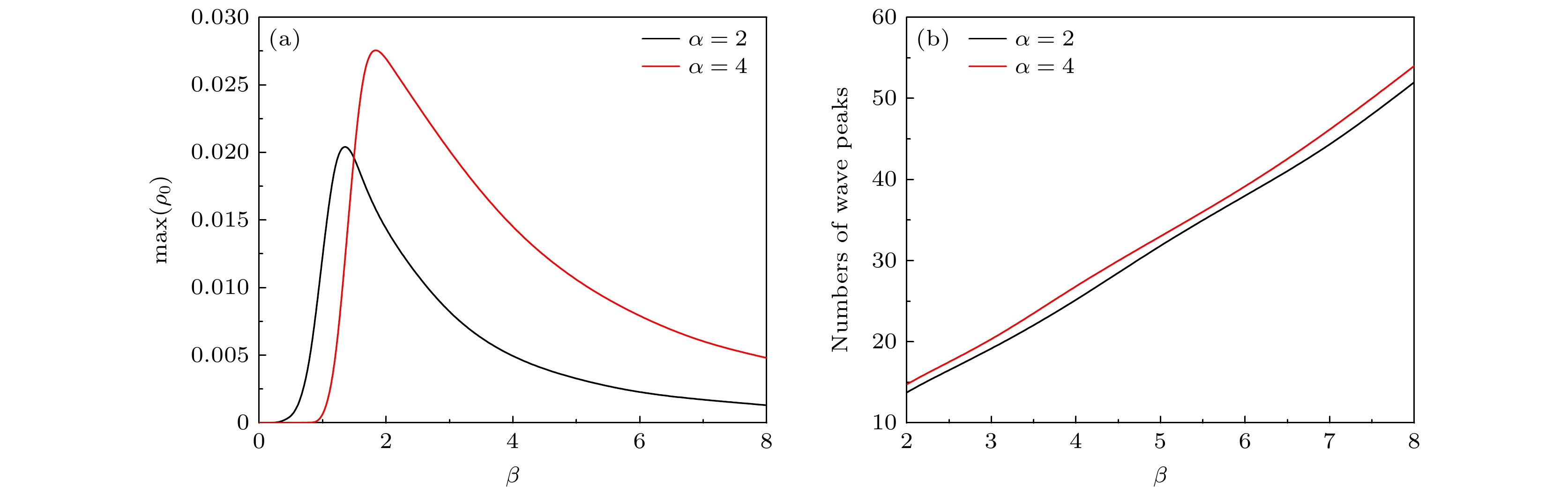
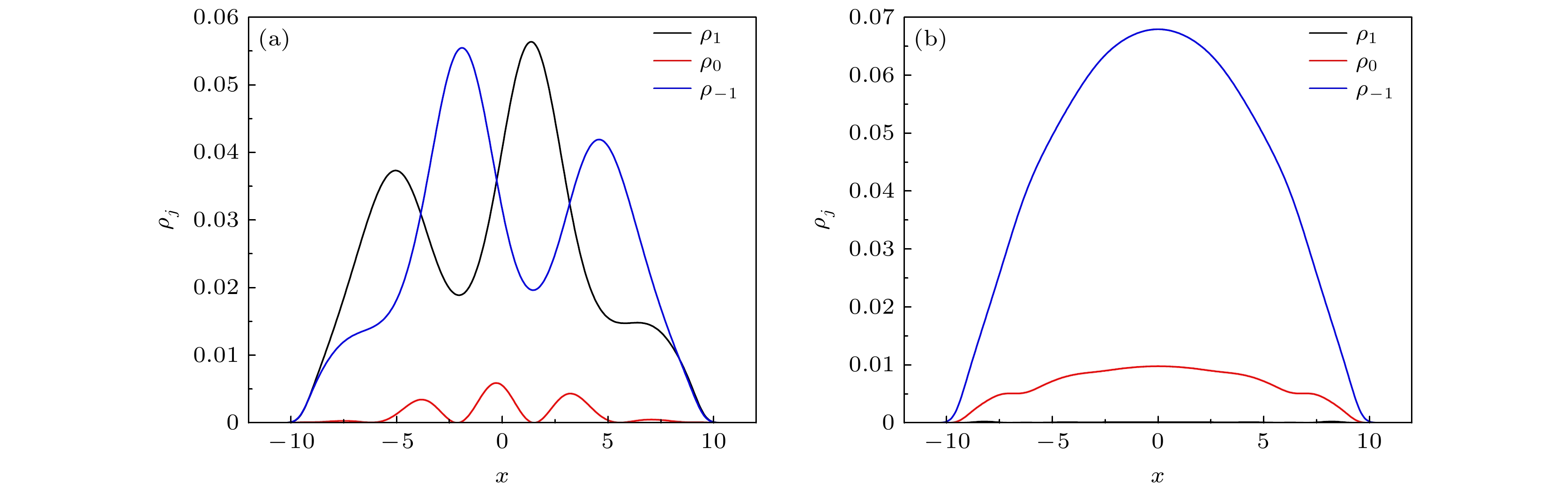
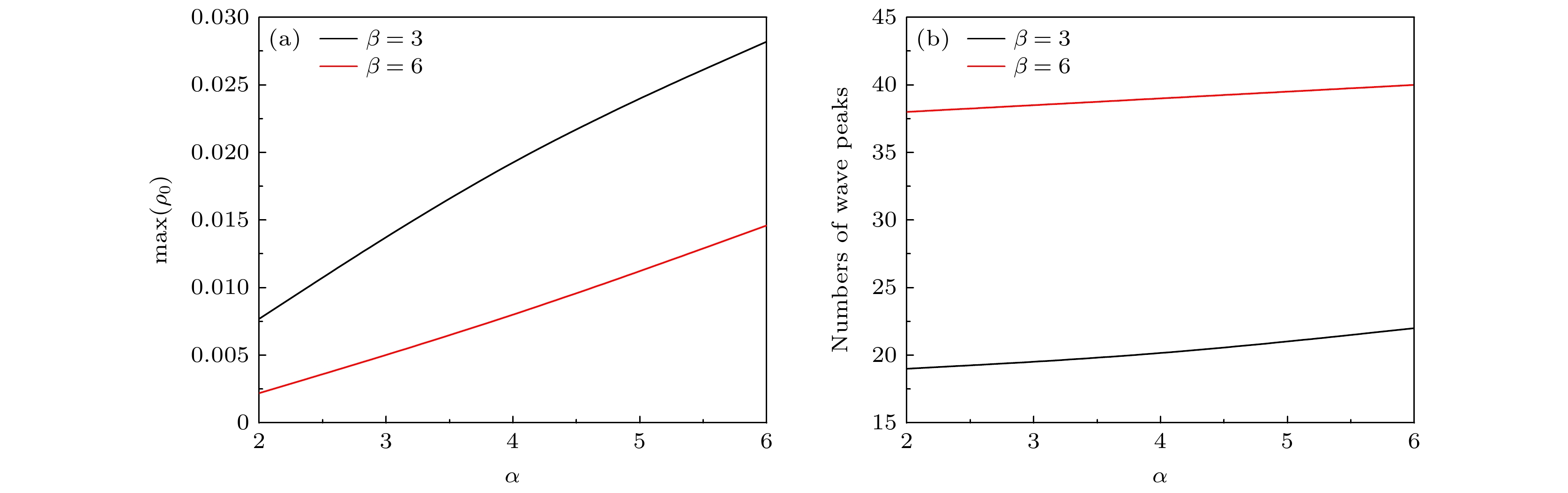
The spinor Bose-Einstein condensate (BEC) provides an ideal platform for observing and manipulating topological structures, which arise from the spin degrees of freedom and the superfluid nature of the gas. Artificial helicoidal spin-orbit coupling (SOC) in the spinor BEC, owing to the spatially varying gauge potential and the more flexible adjustability, provides possibly an unprecedented opportunity to search for novel quantum states. The previous studies of the BEC with helicoidal SOC mainly focus on the two-component case. However, there are few reports on the studies of helicoidal SOC in three-component BEC. Especially considering one-dimensional three-component BEC, whether the helicoidal SOC can generate previously unknown types of topological excitations and phase diagrams is still an unsolved problem. In this work, by solving quasi one-dimensional Gross-Pitaevskii equations, we study the ground state structure of one-dimensional helicoidal spin-orbit coupled three-component BEC. The numerical results show that the helicoidal SOC can induce a phase separation among the components in ferromagnetic BEC. Through numerical calculations of the system, a phase diagram is obtained as a function of the helicoidal SOC strength and gauge potential, which shows the critical conditions for phase separation and phase miscibility in ferromagnetic BEC. Meanwhile, we also study the influences of the helicoidal SOC and the gauge potential on the antiferromagnetic BEC ground state. The numerical results show that the helicoidal SOC is beneficial for the miscibility in antiferromagnetic BEC. When the helicoidal SOC strength or gauge potential increases, the ground state of antiferromagnetic BEC exhibits a stripe soliton structure. Adjusting the strength of helicoidal SOC or gauge potential can control the transitions between a plane-wave soliton and a stripe soliton. In addition, we show the changes of the particle number density maximum and the number of peaks of stripe solitons for adjusting the helicoidal SOC strength or gauge potential. Our results show that helicoidal spin-orbit coupled BEC not only provides a controlled platform for investigating the exotic topological structures, but also is crucial for the transitions between different ground states. This work paves the way for exploring the topological defect and the corresponding dynamical stability in quantum systems subjected to the helicoidal SOC in future.