2025 Vol. 74, No. 6
column
- GENERAL
- NUCLEAR PHYSICS
- ATOMIC AND MOLECULAR PHYSICS
- ELECTROMAGNETISM, OPTICS, ACOUSTICS, HEAT TRANSFER, CLASSICAL MECHANICS, AND FLUID DYNAMICS
- PHYSICS OF GASES, PLASMAS, AND ELECTRIC DISCHARGES
- CONDENSED MATTER: STRUCTURAL, MECHANICAL, AND THERMAL PROPERTIES
- CONDENSED MATTER: ELECTRONIC STRUCTURE, ELECTRICAL, MAGNETIC, AND OPTICAL PROPERTIES
- COVER ARTICLE
- GEOPHYSICS, ASTRONOMY, AND ASTROPHYSICS
Display Method:
2025, 74(6): 060201.
doi: 10.7498/aps.74.20241473
Abstract:
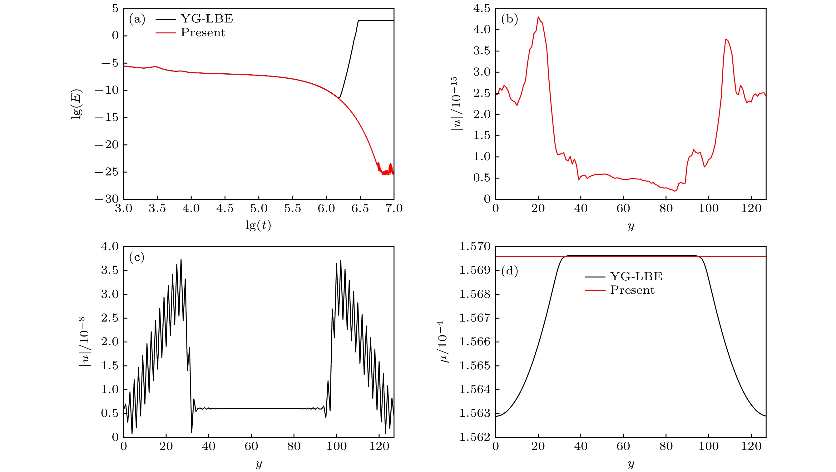
Nonlinear Schrödinger equation (NLSE) has important applications in quantum mechanics, nonlinear optics, plasma physics, condensed matter physics, optical fiber communication and laser system design, and its accurate solution is very important for understanding complex physical phenomena. Here, the traditional finite difference method (FDM), the split-step Fourier (SSF) method and the physics-informed neural network (PINN) method are studied, aiming to analyze in depth the solving mechanisms of various algorithms, and then realize the efficient and accurate solution of complex NLSE in optical fiber. Initially, the steps, process and results of PINN in solving the NLSE for pulse under the condition of short-distance transmission are described, and the errors of these methods are quantitatively evaluated by comparing them with the errors of PINN, FDM and SSF. On this basis, the key factors affecting the accuracy of NLSE solution for pulse under long-distance transmission are further discussed. Then, the effects of different networks, activation functions, hidden layers and the number of neurons in PINN on the accuracy of NLSE solution are discussed. It is found that selecting a suitable combination of activation functions and network types can significantly reduce the error, and the combination of FNN and tanh activation functions is particularly good. The effectiveness of ensemble learning strategy is also verified, that is, by combining the advantages of traditional numerical methods and PINN, the accuracy of NLSE solution is improved. Finally, the evolution characteristics of Airy pulse with different chirps in fiber and the solution of vector NLSE corresponding to polarization-maintaining fiber are studied by using the above algorithm. This study explores the solving mechanisms of FDM, SSF and PINN in complex NLSE, compares and analyzes the error characteristics of those methods in various transmission scenarios, proposes and verifies the ensemble learning strategy, thus providing a solid theoretical basis for studying pulse transmission dynamics and data-driven simulation.
Nonlinear Schrödinger equation (NLSE) has important applications in quantum mechanics, nonlinear optics, plasma physics, condensed matter physics, optical fiber communication and laser system design, and its accurate solution is very important for understanding complex physical phenomena. Here, the traditional finite difference method (FDM), the split-step Fourier (SSF) method and the physics-informed neural network (PINN) method are studied, aiming to analyze in depth the solving mechanisms of various algorithms, and then realize the efficient and accurate solution of complex NLSE in optical fiber. Initially, the steps, process and results of PINN in solving the NLSE for pulse under the condition of short-distance transmission are described, and the errors of these methods are quantitatively evaluated by comparing them with the errors of PINN, FDM and SSF. On this basis, the key factors affecting the accuracy of NLSE solution for pulse under long-distance transmission are further discussed. Then, the effects of different networks, activation functions, hidden layers and the number of neurons in PINN on the accuracy of NLSE solution are discussed. It is found that selecting a suitable combination of activation functions and network types can significantly reduce the error, and the combination of FNN and tanh activation functions is particularly good. The effectiveness of ensemble learning strategy is also verified, that is, by combining the advantages of traditional numerical methods and PINN, the accuracy of NLSE solution is improved. Finally, the evolution characteristics of Airy pulse with different chirps in fiber and the solution of vector NLSE corresponding to polarization-maintaining fiber are studied by using the above algorithm. This study explores the solving mechanisms of FDM, SSF and PINN in complex NLSE, compares and analyzes the error characteristics of those methods in various transmission scenarios, proposes and verifies the ensemble learning strategy, thus providing a solid theoretical basis for studying pulse transmission dynamics and data-driven simulation.
2025, 74(6): 060501.
