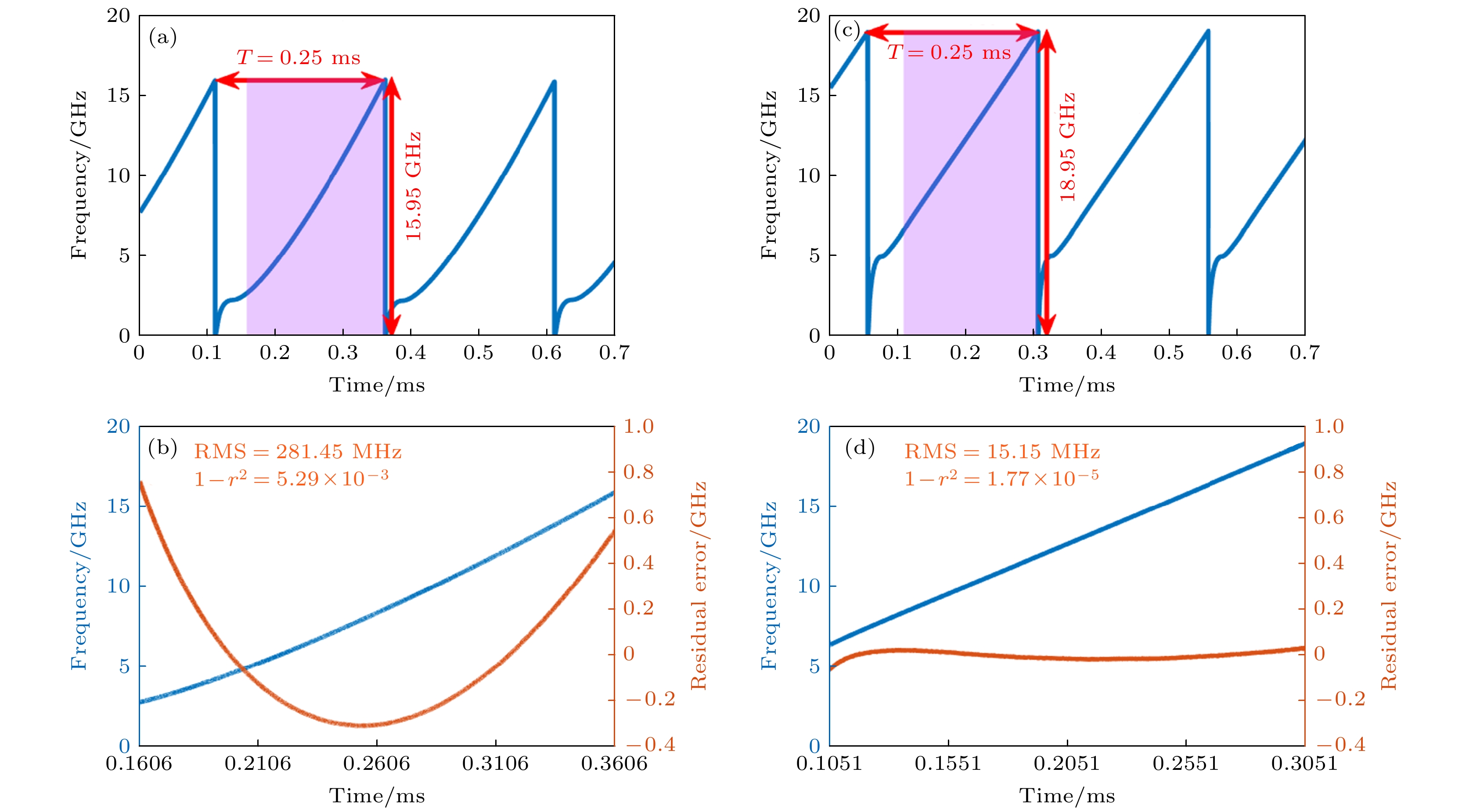
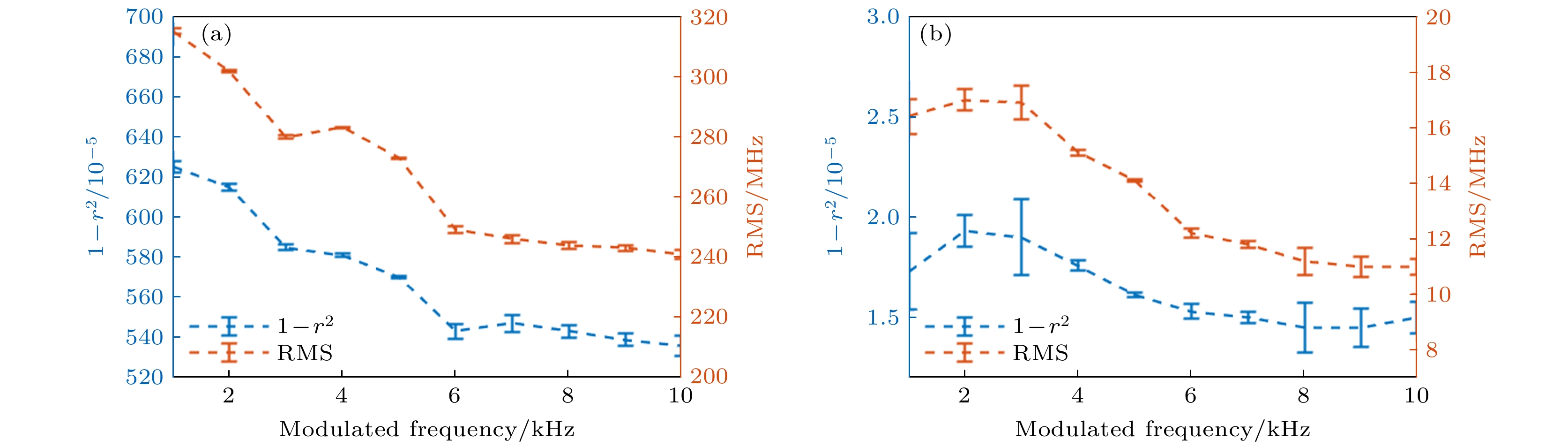
To address the frequency sweeping nonlinearity of frequency-modulated continuous-wave signals generated by a current-modulated distributed feedback laser diode, we propose and experimentally demonstrate a pre-distortion method based on a feedforward neural network. For this method, the beat frequency signals of the distributed feedback laser diode under a sawtooth-waveform current modulation are first experimentally obtained, and then the time-frequency curves of the distributed feedback laser diode output are obtained by performing a Hilbert transform on the beat signals. Subsequently, three-layer feedforward neural networks with 10, 5, and 3 hidden-layer neurons are constructed, respectively. By taking the driving current and the time-frequency curves as the input and output of the feedforward neural network, respectively, the nonlinear mapping relationship between them is established. Finally, a backpropagation algorithm is utilized to obtain the pre-distortion modulation current. Taking this current under the modulation frequency from 1 kHz to 10 kHz to drive the distributed feedback semiconductor laser (DFB-LD), the performance of the generated frequency-modulated continuous-wave (FMCW) signals is analyzed. We use nonlinear regression coefficients and residual root mean square values to characterize the performance. For the modulation frequency set at 4 kHz, the frequency sweeping nonlinearity and the residual root mean square value are reduced from 5.29×10–3 and 281 MHz to 1.77×10–5 and 15.15 MHz, respectively. With the modulation frequency fixed at 6 kHz, the frequency sweeping nonlinearity decreases from 5.58×10–3 to 1.52×10–5 and the residual root mean square declines from 251.98 MHz to 12.17 MHz in the proposed scheme. Across the entire tested frequency range from 1 kHz to 10 kHz, the nonlinearity remains stable at ~10–5 after adopting the pre-distortion scheme, with RMS values consistently below 20 MHz. The proposed method is expected to provide a new scheme for the linearization technology of the sweep signal in high-precision frequency-modulated continuous-wave light detection and ranging systems.