理现象, 其量子性能够在宏观距离的振荡上得以保持并被检测到. 中微子振荡的量子资源特性是一个值得探索的主题, 这种在粒子物理学和量子信息学之间建立起的联系, 对于研究基本粒子的基本性质以及探索将中微子作为一种资源应用于量子信息处理的可能性而言, 都有着重要意义. 因此, 中微子物理学与量子信息理论的交叉研究受到了越来越多的关注. 这篇综述主要介绍利用量子资源理论来表征三味中微子振荡的量子资源特性, 包括量子纠缠、量子相干、量子非局域性和熵不确定度等. 除此之外, 还介绍了三味中微子振荡中的量子资源理论的权衡关系, 主要基于单配性关系和完全互补性关系, 这些权衡关系可以帮助我们有效理解量子资源如何在中微子振荡中转化和分配. 中微子振荡的量子信息理论研究仍处于不断发展中, 期望本综述能为该领域的发展带来启示.
								
								
							专题: 拓扑量子输运和器件
 
										编辑推荐
										2025, 74 (7): 076401.
										doi: 10.7498/aps.74.20250122
											
										
								摘要 + 
								
									随着对拓扑态体系理解的深入, 大家普遍认为非平庸的拓扑态直接关联于某些独特的拓扑界面. 基于这一思路, 通过构建不同的拓扑界面, 能够实现对不同自由度输运的调控. 目前, 拓扑界面态已经在多类拓扑体系中被实现, 并且在相关领域引起了广泛关注. 拓扑界面态主要表现出两个基本特点: (i)它是受拓扑保护的; (ii)由于两侧体系的不同又会展现出独特的输运性质. 特别地, 不同特性的拓扑界面态在空间自由度体系中会表现出新奇的拓扑输运特性. 这些输运特性是构建新型拓扑器件的重要理论基础. 结合我们近年的理论工作以及相关进展, 本综述介绍了基于拓扑界面态的可编程集成电路以及层电子学器件的最新进展与未来展望.
								
								
							 
										封面文章
										2025, 74 (7): 077401.
										doi: 10.7498/aps.74.20241672
											
										
								摘要 + 
								
									低维电子材料与超导材料的复合体系一直是研究介观输运和低维超导特性的重要平台, 其中具有强自旋轨道耦合效应的低维结构与超导宏观量子态结合呈现出丰富的量子现象, 为探索新物性和研制新型拓扑量子器件提供了一个理想的平台. 采用高质量的一维电子材料构筑超导复合器件, 探索受限量子体系与超导界面的量子输运现象和器件调控机制迅速成为研究的前沿和热点. 其中的关键问题在于理解纳米尺度下低维体系与超导界面的特征散射机制和量子输运过程, 研究电荷态与拓扑局域态的耦合机制, 实现对拓扑态本征输运特性的探测, 在此基础上为研制新型超导纳电子器件和拓扑量子器件探索新原理和新方法. 由于多种能量尺度和束缚态的竞争, 介观尺度下的超导复合结构在器件物理、结构设计以及测量方案上都存在前所未有的挑战. 本文回顾了基于一维电子体系的超导复合器件的近期进展, 聚焦在以半导体纳米线和碳纳米管为代表的实验体系, 简要介绍了从材料和器件物理, 到输运测量的主要现象和实验挑战. 最后本文对一维体系拓扑量子器件的研制和输运研究进行了总结和展望.
								
								
							仪器与测量
 
										编辑推荐
										2025, 74 (7): 070302.
										doi: 10.7498/aps.74.20241621
											
										
								摘要 + 
								
									高精度重力场测绘对地质调查、资源勘探、大地水准面建模等领域具有重要意义. 地面静态绝对重力测绘效率低, 无法覆盖河流、湖泊、山脉等地形条件复杂的区域. 机载绝对重力测绘可以在复杂地形实现快速、连续重力测量, 满足实际应用需求. 本文报道了一种基于量子重力仪的航空绝对重力测量系统, 开展了机载动态绝对重力测量实验. 在飞行高度1022 m、航速240 km/h条件下, 得到3 km滤波后整段测线重力值变化的标准差约为8.86 mGal, 评估了实测重力值与EGM2008模型残差的标准差, 经计算约为8.16 mGal. 本文结果验证了量子重力仪在航空动态绝对重力测量方向的可行性, 为复杂地形条件下的高精度、高分辨率重力场测绘提供了一种新的技术手段.
								
								
							 
										编辑推荐
										2025, 74 (7): 074203.
										doi: 10.7498/aps.74.20241652
											
										
								摘要 + 
								
									拉曼分布式光纤测温系统基于拉曼斯托克斯(Stokes)散射光和反斯托克斯(anti-Stokes)散射光功率进行温度解调, 拉曼散射光功率直接影响测温精度. 系统中激光脉冲功率以及雪崩光电探测器增益均可能出现随机变化, 从而导致获取的拉曼散射光功率波动, 因此本文提出一种基于动态标定的拉曼分布式光纤测温系统方案, 通过设置温度标定单元并结合提出的功率校正算法, 消除标定单元的温度的动态变化对拉曼散射光功率的贡献, 再基于先前标定的数据, 分别将拉曼Stokes散射光和拉曼anti-Stokes散射光功率校正到同一激光脉冲功率及雪崩光电探测器增益水平, 从而提升系统的测温精度. 系统采用50 ns的激光脉冲, 在4.6 km长的单模光纤上开展测温试验, 结果显示: 在35—95 ℃的测温区间, 基于传统的温度解调算法, 测温偏差为–5.8—1.0 ℃, 均方根误差为4.0 ℃, 而基于动态标定的校正算法, 测温偏差为–0.8—0.9 ℃, 均方根误差为0.5 ℃. 本文提出新的拉曼分布式光纤测温系统具备拉曼散射光功率动态校正功能, 有工程推广价值.
								