doi: 10.7498/aps.74.20241746
Abstract:
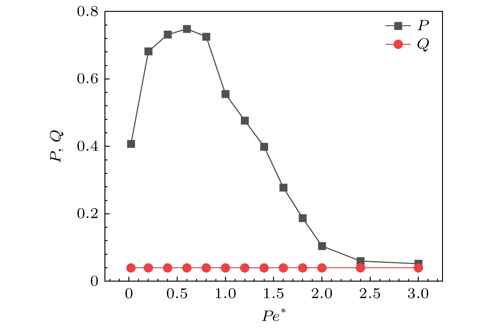
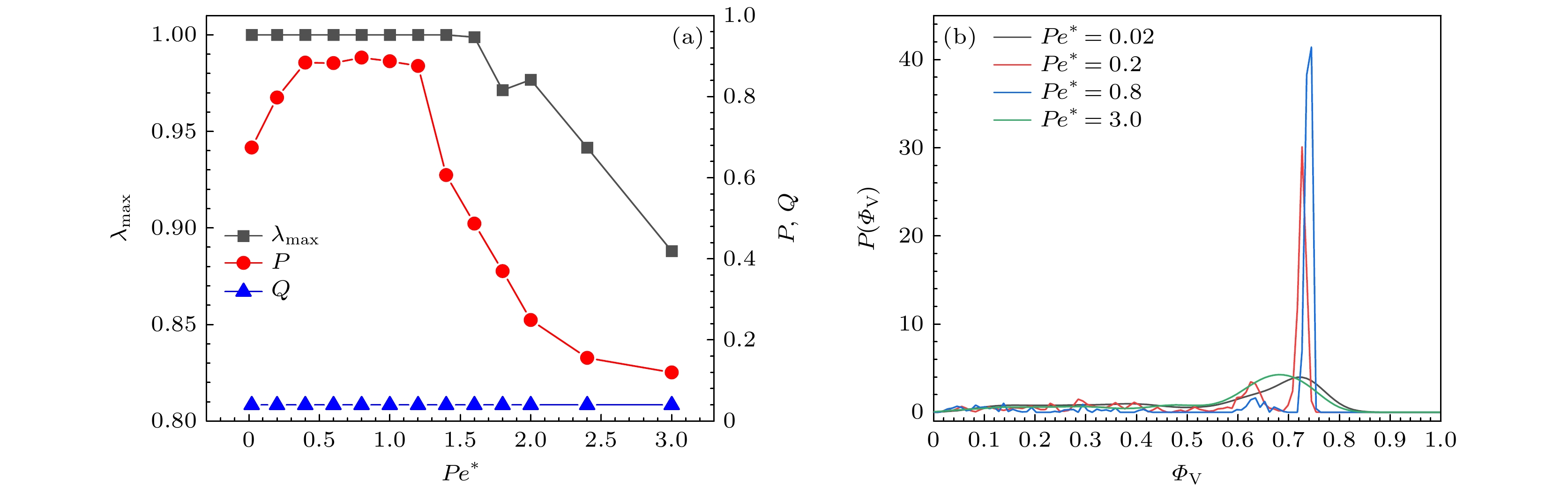
Spontaneous velocity alignment can occur in active particle systems. As a fundamental inter-particle interaction, the attractive interaction is shown to significantly affect the collective behavior of active particles. However, the mechanisms by which attractive interactions induce and affect velocity alignment are still unclear. To solve this problem, we conduct numerical simulations by using the stochastic Euler method to investigate cluster behavior and spontaneous global velocity alignment in active particle systems with attractive interactions. The local area fraction of particles and its corresponding probability distribution function are computed to capture the system’s cluster behavior. The global velocity alignment order parameter and the polar average parameter are also calculated to characterize the particle velocity directions. Based on whether motion-induced phase separation and crystallization can be achieved, the system is categorized into low, medium, and high packing fraction regimes, and the cluster behavior and velocity alignment within each regime are systematically investigated. Spontaneous velocity alignment results from the coupling of self-propulsion and attractive interactions. During the persistent time, feedback regulation involving particle velocities, relative positions, and interaction forces operates simultaneously among neighboring particles. This process leads to the alignment of particle velocities with those of their neighbors, ultimately achieving large-scale alignment. The closer the particles’ arrangement, the more conducive it is to the coupling of self-propulsion and spatial interactions, thus promoting large-scale spontaneous velocity alignment. The competition between these two effects governs the formation and structure of clusters, ultimately affecting global velocity alignment. At low and medium packing fractions, when the attractive interaction dominates and self-propulsion is negligible, particles attract each other to form discrete banded clusters due to the strong attraction and limited range of interaction. Over time, these clusters connect to form a network-like cluster. Small differences in particle velocity are amplified by the banded structure, hindering velocity alignment. In the systems with low packing fractions, a thin network-like cluster forms, whereas in systems with medium packing fractions, a thicker network-like cluster forms, leading to lower velocity alignment in the former. As self-propulsion becomes more dominant, the network structure loosens, causing the particle bands to break and reconnect until a more stable block-like cluster structure is formed. The system transitions from a network-like cluster to a block-like cluster, with particles becoming closely packed, resulting in global velocity alignment. When self-propulsion dominates and attraction is negligible, particle motion is mainly driven by self-propulsion, resulting in sparse particle distribution or unstable clusters, leading to disordered velocity. Thus, as self-propulsion competes with attractive interactions and becomes dominant, the global velocity alignment increases from low values to a higher plateau and then decreases, approaching zero. At high packing fractions, the initial distribution of particles is dense. Even when the attractive interaction dominates and self-propulsion is negligible, the system forms a block-like cluster, leading to global velocity alignment. As self-propulsion becomes dominant, the instability of the clusters partially hinders spontaneous velocity alignment. Nevertheless, the particles remain densely packed, resulting in local velocity alignment. Thus, as self-propulsion transitions from weak to dominant in competition with attractive interactions, global velocity alignment first plateaus at a higher value, then decreases, but remains above 0.5. It is important to note that the spontaneous velocity alignment discussed here exhibits a finite size effect. In experimental setups and applications involving active particles, smaller systems are usually studied. By modulating the balance between self-propulsion and attractive interactions in these systems, a broader range of spontaneous velocity alignment can be achieved, which may even lead to global velocity alignment.
2025, 74(6): 060701.
doi: 10.7498/aps.74.20240999
Abstract:
In order to solve the current lack of rigorous theoretical models in the machine learning process, in this paper the iterative motion process of machine learning is modeled by using quantum dynamic method based on the principles of first-principles thinking. This approach treats the iterative evolution of algorithms as a physical motion process, defines a generalized objective function in the parameter space of machine learning algorithms, and regards the iterative process of machine learning as the process of seeking the optimal value of this generalized objective function. In physical terms, this process corresponds to the system reaching its ground energy state. Since the dynamic equation of a quantum system is the Schrödinger equation, we can obtain the quantum dynamic equation that describes the iterative process of machine learning by treating the generalized objective function as the potential energy term in the Schrödinger equation. Therefore, machine learning is the process of seeking the ground energy state of the quantum system constrained by a generalized objective function. The quantum dynamic equation for machine learning transforms the iterative process into a time-dependent partial differential equation for precise mathematical representation, enabling the use of physical and mathematical theories to study the iterative process of machine learning. This provides theoretical support for implementing the iterative process of machine learning by using quantum computers. In order to further explain the iterative process of machine learning on classical computers by using quantum dynamic equation, the Wick rotation is used to transform the quantum dynamic equation into a thermodynamic equation, demonstrating the convergence of the time evolution process in machine learning. The system will be transformed into the ground energy state as time approaches infinity. Taylor expansion is used to approximate the generalized objective function, which has no analytical expression in the parameter space. Under the zero-order Taylor approximation of the generalized objective function, the quantum dynamic equation and thermodynamic equation for machine learning degrade into the free-particle equation and diffusion equation, respectively. This result indicates that the most basic dynamic processes during the iteration of machine learning on quantum computers and classical computers are wave packet dispersion and wave packet diffusion, respectively, thereby explaining, from a dynamic perspective, the basic principles of diffusion models that have been successfully utilized in the generative neural networks in recent years. Diffusion models indirectly realize the thermal diffusion process in the parameter space by adding Gaussian noise to and removing Gaussian noise from the image, thereby optimizing the generalized objective function in the parameter space. The diffusion process is the dynamic process in the zero-order approximation of the generalized objective function. Meanwhile, we also use the thermodynamic equation of machine learning to derive the Softmax function and Sigmoid function, which are commonly used in artificial intelligence. These results show that the quantum dynamic method is an effective theoretical approach to studying the iterative process of machine learning, which provides a rigorous mathematical and physical model for studying the iterative process of machine learning on both quantum computers and classical computers.
