搜索

x

留言板

姓名
邮箱
手机号码
标题
留言内容
验证码

引用本文:
Citation:

舒海燕, 夏姝颖, 张兴文, 何朝滔, 李世昌, 邱晓燕, 陈鹏
cstr: 32037.14.aps.74.20251004

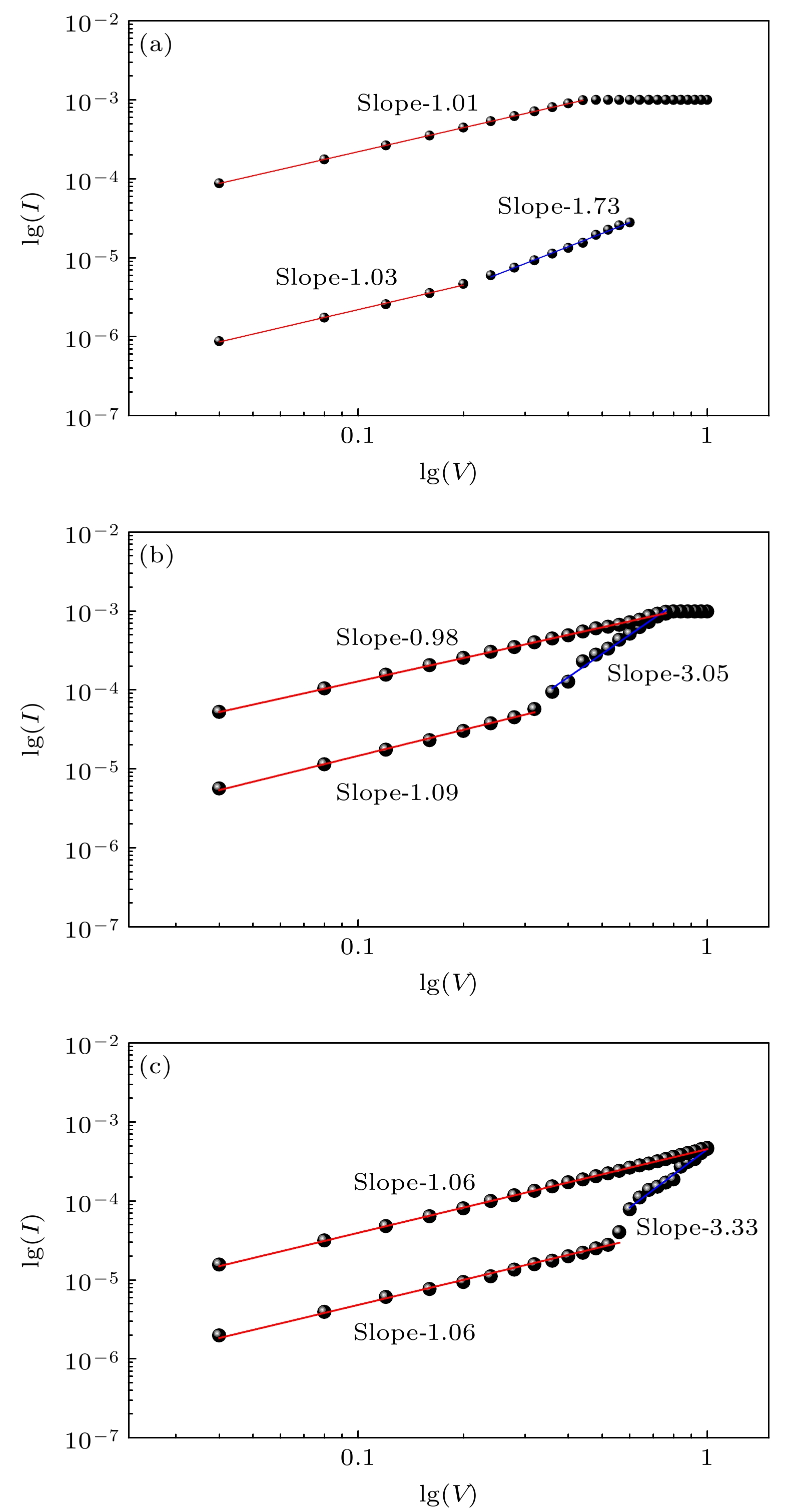
Resistive switching and negative differential resistance effects in Ag/BiFeO3/Fe2O3/ITO structures with various thicknesses of Fe2O3 layer

SHU Haiyan, XIA Shuying, ZHANG Xingwen, HE Chaotao, LI Shichang, QIU Xiaoyan, CHEN Peng
cstr: 32037.14.aps.74.20251004
Article Text (iFLYTEK Translation)
PDF
HTML
导出引用
在线预览
计量
  • 文章访问数:  724
  • PDF下载量:  18
  • 被引次数: 0
出版历程
  • 收稿日期:  2025-07-27
  • 修回日期:  2025-09-16
  • 上网日期:  2025-10-10
  • 刊出日期:  2025-12-20

返回文章
返回
Baidu
map