								
							总论
 
										
										2025, 74 (7): 070201.
										doi: 10.7498/aps.74.20241727
											
										
								摘要 + 
								
									固态电解质锂电池具有能量密度大、循环稳定性强、机械强度高、不易燃、安全性高、使用寿命长等优点, 广泛应用于航空航天、新能源汽车和移动设备等领域. 但是在锂电池的电极/电解质界面处存在的锂枝晶生长问题一直是制约其性能提升和安全应用的关键因素, 锂枝晶在电解质中生长不仅会降低电池的库仑效率, 而且可能刺穿电解质导致电池内部正负极短路. 本文针对固态锂电池中的锂枝晶生长问题, 基于相场理论进行数值模拟研究, 建立了耦合应力场、热场和电化学场的锂枝晶生长相场模型, 研究了环境温度、外压力以及该两种条件耦合作用下的锂枝晶生长形态以及演化规律. 研究结果表明, 在较高温度和较大外应力作用下, 锂枝晶生长缓慢, 侧枝数量减少, 表面更光滑, 电沉积较为均匀. 施加外压越大时, 锂枝晶纵向生长受到抑制, 呈压缩状态, 致密度更高, 但机械不稳定性也会增强; 环境温度越高, 锂离子的扩散速率和反应速率越大, 锂枝晶生长速率和大小也受到抑制, 且二者耦合作用对枝晶生长有明显的抑制效果, 应力集中在根部, 使得枝晶更侧重于横向生长, 有利于形成平坦和密集的锂沉积.
								
								
							 
										
										2025, 74 (7): 070601.
										doi: 10.7498/aps.74.20250024
											
										
								摘要 + 
								
									在工业现场或室外长距离测距场景中, 空气折射率难以精确测量且修正过程复杂, 这是影响精密测距的关键因素. 为此, 本文提出了一种基于光频梳的多脉冲光谱干涉绝对测距方法, 建立了相应的数学模型, 分析了利用伪时域同步确定测量光路群折射率和被测距离的方法, 通过微调重复频率和差分计算, 将测距范围由传统光谱干涉测距的非模糊范围拓展至任意长度, 并进行了大量的数值模拟和分析. 模拟结果表明, 当参考间距为0.1 m时, 群折射率测量的绝对误差最大为0.12×10–6; 在考虑空气折射率测量误差的情况下, 被测距离在0—200 m时的测距误差最大为33 nm; 在大气条件发生改变时, 通过实时修正群折射率波动引入的测距误差, 最终测距误差最大为38 nm, 保证了在大量程测距中亚微米级的测距精度. 研究结果表明, 该方法可以应用于大尺寸高精度的绝对距离测量.
								
								
							 
										
										2025, 74 (7): 070701.
										doi: 10.7498/aps.74.20241769
											
										
								摘要 + 
								
									利用六面顶压机, 在5.8 GPa, 1300 ℃的高温高压条件下, 以Fe59Ni25Co16合金作为触媒, 系统地开展了Li3N添加金刚石单晶的生长研究. 首先, 考察了Li3N添加比例对金刚石单晶生长的影响. 研究结果表明, 随着Li3N添加比例的逐渐增加, 金刚石单晶的颜色逐渐由黄绿色、绿色、深绿色向墨绿色过渡, 其形貌逐渐由六面体、六八面体向八面体过渡, 且单晶的生长速度随Li3N添加比例的增加而减小. 其次, 借助傅里叶红外(FTIR)光谱测试, 揭示了金刚石单晶的氮含量随着Li3N添加比例的增加而增大, 并验证了提高金刚石生长压力可实现对金刚石单晶氮含量的提升. 再次, 结合拉曼(Raman)光谱测试, 阐述了金刚石单晶的拉曼特征峰随着Li3N添加比例的增加而逐渐向低能端移动, 这与金刚石单晶的内应力随晶体内氮含量的增加而增大有关. 最后, 通过光致发光光谱(PL)测试, 验证了本研究实现了具有NV–色心金刚石单晶的高温高压制备. 另外, PL光谱测试结果同时表明, 当金刚石中的氮含量不低于4.93×10–4时, 晶体内部NV–色心的零声子线强度会随着晶体氮含量的增加而显著降低.
								