In order to solve the current lack of rigorous theoretical models in the machine learning process, in this paper the iterative motion process of machine learning is modeled by using quantum dynamic method based on the principles of first-principles thinking. This approach treats the iterative evolution of algorithms as a physical motion process, defines a generalized objective function in the parameter space of machine learning algorithms, and regards the iterative process of machine learning as the process of seeking the optimal value of this generalized objective function. In physical terms, this process corresponds to the system reaching its ground energy state. Since the dynamic equation of a quantum system is the Schrödinger equation, we can obtain the quantum dynamic equation that describes the iterative process of machine learning by treating the generalized objective function as the potential energy term in the Schrödinger equation. Therefore, machine learning is the process of seeking the ground energy state of the quantum system constrained by a generalized objective function. The quantum dynamic equation for machine learning transforms the iterative process into a time-dependent partial differential equation for precise mathematical representation, enabling the use of physical and mathematical theories to study the iterative process of machine learning. This provides theoretical support for implementing the iterative process of machine learning by using quantum computers. In order to further explain the iterative process of machine learning on classical computers by using quantum dynamic equation, the Wick rotation is used to transform the quantum dynamic equation into a thermodynamic equation, demonstrating the convergence of the time evolution process in machine learning. The system will be transformed into the ground energy state as time approaches infinity. Taylor expansion is used to approximate the generalized objective function, which has no analytical expression in the parameter space. Under the zero-order Taylor approximation of the generalized objective function, the quantum dynamic equation and thermodynamic equation for machine learning degrade into the free-particle equation and diffusion equation, respectively. This result indicates that the most basic dynamic processes during the iteration of machine learning on quantum computers and classical computers are wave packet dispersion and wave packet diffusion, respectively, thereby explaining, from a dynamic perspective, the basic principles of diffusion models that have been successfully utilized in the generative neural networks in recent years. Diffusion models indirectly realize the thermal diffusion process in the parameter space by adding Gaussian noise to and removing Gaussian noise from the image, thereby optimizing the generalized objective function in the parameter space. The diffusion process is the dynamic process in the zero-order approximation of the generalized objective function. Meanwhile, we also use the thermodynamic equation of machine learning to derive the Softmax function and Sigmoid function, which are commonly used in artificial intelligence. These results show that the quantum dynamic method is an effective theoretical approach to studying the iterative process of machine learning, which provides a rigorous mathematical and physical model for studying the iterative process of machine learning on both quantum computers and classical computers.
2025, 74(6): 062801.
doi: 10.7498/aps.74.20241685
Abstract:
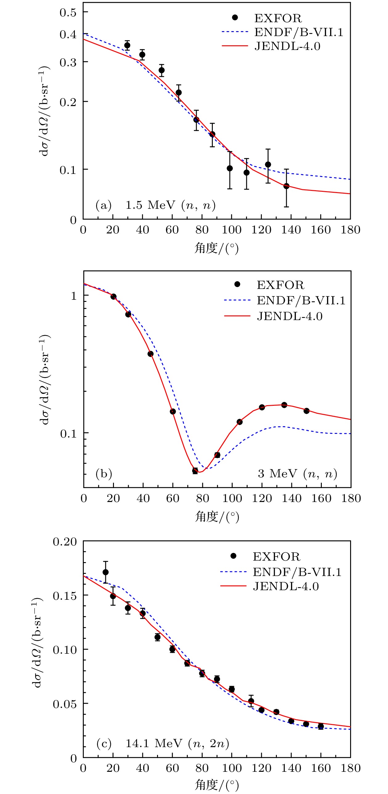
Beryllium metal and beryllium oxide are important nuclear materials, with neutron-induced nuclear reaction data on beryllium playing a crucial role in nuclear energy research and development. Macroscopic validation is an essential step in the nuclear data evaluation process, providing a means to assess the reliability and accuracy of such data. Critical benchmark experiments serve as the most important references for this validation. However, discrepancies have been observed in two closely related series of beryllium-reflector fast-spectrum critical benchmark experiments, HMF-058 and HMF-066, which are widely used in current nuclear data validation. A previous systematic study indicates that these two series of experiments reache contradictory conclusions in validating the neutron-induced nuclear reaction data of beryllium, creating ambiguity in improving beryllium nuclear data. As a result, the total of 14 experiments in these two series cannot currently support high-accuracy validation of nuclear data. Although most researches on nuclear data validation and adjustment mainly focus on cross sections, the angular distribution of emitted neutrons is a key factor in reactor physics calculations. In this work, we address these inconsistencies by improving the secondary angular distributions of the (n, n) and (n, 2n) reactions of beryllium, thereby making the theoretical calculations (C) and experimental results (E) of these two series more consistent, and reducing the cumulative χ2 value from 7.58 using the ENDF/B-VII.1 evaluation to 4.52. All calculations based on the improved nuclear data agree with the experimental measurements within 1σ experimental uncertainty. With these enhancements, the consistency between the HMF-058 and HMF-066 series cannot be rejected within the 1σ experimental uncertainty. Based on the latest comprehensive evaluation of uranium nuclear data, this consistency is slightly improved, and the cumulative χ2 value decreases to 4.36 once again. Despite these advances, systematic differences in the expected values of C/E between the two series still exist. The C/E values of the HMF-066 series are generally 230–330 pcm lower than those of the HMF-058 series, comparable to their experimental uncertainties of 200–400 pcm. Therefore, drawing a definitive conclusion about this systematic difference remains challenging. If the current improvement of differential nuclear data based on experimental data of 9Be is accurate, then the HMF-058 series experiments seem to be more reliable than the HMF-066 series. Ultimately, to achieve this goal, either reducing experimental uncertainty or designing and executing higher-precision integral experiments is required.
Beryllium metal and beryllium oxide are important nuclear materials, with neutron-induced nuclear reaction data on beryllium playing a crucial role in nuclear energy research and development. Macroscopic validation is an essential step in the nuclear data evaluation process, providing a means to assess the reliability and accuracy of such data. Critical benchmark experiments serve as the most important references for this validation. However, discrepancies have been observed in two closely related series of beryllium-reflector fast-spectrum critical benchmark experiments, HMF-058 and HMF-066, which are widely used in current nuclear data validation. A previous systematic study indicates that these two series of experiments reache contradictory conclusions in validating the neutron-induced nuclear reaction data of beryllium, creating ambiguity in improving beryllium nuclear data. As a result, the total of 14 experiments in these two series cannot currently support high-accuracy validation of nuclear data. Although most researches on nuclear data validation and adjustment mainly focus on cross sections, the angular distribution of emitted neutrons is a key factor in reactor physics calculations. In this work, we address these inconsistencies by improving the secondary angular distributions of the (n, n) and (n, 2n) reactions of beryllium, thereby making the theoretical calculations (C) and experimental results (E) of these two series more consistent, and reducing the cumulative χ2 value from 7.58 using the ENDF/B-VII.1 evaluation to 4.52. All calculations based on the improved nuclear data agree with the experimental measurements within 1σ experimental uncertainty. With these enhancements, the consistency between the HMF-058 and HMF-066 series cannot be rejected within the 1σ experimental uncertainty. Based on the latest comprehensive evaluation of uranium nuclear data, this consistency is slightly improved, and the cumulative χ2 value decreases to 4.36 once again. Despite these advances, systematic differences in the expected values of C/E between the two series still exist. The C/E values of the HMF-066 series are generally 230–330 pcm lower than those of the HMF-058 series, comparable to their experimental uncertainties of 200–400 pcm. Therefore, drawing a definitive conclusion about this systematic difference remains challenging. If the current improvement of differential nuclear data based on experimental data of 9Be is accurate, then the HMF-058 series experiments seem to be more reliable than the HMF-066 series. Ultimately, to achieve this goal, either reducing experimental uncertainty or designing and executing higher-precision integral experiments is required.
