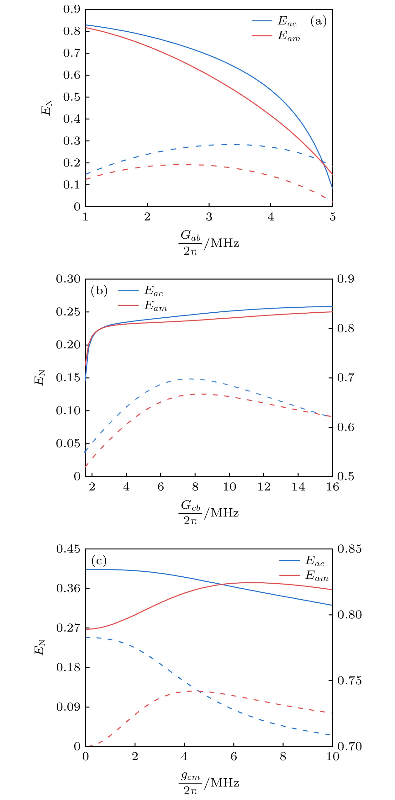
Optomicrowave entanglement and optomagnonic entanglement have significant applications in constructing hybrid quantum network and optical controlling magnons. In this paper, a theoretical scheme of enhancing optomicrowave and optomagnonic entanglements is proposed, based on a coherent-feedback-assisted optomagnomechanical (OMM) system. By inserting a thin membrane between the input-output mirror and the high-reflective-mirror-attached YIG bridge, the system consists of four kinds of modes: optical mode, microwave mode, mechanical mode, and magnon mode. In this system, optical mode and microwave mode interact with each other through the mechanical mode, while the magnon mode couples with the microwave mode through magnetic-dipole interaction. The entanglement is originally generated between optical mode and phonon mode under the two-mode squeezing mechanism (blue-detuned driven), then the generated entanglement is transferred to the optical mode and microwave mode through the state transfer mechanism (red-detuned driven) between the microwave mode and phonon mode and is further transferred to the optical mode and magnon mode by the magnetic-dipole interaction between the microwave mode and magnon mode. Adopting the negative logarithm criterion, the variations of the optomicrowave and optomagnonic entanglements with detuning, coupling strength, and decay rate are thoroughly investigated. Furthermore, the optimal coherent feedback parameters and the physical mechanisms of generating and transferring entanglement are analyzed, and the entanglement enhancements by adding the feedback loop are discussed. The results show that after adding coherent feedback, optomicrowave entanglement and optomagnonic entanglement can be enhanced effectively within a wide range of parameters and the enhancement can also be well maintained. Our findings provide a theoretical basis for connecting different nodes (different physical systems) to construct hybrid quantum networks, flexibly controlling the quantum properties of magnons, and preparing macroscopic quantum states.