								
							核物理学
 
										
										2025, 74 (7): 072901.
										doi: 10.7498/aps.74.20241660
											
										
								摘要 + 
								
									新一代反应堆对运行效率和安全性提出了更高的需求, 迫切需要更精确的非弹性散射截面数据. 不锈钢作为关键结构材料, 其中关键元素铬的非弹性散射截面的实验测量在国内仍处于空白, 同时国外的测量结果分歧较大, 严重限制了核反应堆计算的准确性. 在中国原子能科学研究院的HI-13串列加速器, 利用瞬发γ射线测量法, 在国内首次测量得到647.47 keV, 935.54 keV, 1333.65 keV, 1434.07 keV和1530.67 keV五条非弹性散射γ的实验产生截面, 获得了三个能量(5.62 MeV, 6.24 MeV和7.95 MeV)的中子轰击52Cr的非弹散射截面实验结果. 同时, 利用理论模型计算了能量小于20 MeV的中子与52Cr的非弹性散射截面. 结果表明, 三个中子能点得到的γ产生截面与Mihailescu等的结果[Mihailescu L C, Borcea C, Koning A J, Plompen A J M 2007 Nucl. Phys. A   786   1 ]在误差范围内吻合, 且不确定度更小, 实验测量数据支持Mihailescu等的结果. 理论模型计算与实验数据有较大差异, 可能来源于52Cr能级纲图的高激发态部分的实验信息缺失.
								
								
							原子和分子物理学
 
										
										2025, 74 (7): 073101.
										doi: 10.7498/aps.74.20241737
											
										
								摘要 + 
								
									基于第一性原理的密度泛函理论, 系统地研究了氧化石墨烯及其Ag与Cu掺杂对NH3分子的吸附特性. 通过计算电荷分布、态密度、能带结构和吸附能, 研究了含氧基团及金属掺杂对氧化石墨烯气敏性能的调控效应. 通过对掺杂Ag原子的氧化石墨烯的态密度进行分析, 发现Ag原子与NH3中的N原子的s, p和d轨道之间存在共振, 表明Ag原子和N原子之间形成了化学键. 这种化学键导致Ag对NH3的吸附作用明显强于含氧基团, 从而使得掺杂后的氧化石墨烯的吸附能提升了数倍. 此外, Cu掺杂氧化石墨烯同样能够显著地提升其对NH3的吸附性能. 在掺杂浓度均为3.13%的条件下, Cu掺杂的氧化石墨烯对NH3表现出更强的吸附能力. 同时, Ag或Cu掺杂的氧化石墨烯中, 羧基和环氧基对NH3的吸附模式由物理吸附转变为化学吸附; 而羟基则在掺杂前后始终显示出化学吸附特性. 综上所述, 金属掺杂的氧化石墨烯的吸附能会受到含氧基团和金属原子共同作用影响, 且Ag或Cu原子掺杂能显著提高氧化石墨烯对NH3的吸附性能.
								
								
							 
										编辑推荐
										2025, 74 (7): 073102.
										doi: 10.7498/aps.74.20241797
											
										
								摘要 + 
								
									时域Landau-Zener-Stückelberg-Majorana干涉在量子态操控、延长量子态寿命和抑制系统退相干方面具有重要应用价值. 本文基于87Sr光晶格钟平台, 通过周期性调制698 nm钟激光频率并优化光钟系统参数, 在快通道极限下实现了Landau-Zener跃迁, 并测量了不同实验参数下的时域Landau-Zener-Stückelberg-Majorana干涉边带谱. 由于调制后的激光与原子相互作用在时域上展现出干涉现象, 因此, 通过改变激光失谐可以探测不同钟激光作用时间下的时域干涉边带谱. 实验结果表明, 当钟激光作用时间为调制周期的整数倍时, 扫描钟激光的频率失谐, 干涉边带谱关于零失谐频率呈非对称分布. 而当作用时间为调制周期的半整数倍时, 干涉边带谱则呈对称分布. 该现象源于钟跃迁量子态演化过程中积累的有效动力学相位. 时域Landau-Zener-Stückelberg-Majorana干涉谱的研究为未来基于光晶格钟平台的态制备和研究噪声对Landau-Zener跃迁的影响奠定了实验基础.
								