2025, 74(6): 063401.
doi: 10.7498/aps.74.20250008
Abstract:
Molecular ions are widely distributed in the ionosphere of planetary atmospheres, and their fragmentations can generate different ions and neutral fragments. Studying the kinetic energy distribution and generation mechanism of the final products is helpful in understanding fundamental phenomena in astrophysics and plasma physics. In particular, ethane is an important molecule found in Titan and comet, and its fragmentation may be involved in the generation of complex hydrocarbons, as well as the atmospheric escape processes on Titan. In this paper, the experiment on ethane fragmentation by electron impact is carried out, focusing on the three-body fragmentation channel from \begin{document}$ {{\text{C}}_2}{\text{H}}_6^{2 + } $\end{document} to \begin{document}$ {\text{CH}}_3^ + /{\text{CH}}_2^ + /{\text{H}} $\end{document} . The three-dimensional momenta of \begin{document}$ {\text{CH}}_3^ + $\end{document} and \begin{document}$ {\text{CH}}_2^ + $\end{document} ions are measured, and then the momentum of the H atom is reconstructed using momentum conservation law. Based on these analyses, the kinetic energy release (KER) spectrum and the fragmentation mechanisms are investigated. The time-of-flight (TOF) coincidence map of the ions shows two channels: channel (1) that represents the two-body dissociation generating \begin{document}$ {\text{CH}}_3^ + $\end{document} /\begin{document}$ {\text{CH}}_3^ + $\end{document} , and channel (2) that refers to the three-body dissociation generating \begin{document}$ {\text{CH}}_3^ + /{\text{CH}}_2^ + /{\text{H}} $\end{document} . It is found that the neutral H from channel (2) has a wide kinetic energy distribution, ranging from 0 eV to more than 10 eV. This feature indicates that the dissociation of the C-H bond is from multiple electronic states. Since the escape threshold of H in Titan’s ionosphere is 0.02 eV, the vast majority of the H atoms produced in channel (2) can escape into outer space. In addition, the kinetic energy sum of \begin{document}$ {\text{CH}}_3^ + $\end{document} and \begin{document}$ {\text{CH}}_2^ + $\end{document} in channel (2) is found to be similar to the KER of channel (1), indicating that the C-H dissociation presents limited influence on the energy sum of the CH2+ and \begin{document}$ {\text{CH}}_3^ + $\end{document} . The corresponding fragmentation mechanism of channel (2) is also analyzed in this work. the overall KER spectrum is divided into three parts: 0–6 eV, 6–9 eV, and 9–11 eV, and the respective Dalitz plots and Newton diagrams are reconstructed under different KER conditions. In all Dalitz plots, there are a bright spot representing the concerted dissociation and a horizontal belt representing the sequential dissociation. The concerted dissociation is considered as the main mechanism, while the sequential dissociation plays a secondary role. The bright spot in the Dalitz plot shifts from the center to the left as the KER increases. This feature arises from the fact that the \begin{document}$ {\text{CH}}_2^ + $\end{document} lies between the H and the \begin{document}$ {\text{CH}}_3^ + $\end{document} in the concerted dissociation, and it feels the recoil both from H and from \begin{document}$ {\text{CH}}_3^ + $\end{document} . Considering that the Coulomb potential from \begin{document}$ {\text{CH}}_3^ + $\end{document} is constant, the increase of the C-H dissociation energy will reduce the \begin{document}$ {\text{CH}}_2^ + $\end{document} kinetic energy. The belt in the Dalitz indicates that the sequential dissociation is a two-step process, with the first step being the dissociation of \begin{document}$ {{\text{C}}_2}{\text{H}}_6^{2 + } $\end{document} to generate H and metastable \begin{document}$ {{\text{C}}_2}{\text{H}}_5^{2 + } $\end{document} , and the second step being the fragmentation of \begin{document}$ {{\text{C}}_2}{\text{H}}_5^{2 + } $\end{document} into \begin{document}$ {\text{CH}}_3^ + $\end{document} and \begin{document}$ {\text{CH}}_2^ + $\end{document} . The Newton diagrams under different KER conditions are also reconstructed to give further evidence of the sequential dissociation from the metastable \begin{document}$ {{\text{C}}_2}{\text{H}}_5^{2 + } $\end{document} , rather than from the metastable \begin{document}$ {\text{CH}}_3^ + $\end{document} or \begin{document}$ {\text{CH}}_4^ + $\end{document} . In fact, for the former case, the center positions of the two half circles in the Newton diagram are correct. Oppositely, for the latter two cases, the center positions notably deviate from the expected values. This means the sequential dissociation from \begin{document}$ {{\text{C}}_2}{\text{H}}_5^{2 + } $\end{document} is dominant, which agrees excellently with the conclusion from the Dalitz plots.
2025, 74(6): 064201.
doi: 10.7498/aps.74.20241725
Abstract:
Perfect vector vortex beams (PVVBs), which are characterized by spiral phase, donut-shaped intensity profile and inhomogeneous polarization of a light beam carrying spin angular momentum (SAM) and orbital angular momentum (OAM), have a constant bright ring radius and ring width which are unaffected by the changes of their carrying topological charge (TC), thus making them highly valuable in many optical fields. Metasurfaces, as planar optical devices composed of subwavelength nanostructures, can precisely control the phase, polarization, and amplitude of electromagnetic waves, providing a revolutionary solution for integrated vector field manipulation devices. However, existing metasurfaces still encounter significant challenges in generating high-capacity, polarization- and orbital angular momentum-independent controlled perfect vector vortex beams. In order to solve this problem, in this work a spin-multiplexing scheme based on pure geometric phase modulation on a metasurface platform is used to achieve high-capacity polarization- and OAM-independent controlled PVVBs. The metasurfaces with a combined phase profile of a spiral phase plate, an axicon, and a focusing (Fourier) lens are spatially encoded by rectangular Ge2Sb2Se4Te1 (GSST) nanopillar with various orientations on a CaF2 square substrate. When illuminated by circularly polarized light with opposite chirality, the metasurfaces can generate various perfect vector vortex beams (PVBs) with arbitrary topological charges. For linearly polarized incidence, the metasurface is employed to induce PVVBs by coherently superposing PVBs with spin-opposite OAM modes. The polarization states and polarization orders of the generated PVVBs can be flexibly customized by controlling the initial phase difference, amplitude ratio, and topological charges of the two orthogonal PVB components. Notably, through precisely designing the metasurface’s phase distribution and the propagation path of the generated beams, the space and polarization multiplexing can be realized in a compact manner of spatial PVVB arrays, significantly increasing both information channels and dimensions for the development of vortex communication capacity. With these findings, we demonstrate an innovative optical information encryption scheme by using a single metasurface to encode personalized polarization states and OAM in parallel channels embedded within multiple PVVBs. This work aims to establish an ultra-compact, robust platform for generating multi-channel high-capacity polarization- and OAM-independent controlled PVVBs in the mid-infrared range, and promote their applications in optical encryption, particle manipulation, and quantum optics.
