搜索

x

留言板

姓名
邮箱
手机号码
标题
留言内容
验证码

引用本文:
Citation:

尹开慧, 朱洪强, 徐凤霞, 吴泽邦, 高田军, 杨英, 冯庆, 岳远霞, 贾伟尧
cstr: 32037.14.aps.74.20251196

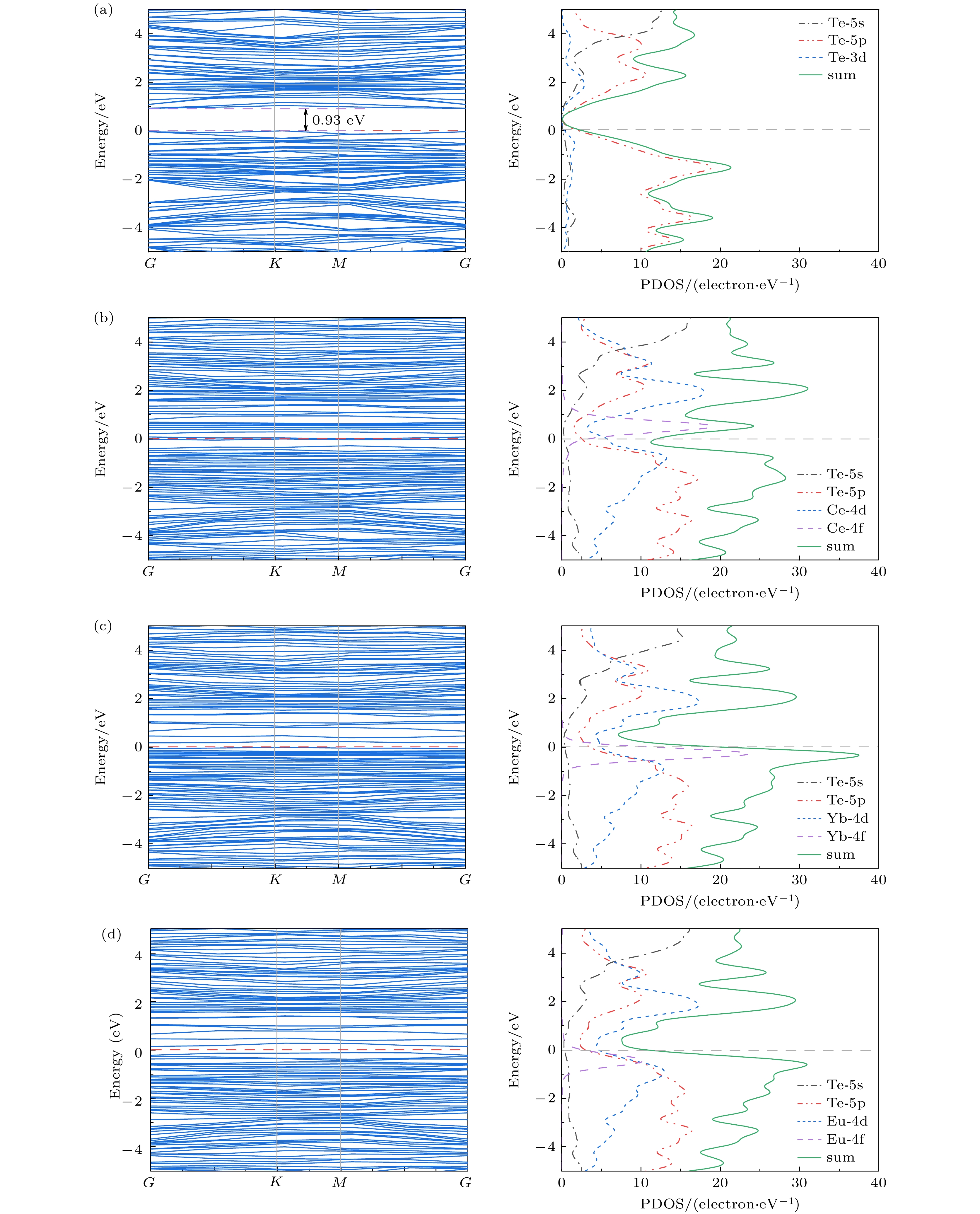
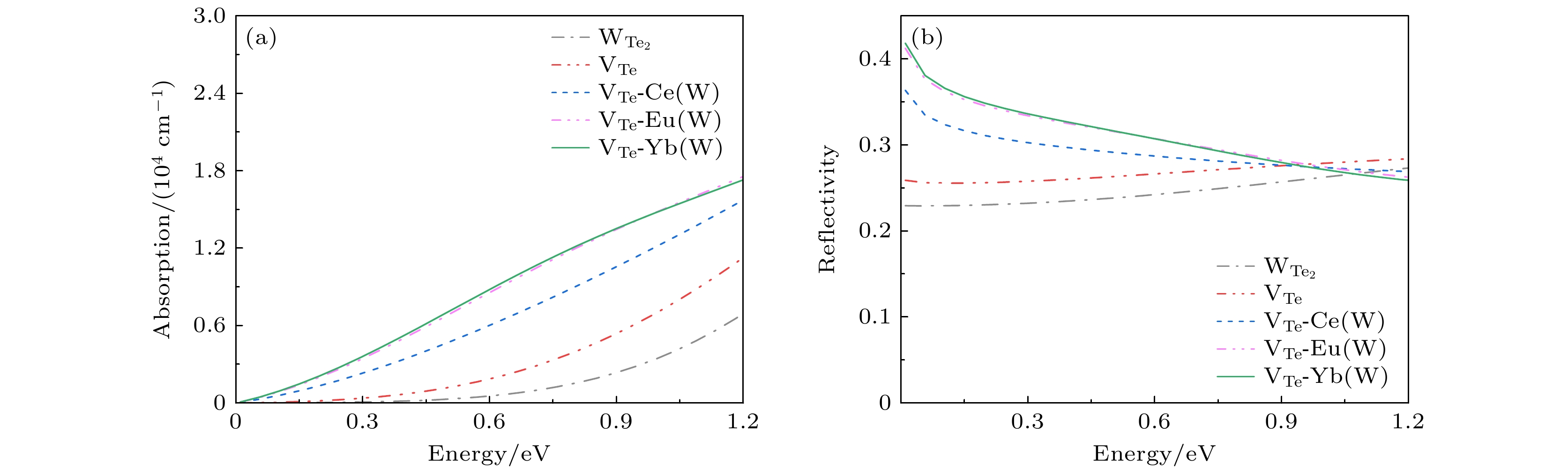
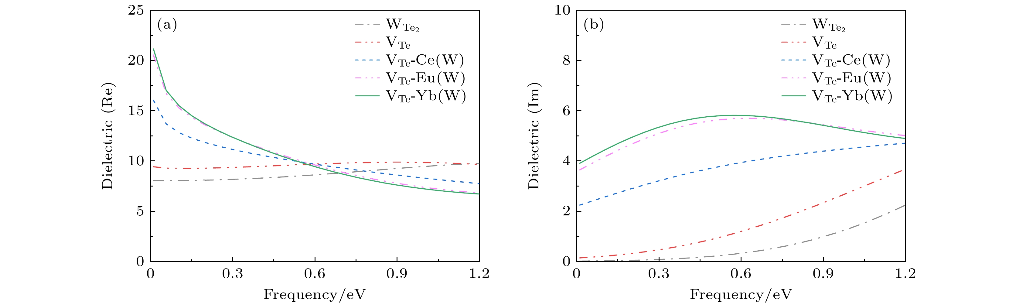
First-principles study on optical properties of rare-earth doped monolayer WTe2 with single tellurium vacancies

YIN Kaihui, ZHU Hongqiang, XU Fengxia, WU Zebang, GAO Tianjun, YANG Ying, FENG Qing, YUE Yuanxia, JIA Weiyao
cstr: 32037.14.aps.74.20251196
Article Text (iFLYTEK Translation)
PDF
HTML
导出引用
在线预览
计量
  • 文章访问数:  734
  • PDF下载量:  30
  • 被引次数: 0
出版历程
  • 收稿日期:  2025-09-02
  • 修回日期:  2025-10-01
  • 上网日期:  2025-10-14
  • 刊出日期:  2025-11-20

返回文章
返回
Baidu
map