								
							电磁学、光学、声学、传热学、经典力学和流体动力学
 
										编辑推荐
										2025, 74 (7): 074101.
										doi: 10.7498/aps.74.20241677
											
										
								摘要 + 
								
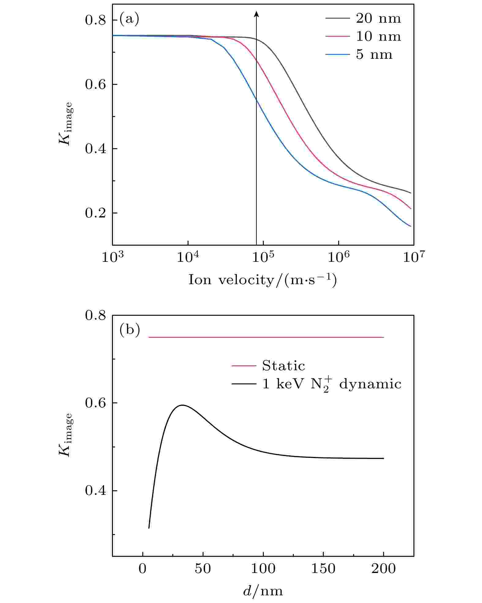
									本文进行了1 keV $ {\text{N}}_2^ + $离子束穿越完全放电的白云母微孔膜实验, 测量了0°倾角下离子束入射初期的出射离子二维角分布图. 将离子速度对通道壁介电响应的影响引入镜像电荷力表达式, 对离子在菱形通道内所受镜像电荷力进行了多阶修正. 采用不同近似情况下的镜像电荷力对实验进行了模拟计算, 结果表明离子速度对通道壁介电响应的影响会使镜像电荷力降低. 对比对镜像电荷力进行多阶修正前后的模拟结果, 修正后的结果更接近实验值. 模拟计算出的穿透离子图像和实验测得的图像形状基本吻合, 均未出现体现成型效应的矩形. 但在穿透率和半高宽方面存在差距, 实验二维角分布半高宽比计算结果大, 且实验穿透率明显小于计算结果. 我们分析了模拟计算中的几个可能影响, 评估了束流的真实状态以及束流与微孔之间的夹角等因素对模拟和实验之间的差异的影响. 束流发散度和束流与微孔间的夹角会对模拟结果产生较大影响, 但是这些因素导致的模拟结果与实验出射离子角分布的差别还不够. 本工作提供了离子束作为探针进行微孔表面介电响应研究的可能性.
								
								
							 
										
										2025, 74 (7): 074201.
										doi: 10.7498/aps.74.20241686
											
										
								摘要 + 
								
									精确测量视网膜血氧饱和度(oxygen saturation, SO2)可为糖尿病视网膜病变、青光眼及视网膜静脉阻塞等眼部疾病提供有价值的早期指示. 虽然可见光光学相干层析成像能够通过光谱拟合直接获取SO2, 但受限于可见光的刺激性及其对视网膜生理状态的影响. 近红外一区对眼部的刺激较小, 尽管血红蛋白在此波段的吸收效应较弱, 但其散射特性也与SO2相关. 基于此, 本研究提出了一种光学相干血流造影(optical coherence tomography angiography, OCTA)引导的近红外一区视网膜血氧饱和度测量技术, 利用氧敏感波长(855 nm)与氧等消光波长(805 nm)光衰减的比值结合标定实现了SO2的测量. 该方法利用OCTA生成的三维血流图自动识别血管以及周围组织区域的三维位置, 避免了手动选取区域引起的测量误差, 将视网膜动静脉分类的平均准确率由82.1%提高到96.7%. 测量结果显示, 动脉和静脉的平均血氧饱和度分别为94% ± 21%, 56% ± 13%, 符合正常视网膜血氧饱和度范围. 该方法有效提升了测量的准确性和效率, 为眼科疾病的早期诊断、病情评估及疗效监测提供了可靠的工具, 具有广阔的应用前景.
								
								
							 
										
										2025, 74 (7): 074202.
										doi: 10.7498/aps.74.20241658
											
										
								摘要 + 
								
									传统焦深测量方法大多需要直接捕捉光斑尺寸, 但超快脉冲激光系统焦点处高峰值光强容易使仪器损坏, 而利用自相关和平移探测器等方法光路复杂, 容易引入误差. 考虑到现有方法的局限, 本文提出了一种基于Z扫描技术的超快脉冲激光焦深测量新方法. 从非线性光学理论出发, 推导出利用开孔Z扫描技术测量具有双光子吸收特性的材料时, 透射率曲线符合洛伦兹分布, 拟合后可以快速确定焦点位置及焦深大小. 通过仿真不同因素下的测量结果, 验证了利用Z扫描技术测量光学系统焦深的可行性. 通过实验测量不同样品厚度、入射光强、样品类型及不同透镜超快光学系统的透射率曲线, 表明开孔Z扫描曲线的半高全宽与理论焦深值具有显著一致性. 该方法将焦深大小与透射率曲线的束腰半径相关联, 利用Z扫描曲线的洛伦兹分布特性排除了不同因素对测量结果的影响, 能够准确测量超快脉冲激光聚焦系统的焦深.
								
								
							 
										
										2025, 74 (7): 074204.
										doi: 10.7498/aps.74.20241180
											
										
								摘要 + 
								
									为解决小孔点衍射干涉仪构建中, 显微物镜汇聚光斑与衍射小孔之间对准误差对波前误差、衍射强度、干涉条纹对比度产生影响, 而导致实际测量精度降低的问题, 本文提出一种衍射小孔可视对准方法, 借助电荷耦合器件和分光棱镜在小孔衍射前端搭建辅助对准光路, 通过对小孔衍射板反射图像进行采集及处理来监测小孔对准状态并计算对准误差. 文中设计了可视精密对准光路方案, 仿真分析了平移、倾斜以及离焦三种典型对准偏差下对准图像的视觉表现, 构建了对准图像与对准误差之间物像关系数学模型, 研究了对准图像处理算法. 经原理性验证实验表明, 本文所提辅助光路对准方法和对准图像处理算法可行, 对准精度可达到0.05 μm. 研究成果有利于提高点衍射干涉仪的对准效率和精度, 可为实用点衍射干涉仪开发奠定一定的技术基础.
								