Perfect vector vortex beams (PVVBs), which are characterized by spiral phase, donut-shaped intensity profile and inhomogeneous polarization of a light beam carrying spin angular momentum (SAM) and orbital angular momentum (OAM), have a constant bright ring radius and ring width which are unaffected by the changes of their carrying topological charge (TC), thus making them highly valuable in many optical fields. Metasurfaces, as planar optical devices composed of subwavelength nanostructures, can precisely control the phase, polarization, and amplitude of electromagnetic waves, providing a revolutionary solution for integrated vector field manipulation devices. However, existing metasurfaces still encounter significant challenges in generating high-capacity, polarization- and orbital angular momentum-independent controlled perfect vector vortex beams. In order to solve this problem, in this work a spin-multiplexing scheme based on pure geometric phase modulation on a metasurface platform is used to achieve high-capacity polarization- and OAM-independent controlled PVVBs. The metasurfaces with a combined phase profile of a spiral phase plate, an axicon, and a focusing (Fourier) lens are spatially encoded by rectangular Ge2Sb2Se4Te1 (GSST) nanopillar with various orientations on a CaF2 square substrate. When illuminated by circularly polarized light with opposite chirality, the metasurfaces can generate various perfect vector vortex beams (PVBs) with arbitrary topological charges. For linearly polarized incidence, the metasurface is employed to induce PVVBs by coherently superposing PVBs with spin-opposite OAM modes. The polarization states and polarization orders of the generated PVVBs can be flexibly customized by controlling the initial phase difference, amplitude ratio, and topological charges of the two orthogonal PVB components. Notably, through precisely designing the metasurface’s phase distribution and the propagation path of the generated beams, the space and polarization multiplexing can be realized in a compact manner of spatial PVVB arrays, significantly increasing both information channels and dimensions for the development of vortex communication capacity. With these findings, we demonstrate an innovative optical information encryption scheme by using a single metasurface to encode personalized polarization states and OAM in parallel channels embedded within multiple PVVBs. This work aims to establish an ultra-compact, robust platform for generating multi-channel high-capacity polarization- and OAM-independent controlled PVVBs in the mid-infrared range, and promote their applications in optical encryption, particle manipulation, and quantum optics.
2025, 74(6): 064202.
doi: 10.7498/aps.74.20241612
Abstract:
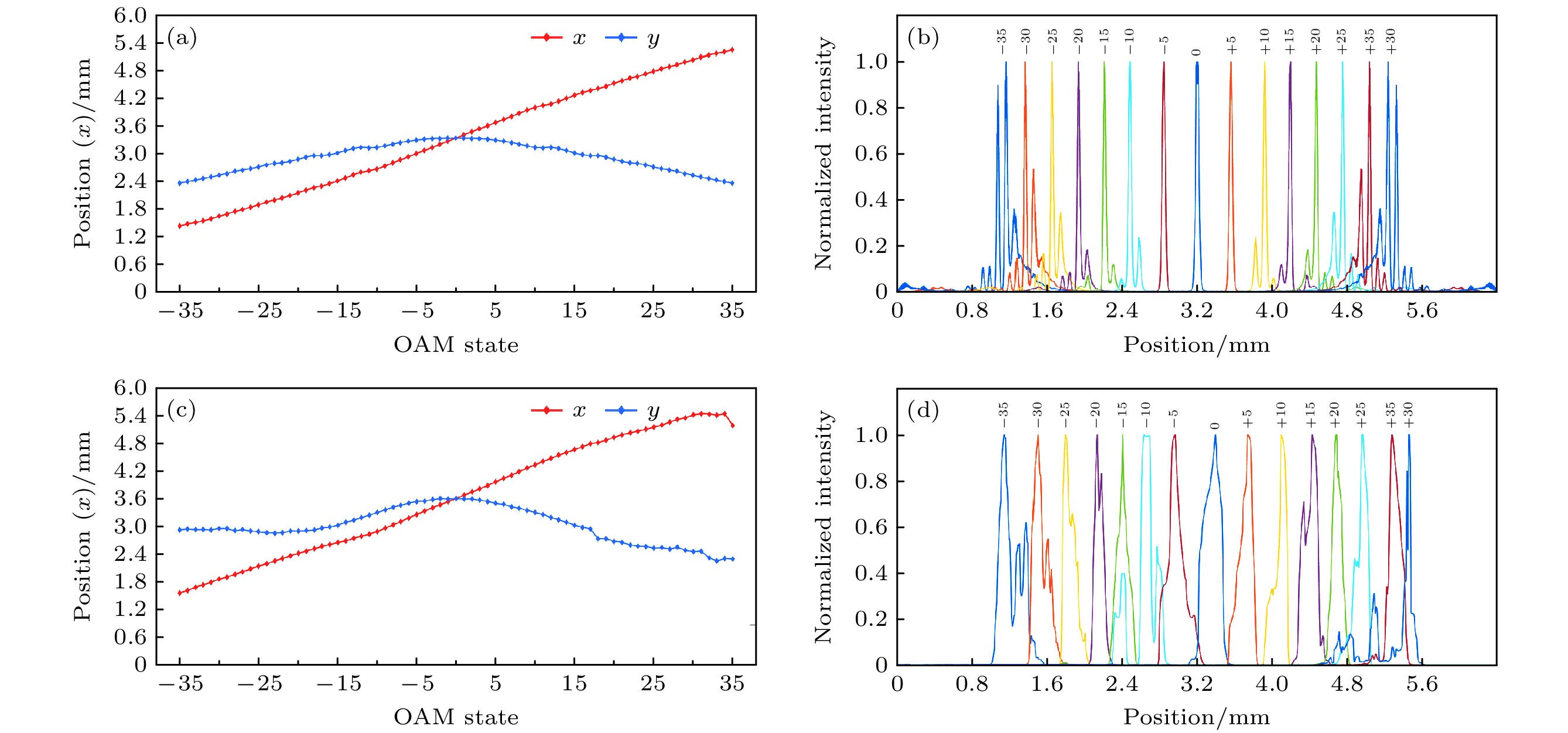
Orbital angular momentum (OAM), as a novel high-dimensional degree of freedom, shows great potential applications in optical communication in improving system channel capacity and solving the problem of scarce communication resources. However, the effective recognition and detection of OAM modes are the core challenges for achieving efficient communication in such systems. In this work, an OAM decoding system consisting of a designed coordinate transformation device, a phase corrector, and a Fourier transform lens is presented based on log-polar coordinate transformation. The coordinate transformation device fabricated by liquid crystal polymer is utilized to map the incident vortex beam from polar coordinates into Cartesian coordinates, followed by the phase corrector to compensate for phase distortions into a collimated beam. Finally, the Fourier transform lens is used to separate the OAM modes at different space positions in its rear focal plane. The performance of the system is numerically evaluated in several ablation studies, and the influence of various grating parameters on beam separation efficiency is analyzed. Experimentally, the system successfully achieves the decoding of OAM modes ranging from –35 to +31 orders. Furthermore, a free-space optical communication demonstration system is constructed based on this OAM decoding system. By introducing specifically designed decoding rules, the system effectively mitigates the adjacent mode crosstalk inherent in logarithmic polar coordinate transformation and successfully transmitted 748934 symbols without errors. These favorable results highlight the capabilities of the proposed OAM-based optical communication system and provide valuable insights for developing future high-capacity optical communication networks.
Orbital angular momentum (OAM), as a novel high-dimensional degree of freedom, shows great potential applications in optical communication in improving system channel capacity and solving the problem of scarce communication resources. However, the effective recognition and detection of OAM modes are the core challenges for achieving efficient communication in such systems. In this work, an OAM decoding system consisting of a designed coordinate transformation device, a phase corrector, and a Fourier transform lens is presented based on log-polar coordinate transformation. The coordinate transformation device fabricated by liquid crystal polymer is utilized to map the incident vortex beam from polar coordinates into Cartesian coordinates, followed by the phase corrector to compensate for phase distortions into a collimated beam. Finally, the Fourier transform lens is used to separate the OAM modes at different space positions in its rear focal plane. The performance of the system is numerically evaluated in several ablation studies, and the influence of various grating parameters on beam separation efficiency is analyzed. Experimentally, the system successfully achieves the decoding of OAM modes ranging from –35 to +31 orders. Furthermore, a free-space optical communication demonstration system is constructed based on this OAM decoding system. By introducing specifically designed decoding rules, the system effectively mitigates the adjacent mode crosstalk inherent in logarithmic polar coordinate transformation and successfully transmitted 748934 symbols without errors. These favorable results highlight the capabilities of the proposed OAM-based optical communication system and provide valuable insights for developing future high-capacity optical communication networks.
