搜索

x

留言板

姓名
邮箱
手机号码
标题
留言内容
验证码

引用本文:
Citation:

张煜, 朱亚衍, 祁月盈, 屈一至, 于皖东
cstr: 32037.14.aps.74.20251230

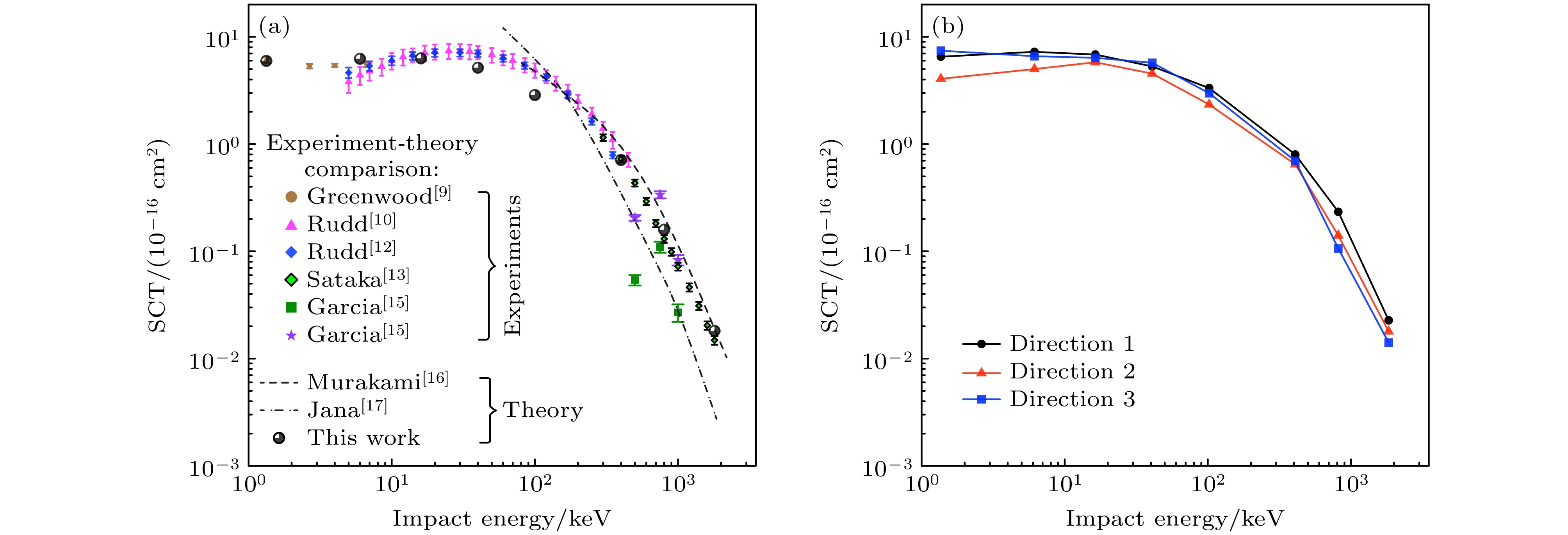
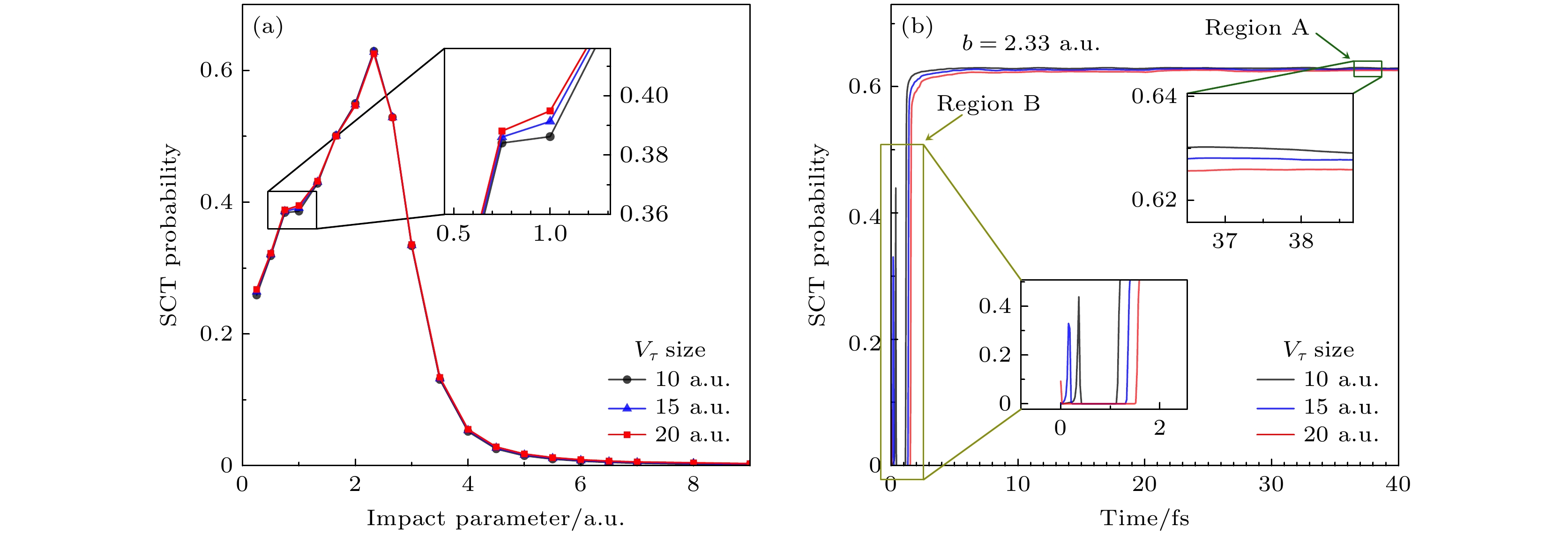
Single charge transfer cross sections of He+-H2O collisions

ZHANG Yu, ZHU Yayan, QI Yueying, QU Yizhi, YU Wandong
cstr: 32037.14.aps.74.20251230
Article Text (iFLYTEK Translation)
PDF
HTML
导出引用
在线预览
计量
  • 文章访问数:  1011
  • PDF下载量:  40
  • 被引次数: 0
出版历程
  • 收稿日期:  2025-09-08
  • 修回日期:  2025-09-25
  • 上网日期:  2025-10-14
  • 刊出日期:  2025-12-20

返回文章
返回
Baidu
map