								
							 
										编辑推荐
										2025, 74 (7): 074301.
										doi: 10.7498/aps.74.20241747
											
										
								摘要 + 
								
									采用超声悬浮无容器处理技术, 并结合高速摄影实时分析方法, 研究了丁二腈-樟脑(SCN-DC)共晶型合金在不同声场条件下的液态过冷能力及其结晶过程. 实验发现, SCN-10%DC亚共晶、SCN-23.6%DC共晶和SCN-40%DC过共晶合金熔体获得的最大过冷度分别达22.5 K (0.07TL), 16 K (0.05TE)和32.5 K (0.1TL), 相应的晶体生长速度各为27.91, 0.21和0.45 mm/s. 随着声压的增强, 合金液滴的径厚比逐渐增大. 其过冷度随径厚比的增大先升高后逐渐降低, 最后基本保持不变. 强声场引起的表面形核率增加以及合金液滴振动是阻碍深过冷的主要因素.
								
								
							 
										编辑推荐
										2025, 74 (7): 074401.
										doi: 10.7498/aps.74.20241731
											
										
								摘要 + 
								
									为满足航天器热管理材料对高导热和高储/释热性能的双重需求, 本文采用热压成型工艺制备了一种多维碳基导热增强微胶囊相变复合材料, 以解决传统相变材料热导率低和液态泄漏的问题. 基于实验测试和有限元数值模拟, 系统研究了不同组分的含量与配比对相变复合材料热性能的影响机理, 揭示了材料内部多维导热网络的形成机制. 结果表明, 采用多维导热材料协同掺杂与多尺度鳞片石墨复合填充策略, 构建了兼具连通性和致密性的多维碳基导热网络, 其产生的协同导热增强效应显著提升了微胶囊相变复合材料的热导率(1.021 W/(m·K)), 同时保持了高储热性能(81.540 J/g), 为航天器热管理材料的设计和应用提供了支撑.
								
								
							 
										
										2025, 74 (7): 074701.
										doi: 10.7498/aps.74.20241689
											
										
								摘要 + 
								
									对流动现象进行精确预测与有效控制的前提在于对流动现象的深入理解, 而实验研究在此过程中提供了宝贵的数据支撑. 粒子图像测速(PIV)技术作为当前流场测量的主流手段之一, 在钝体绕流等复杂流动现象的实验研究中发挥着不可或缺的作用. 然而, 在PIV实验中, 由于光路遮挡等问题的存在, 获取完整且准确的流场数据往往极具挑战性. 鉴于此, 提出了一种基于机器学习的流场数据重构方法, 该方法采用以卷积神经网络为核心的深度学习模型, 旨在解决流场数据中缺失部分的重构问题. 首先探讨了不同缺失区域对数值计算流场重构效果的影响, 并从瞬时流场、速度统计量等多个维度, 对重构流场与真实值之间的差异进行了细致的比较分析. 结果显示, 对于瞬时流场的重构, 最大$ L_2 $误差维持在约0.02的水平. 进一步发现, 当缺失区域在流向方向上的尺寸增大时, 重构的难度也随之显著增加; 而相比之下, 缺失区域在垂直于流向方向上的尺寸变化, 对重构精度的影响则相对有限. 在此基础上, 进一步研究了深度神经网络对噪声的泛化性, 通过在数值计算结果中人为添加噪声来测试网络, 发现重构数据的误差随着噪声等级的提升呈指数型增长趋势. 最终, 将提出的网络模型应用于实际的PIV实验数据中, 从瞬时流场和时间平均结果两个方面进行了验证. 结果表明, 该网络模型不仅能够成功重构缺失位置的速度信息, 还能有效修正回流区部分因测量不准确而产生的数据偏差. 经过神经网络重构的实验结果, 在统计意义上更加接近数值仿真的结果, 这充分说明, 本文提出的模型仅需使用数值计算数据进行训练, 便可以具备重构PIV实验中缺失信息的能力.
								
								
							气体、等离子体和放电物理
 
										
										2025, 74 (7): 075201.
										doi: 10.7498/aps.74.20241680
											
										
								摘要 + 
								
									近年来, 聚偏氟乙烯(PVDF)基纳米纤维膜由于其优异的压电性能, 成为了传感器、能量采集器等应用中的重要材料. 然而, PVDF膜的压电性能仍受限于其本身的结构和材料特性, 因此, 本文研究了填料掺杂驻极体纳米颗粒(EtP)对PVDF纳米纤维膜性能的影响. 实验采用静电纺丝技术, 将不同浓度的填料掺杂到PVDF纳米纤维膜中, 发现适量的填料掺杂可以显著提高膜的压电性能. 此外, 填料的加入提高了PVDF纳米纤维膜电输出性能的稳定性. 实验结果表明, 在PVDF溶液中添加不同质量分数的填料, 例如质量分数为1%, 1.5%和2%的驻极体颗粒, 并通过静电纺丝制备纳米复合纳米纤维膜, 可以显著提高其在20 N测试压力下的电输出性能. 此外, 增加膜面积和施加的压力可以进一步提高它们的电输出性能. 本文还提出了一种高效的信号处理方法, 通过FIR数字低通滤波去除高频噪声、平滑先验法消除基线漂移, 并改进AMPD算法精确检测压电信号中的主波峰位置与特性, 从而提高信号的稳定性与特征提取准确性. 结合本文实验, 填料掺杂和静电纺丝技术的结合为提高PVDF纳米纤维膜的性能提供了一种简单有效的方法, 为其在各个领域的应用提供了新的可能性和广阔的前景.
								