2025, 74(6): 064203.
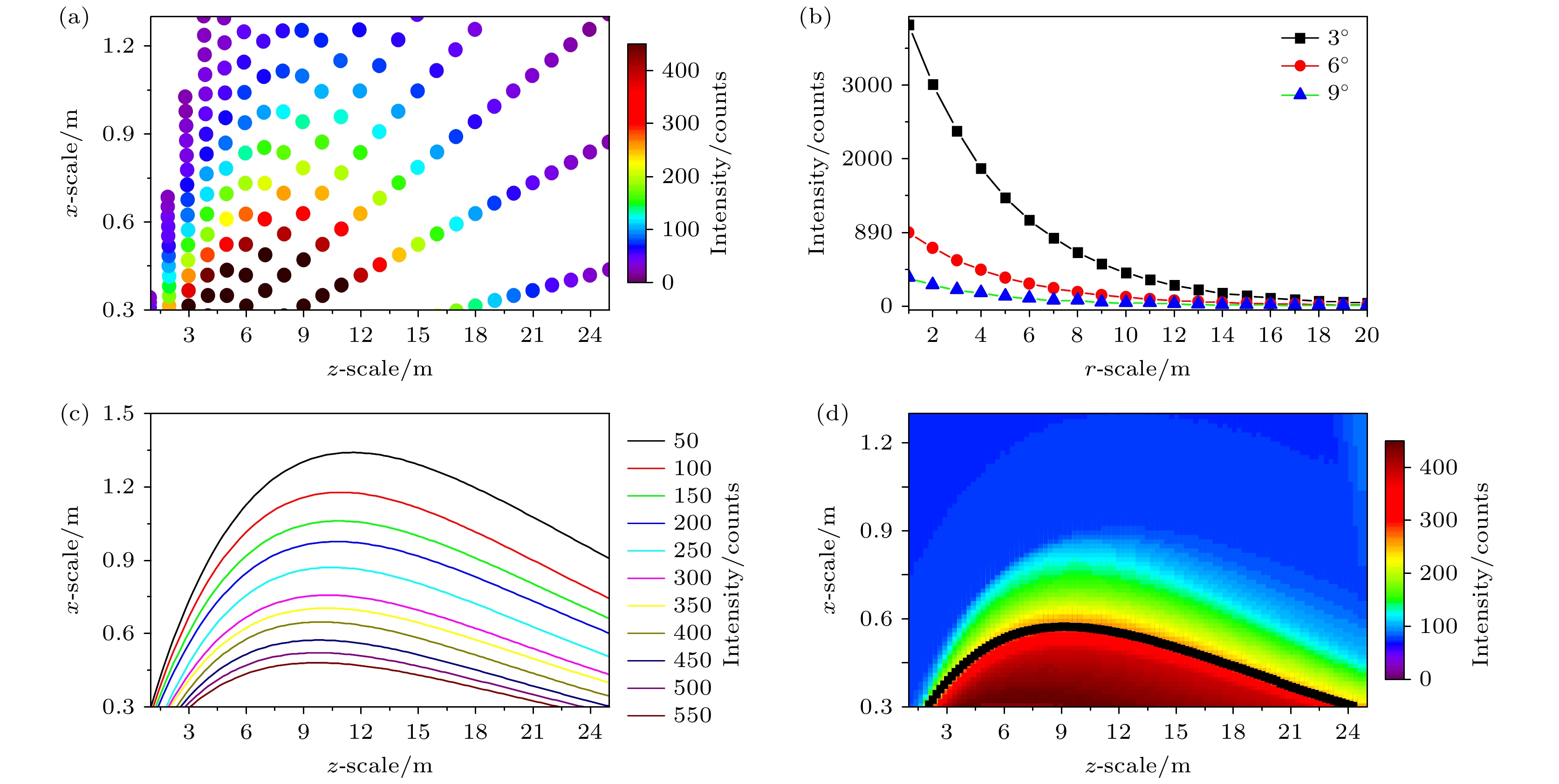
doi: 10.7498/aps.74.20241140
Abstract:
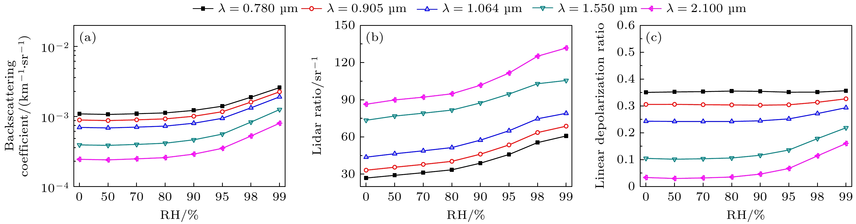
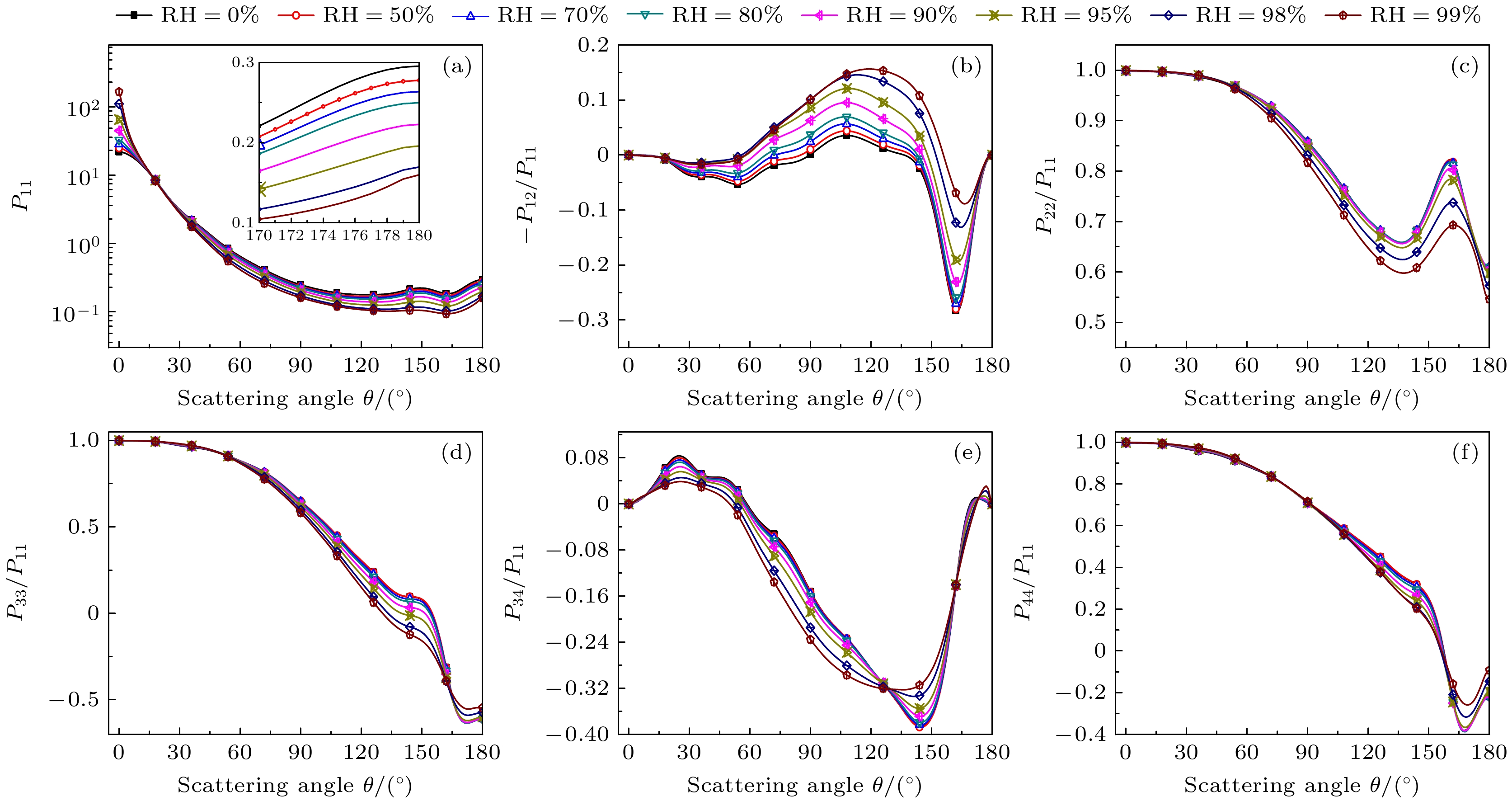
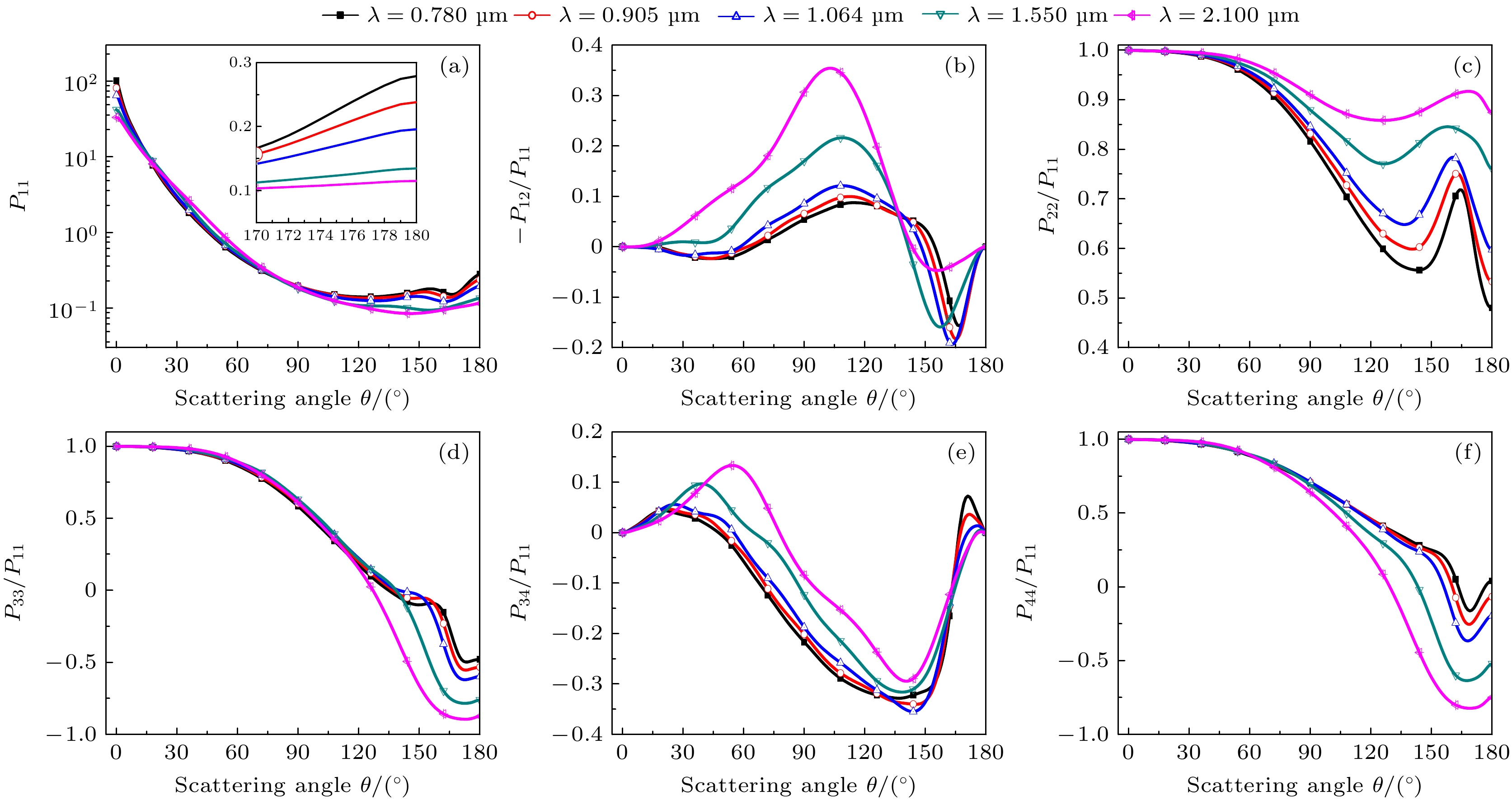
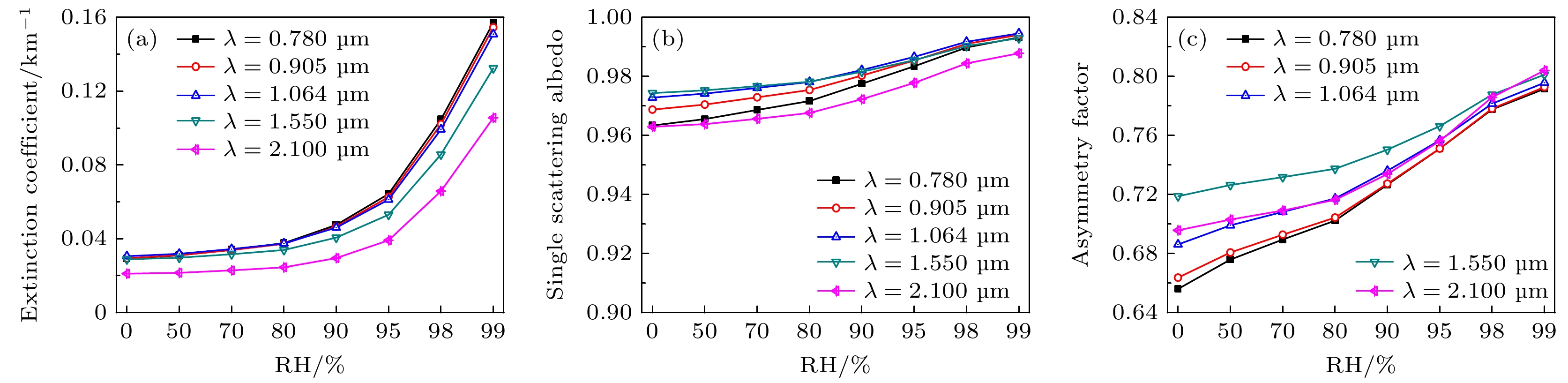
Microphysical quantities (particle shape, composition, size, density, complex refractive index, size distribution model, aspect ratio, hygroscopic parameter, etc.) of the ensemble of complex externally mixed aerosol particles vary greatly in humid environments (sea fog, water mist, haze, etc.). These microphysical quantities directly affect the transmission and scattering characteristics of laser. The optical properties (extinction coefficient, absorption coefficient, backscattering coefficient, phase function, etc.) of the ensemble of complex externally mixed aerosol particles directly determine the propagation properties of laser signals in the atmosphere, as well as the intensity and shape of echo signals. Therefore, studying the optical properties of the ensemble of complex externally mixed aerosol particles in humid environments is of significant importance for engineering applications such as autonomous driving, mapping, and remote sensing detection. Based on the various possibilities of aerosol particles existing in humid environments, the physicochemical properties of aerosol particles, including their shapes (sphere, oblate spheroid, prolate spheroid, and irregular), size distributions, complex refractive indices, densities, aspect ratios, their distribution models, and hygroscopicity parameters, are all taken into consideration in this work. Therefore, a scattering model of the ensemble of complex externally mixed aerosol particles is presented. Based on the presented complex aerosol scattering model, the influences of different mixing ratios (MR), and relative humidity (RH) on the optical properties, such as extinction coefficient, single scattering albedo, scattering phase matrix, asymmetry factor, backscattering coefficient, lidar ratio, and linear depolarization ratio, are numerically analyzed at typical incident laser wavelengths (0.78, 0.905, 1.064, 1.55, and 2.1 μm). In order to verify and demonstrate the rationality of the complex aerosol scattering model presented in this work, this model is compared with the scattering model of maritime pollution aerosol in optical properties of aerosols and clouds (OPAC). The results show that the optical properties of these two different aerosol scattering models vary similarly with wavelengths, although differences exist, but they are relatively small. Therefore, the influences of MR on the optical properties of the ensemble of complex internally mixed aerosol particles are analyzed. The influences of RH on the optical properties of the ensemble of complex internally mixed aerosol particles are also analyzed. The numerical results indicate that the extinction coefficient and phase function P11 exhibit strong sensitivity to both the MR and RH. As RH increases, the extinction coefficient and the forward scattering of P11 also increase. Compared with MR, single scattering albedo and asymmetry factor are more sensitive to RH. Significant differences in the sensitivity to RH and wavelength between linear and circular polarization properties are observed at different scattering angles. The