								
							 
										编辑推荐
										2025, 74 (7): 075202.
										doi: 10.7498/aps.74.20241740
											
										
								摘要 + 
								
									利用费曼棘轮原理可以实现将非平衡环境中粒子的随机运动整流成定向运动. 本文通过设计尘埃等离子体金属直棘轮实验装置, 构建沿棘轮通道分布的不对称等离子体环境, 实现了对微米级尘埃颗粒的可控性整流. 单分散尘埃颗粒在棘轮通道中能够形成定向输运, 其输运方向可通过调节放电功率与气压来精确调控. 通过对不同尺寸的尘埃颗粒输运研究发现, 这种整流效应具有普适性. 为了揭示尘埃颗粒的整流机制, 利用等离子体流体模型计算得到了棘轮通道中等离子体参量的二维分布, 进一步通过Langevin模拟研究发现, 尘埃颗粒在棘轮通道中不同的悬浮高度上受到的棘轮势的不对称取向不同, 使得其输运方向不同. 本文研究结果为进一步实现尘埃等离子体金属直棘轮中双分散颗粒分离奠定了理论与实验基础.
								
								
							凝聚物质:结构、力学和热学性质
 
										
										2025, 74 (7): 076101.
										doi: 10.7498/aps.74.20241794
											
										
								摘要 + 
								
									光取向液晶技术是利用偏振光照射来实现液晶分子的定向排列, 该技术可以研制成偏振体全息光栅, 具有偏振和体全息选择特性, 且作为光耦合元件在光学波导及扩瞳输出方面有广泛应用前景. 本文报道了一种采用光控取向技术与偏振离轴全息光路相结合的方法, 制备了光斑直径为2 cm的液晶偏振体全息柱透镜. 实验过程中可通过控制曝光角度来获得所需光栅周期变化范围, 实现红绿蓝RGB三色光入射不同光栅周期下的衍射角角度相同. 结果表明, 在1721.2—5346.5 nm的光栅周期变化范围内, 当RGB三色光分别入射至光栅周期为3147, 2649.1, 2275.6 nm位置上时, 所测得的衍射角度均为11.59°, 实际衍射角度与理论衍射角度的误差不超过±0.5°; 在532 nm右旋圆偏光下, 正入射的衍射效率达90.6%, 满足布拉格条件的斜入射衍射效率为84.4%; 此外, 通过实现光斑的一维扩束, 初步验证了PVLS在彩色波导领域应用的可行性.
								
								
							 
										
										2025, 74 (7): 076102.
										doi: 10.7498/aps.74.20241720
											
										
								摘要 + 
								
									扫描隧道显微镜(scanning tunneling microscope, STM)针尖与衬底形成的等离激元腔系统因其可以突破衍射极限将电磁场增强上百倍并局域在纳米甚至亚纳米尺度而备受关注. 扫描隧道显微镜针尖与衬底形成的等离激元腔系统可以作为研究超快尺度下超辐射现象的先进平台. 本文应用宏观量子电动力学与开放量子系统理论, 探讨了不同几何构形的亚甲基蓝分子团簇在特定扫描隧道显微镜纳米腔和皮米腔下的辐射动力学. 在扫描隧道显微镜纳米腔中, 允许在多种分子团簇构形和激发波长下实现超辐射. 而扫描隧道显微镜皮米腔对产生超辐射的分子团簇构形较为严格, 具有较高排列对称性的分子团簇更容易产生超辐射现象, 且对激发波长的变化更加敏感. 此外, 相对于扫描隧道显微镜皮米腔, 在扫描隧道显微镜纳米腔中观察到的超辐射强度较低, 持续时间较长. 这些结果表明, 合理设计腔结构及分子团簇的几何构形可以有效调控超辐射现象的发生和增强, 为未来在光学和纳米技术领域的实际应用提供了新思路和方法.
								
								
							 
										编辑推荐
										2025, 74 (7): 076103.
										doi: 10.7498/aps.74.20241481
											
										
								摘要 + 
								
									高熵合金中的缓慢扩散效应与严重的晶格畸变效应理论上会阻碍辐照诱导的点缺陷的移动, 从而抑制尺寸较大的缺陷团簇的形成, 这使得该类合金在核材料领域中受到越来越多的关注. 本文以FeCoCrNiAl0.3高熵合金为研究对象, 利用1.25 MV的超高压电子显微镜, 对高能电子辐照过程中的缺陷与析出相随辐照温度和时间的形成与演化行为进行原位观察及系统性研究. 根据3种高温辐照温度下的饱和缺陷密度与缺陷生长率的统计数据, 获得FeCoCrNiAl0.3高熵合金的间隙原子迁移能与空位迁移能两个本征参数, 讨论该合金较高的缺陷迁移能与合金中各元素的离位阈能以及原子尺寸错配的关系. 同时, 系统表征了723 K高能电子辐照下位错环的形态与分布规律, 发现全位错环与不全位错环可同时产生, 且两者在生长过程中不存在系统性的差异.
								