backscattering coefficient is found to be inversely proportional to the lidar ratio, and the backscattering coefficient and the lidar ratio are both sensitive to MR and RH. It is observed that RH has a more pronounced effect on the linear depolarization ratio, while the influence of MR is weaker. The complex scattering model presented in this work further expands the study of aerosol optical properties and provides theoretical support for studying engineering applications involving lasers in different RHs environments. It is worth emphasizing that this work only focuses on external mixing. Therefore, the optical properties of the ensemble of complex internally mixed aerosol particles under different RHs will be discussed in the future.
2025, 74(6): 064204.
doi: 10.7498/aps.74.20241629
Abstract:
Filtering technology is the key to accurate phase reconstruction in off-axis digital holography. Due to the limitations of resolution of charge coupled device (CCD) and off-axis digital holography itself, the filtering process of the step-phase objects is often accompanied by spectral loss, spectral aliasing and spectral leakage when non-integer periods are intercepted. At present, much research has been done on adaptive filtering in the frequency domain, but the above problems have not been fundamentally solved. In this work, the influence of spatial filtering on the accuracy of step-phase reconstruction is first analyzed theoretically. The analysis shows that even if the size of the filter window is equal to the sampling frequency of the CCD, the reconstructed object cannot retain all the spectral information of the object due to the limitation of the resolution power of the CCD itself. In addition, in the off-axis holographic recording process, considering the interference of zero-order terms and conjugate terms, the actual filter width is usually only 1/24 of the sampling frequency of the CCD, at which the average absolute error of the step is about 10% of the height of the step, the oscillation is relatively severe, and after further smoothing filtering, the details of the object are lost, the edge is blurred, and the tiny structure cannot be resolved. Second, according to the definition of discrete Fourier transform, the one-dimensional Fourier transform of a two-dimensional function integrates only in one direction, while the other dimension remains unchanged. When performing one-dimensional Fourier transform along the direction perpendicular to the holographic interference fringes and performing one-dimensional full-spectrum filtering, the distribution of reconstructed object light waves in the direction parallel to the fringes follows the original distribution, is not affected by the filtering, and has high accuracy. Therefore, by combining the reconstructed light waves obtained from one-dimensional full-spectrum filtering of two orthogonal off-axis holograms, an accurate two-dimensional differential phase can be obtained, which provides a basic guarantee for the accurate phase unwinding of Poisson equation. On this basis, a spectral lossless phase reconstruction algorithm based on orthogonal holography and optical experiment method is proposed. In this paper, the ideal sample simulation, including irregular shapes such as gear, circle, V, diamond, drop, hexagon and pentagram, and the corresponding experiment