								
							 
										
										2025, 74 (7): 076801.
										doi: 10.7498/aps.74.20241676
											
										
								摘要 + 
								
									柔性压电纳米材料可以将机械能转换为电能为微纳电子设备供电. 近年来, 随着对压电技术的研究, 二硫化钼(MoS2)已被报道用于增强复合材料的压电性能. 本文采用静电纺丝法制备了聚丙烯腈/MoS2 (PAN/MoS2)柔性复合纳米纤维膜压电传感器, 系统地研究了MoS2纳米片的含量对PAN/MoS2复合纤维膜压电性能的影响. 结果表明, 当MoS2掺杂质量含量为3.0%时, PAN/MoS2复合纤维膜传感器的开路输出电压达到最大值为4.64 V, 短路输出电流为2.69 μA, 输出功率达到3.46 μW, 比纯PAN制备的传感器的电压电流分别提高了140%与160%. 与纯PAN相比, PAN/MoS2复合纤维膜的压电常数d33提高了4.86倍. 本文制备的PAN/MoS2柔性复合纤维膜传感器可以为商用电容充电, 电容放电可成功点亮绿色LED, 并在无源条件下实时监测自行车轮胎运行状况. PAN/MoS2柔性复合纤维膜传感器在经过10000次循环敲击测试电压输出无明显波动, 稳定性良好. PAN/MoS2柔性复合纳米纤维膜传感器具有柔性好、成本低和自供电等特点, 有望在可穿戴/便携式电子设备、智能机器人、智能设备等领域具有广阔的应用前景.
								
								
							凝聚物质:电子结构、电学、磁学和光学性质
 
										
										2025, 74 (7): 077101.
										doi: 10.7498/aps.74.20241434
											
										
								摘要 + 
								
									基于第一性原理研究了S, Se单掺杂以及共掺杂Si的光电特性, 对掺杂前后晶体的几何结构、稳定性、能带结构和电子态密度以及光学性质进行比较分析. 计算结果表明, S掺杂Si与Se掺杂Si的光电特性极其相似, 其禁带中均出现一条新的杂质能级, 主要由S的3s态与Se的4s态电子形成, 杂质能级的形成促进低能光子的吸收, 增大了掺杂Si材料在近红外波段的光吸收率; 与单晶硅相比, S掺杂Si与Se掺杂Si的光吸收谱, 在0.6 eV处出现了一个新的峰值, 该峰值正是由电子从杂质能级向导带跃迁产生. S, Se共掺杂Si在工作温度下表现出良好的稳定性; 价带与导带之间出现两条杂质能级, 分别由S的3s态与Se的4s态电子形成; S, Se共掺杂Si的光吸收率在低能区较单掺杂Si有较大提升, 新增吸收峰出现在0.65 eV处, 形成原因与单掺杂相似. 然而, 由于两条杂质能带间的间接跃迁过程, 共掺杂Si在低能区的吸收峰更大. 且与相同浓度的单掺杂Si相比, S, Se共掺杂Si的光吸收率在0.81—1.06 eV范围内明显提高.
								
								
							 
										
										2025, 74 (7): 077102.
										doi: 10.7498/aps.74.20241665
											
										
								摘要 + 
								
									三元层状氮化物因其独特的电学、光学和光电性质而受到广泛关注, 有希望用于制造低成本、高效率的光电材料、太阳能电池材料和光催化剂. 三元层状氮化物BaZrN2和BaHfN2已经被固态实验合成, 但其光学性质和电输运性质尚未被系统地研究. 本文采用基于密度泛函理论的第一性原理计算系统地研究了BaMN2(M = Ti, Zr, Hf)氮化物的力学、电子、光吸收、载流子传输和介电响应性质. 由于BaMN2氮化物由准二维[MN2]2–板层排列组成独特的层状晶体结构, 且板层内的电子云重叠较多形成强共价键, 板层之间的成键作用较弱, 使得其物理性质表现出显著的各向异性. 首先, BaMN2的体模量、剪切模量、杨氏模量和泊松比等力学性质表现出各向异性, 具有较低的模量、较高的泊松比和Pugh模量比, 表明其具有良好的塑性. 此外, BaMN2具有处于可见光能量范围内的间接带隙值(1.75—2.25 eV), 适宜用于太阳能电池吸收层, 且带边位置满足水分解光催化剂的要求. 由于其载流子在不同方向上的有效质量存在巨大差异, 使得它们还具有超高各向异性的载流子迁移率(103 cm2/(s·V)数量级)和较低的激子结合能. 同时, 沿平面内方向和面外方向的原子排列和成键作用存在显著差异, 导致在低能量区域沿平面内具有非常强的光吸收能力和较高的各向异性可见光吸收系数(105 cm–1数量级); 而在较高的能量区域中, 电子从占据态到非占据态的跃迁概率增大, 导致对光的吸收情况变得更复杂, 各向异性相对减弱. 此外, 特殊的层状结构沿垂直于板层的方向具有较低极化率和较高振动频率, 使得BaMN2有较高的介电常数. 这些优异的各向异性的力学、光电和输运性质使得BaMN2层状氮化物可以作为光电子、光伏和光催化领域有前景的半导体材料.
								
								
							 
										
										2025, 74 (7): 077201.
										doi: 10.7498/aps.74.20250009
											
										
								摘要 + 
								
									新一代检测装备对高灵敏检测器提出了迫切需求. 纵观半导体检测器件的发展现状, 目前传统硅基检测器灵敏度及沟道尺寸已不满足未来所需, 金刚石烯具有高载流子迁移率、宽带隙等优异性能, 其优异的电子特性有望有效提升检测器的灵敏度性能, 为下一代检测器发展提供新途径. 但基于金刚石烯的检测机理还尚不明晰. 基于上述问题, 本文通过建立晶体管电流沟道理论模型, 分析了检测器工作状态下电子流动机制, 进一步结合沟道材料电子特性, 建立一种基于沟道材料电子流动的晶体管电流理论模型, 并开展金刚石烯基晶体管检测器的机理仿真验证、电子特性分析研究, 证明了碳基二维材料——金刚石烯在超敏电子检测中的潜力, 为新一代高性能检测器的研制提供技术基础.
								
								
							物理学交叉学科及有关科学技术领域
 
										
										2025, 74 (7): 078101.
										doi: 10.7498/aps.74.20241757
											
										
								摘要 + 
								
									利用分子动力学对纯V和TiVTa等比合金中的刃位错运动以及刃位错与位错环之间的相互作用开展模拟研究. 结果表明, 纯V中控制刃位错运动的是声子拖拽机制; 而在TiVTa合金中, 由于存在显著的晶格畸变和局部化学波动, 声子拖拽机制和纳米段脱陷机制同时控制刃位错运动. 在纯V和TiVTa合金中加入不同尺寸的间隙$ \left\langle {100} \right\rangle $环和$ \left\langle {111} \right\rangle $环, 发现位错与环之间存在两种相互作用机制: 对于小尺寸位错环, 位错倾向于吸收位错环后继续运动; 对于大尺寸位错环, 位错倾向于切过位错环后继续运动. 位错环对位错的阻碍作用随着位错环尺寸的增加而增加、随着温度的升高而降低. $ \left\langle {111} \right\rangle $环由于极强的移动性, 对位错运动产生的阻碍作用低于$ \left\langle {100} \right\rangle $环, 而这种差异在TiVTa合金中降低, 因为TiVTa合金中显著的晶格畸变降低了$ \left\langle {111} \right\rangle $环的移动性.
								
								
							 
										
										2025, 74 (7): 078501.
										doi: 10.7498/aps.74.20241706
											
										
								摘要 + 
								
									β相氧化镓(β-Ga2O3)因具有超宽禁带特性、卓越的机械性能和潜在的成本优势, 在高功率、高频率及光电微纳机电器件领域展现出极佳的应用前景. 本文详细探讨了双端固支结构与圆形鼓面结构的β-Ga2O3纳米机电谐振器的能量耗散机制及如何通过设计优化提高其品质因数(Q值). 首先通过理论分析和COMSOL软件仿真, 深入探讨了Akhiezer效应、热弹性阻尼、支撑阻尼和表面阻尼等能量耗散过程, 并制备了器件, 采用激光干涉法对β-Ga2O3纳米机电谐振器进行实验验证. 结果表明, 表面阻尼与支撑阻尼是当前限制β-Ga2O3纳米机电谐振器Q值的主要因素, 而Akhiezer效应和热弹性阻尼则决定了Q值的上限. 本研究不仅阐明了Ga2O3微纳机电谐振器能量耗散的复杂机制, 也为其带宽调控提供了有价值的指导.
								
								
							 
										
										2025, 74 (7): 078901.
										doi: 10.7498/aps.74.20241739
											
										
								摘要 + 
								
									对于旨在实现高参数和长脉冲运行的磁约束聚变装置而言, 基于离子温度实时测量的等离子体反馈控制至关重要, 而电荷交换复合光谱是等离子体离子温度的基本测量手段. 本文提出了一种基于神经网络的电荷交换复合光谱诊断数据快速分析方法, 并对其跨参数区间的外推能力进行研究. 该研究使用中国环流器二号A装置HL-2A的12.2×104个光谱数据及离线解谱获得的离子温度标签值构成数据集. 模型基于卷积神经网络, 相对于标签值实现了拟合优度$ {R}^{2}\sim 0.92 $的效果, 在推理阶段单光谱耗时小于1 ms, 相比传统方法加速了100—1000倍. 在外推能力方面, 提出基于低温度实验数据生成高温度的合成光谱数据的方法, 并通过在只包含离子温度2 keV以下的训练集中添加大约5%的合成数据, 大幅增加了模型在外推参数区间(2—4 keV)分析的准确性, 将模型在3—4 keV区间测试的误差降低了约60%. 该研究证明了在磁约束核聚变领域利用合成数据提升人工智能算法性能的可行性.
								
								
							更正
 
										

 
					 
		         
	         
  
 
 
								