based on USFA1951 standard plate and silicon wafer are carried out. The AFM-calibrated average step heights of the standard plate and the silicon wafer are 100 nm and 240 nm, respectively. The experimental results show that compared with the currently widely used adaptive filter phase reconstruction, the proposed method naturally avoids spectrum loss, spectrum aliasing and spectrum leakage caused by filtering, the reconstruction accuracy is high, and it is suitable for three-dimensional contour reconstruction of any shape step object, which provides a practical way for reconstructing the high-precision phase of off-axis holography.
Filtering technology is the key to accurate phase reconstruction in off-axis digital holography. Due to the limitations of resolution of charge coupled device (CCD) and off-axis digital holography itself, the filtering process of the step-phase objects is often accompanied by spectral loss, spectral aliasing and spectral leakage when non-integer periods are intercepted. At present, much research has been done on adaptive filtering in the frequency domain, but the above problems have not been fundamentally solved. In this work, the influence of spatial filtering on the accuracy of step-phase reconstruction is first analyzed theoretically. The analysis shows that even if the size of the filter window is equal to the sampling frequency of the CCD, the reconstructed object cannot retain all the spectral information of the object due to the limitation of the resolution power of the CCD itself. In addition, in the off-axis holographic recording process, considering the interference of zero-order terms and conjugate terms, the actual filter width is usually only 1/24 of the sampling frequency of the CCD, at which the average absolute error of the step is about 10% of the height of the step, the oscillation is relatively severe, and after further smoothing filtering, the details of the object are lost, the edge is blurred, and the tiny structure cannot be resolved. Second, according to the definition of discrete Fourier transform, the one-dimensional Fourier transform of a two-dimensional function integrates only in one direction, while the other dimension remains unchanged. When performing one-dimensional Fourier transform along the direction perpendicular to the holographic interference fringes and performing one-dimensional full-spectrum filtering, the distribution of reconstructed object light waves in the direction parallel to the fringes follows the original distribution, is not affected by the filtering, and has high accuracy. Therefore, by combining the reconstructed light waves obtained from one-dimensional full-spectrum filtering of two orthogonal off-axis holograms, an accurate two-dimensional differential phase can be obtained, which provides a basic guarantee for the accurate phase unwinding of Poisson equation. On this basis, a spectral lossless phase reconstruction algorithm based on orthogonal holography and optical experiment method is proposed. In this paper, the ideal sample simulation, including irregular shapes such as gear, circle, V, diamond, drop, hexagon and pentagram, and the corresponding experiment based on USFA1951 standard plate and silicon wafer are carried out. The AFM-calibrated average step heights of the standard plate and the silicon wafer are 100 nm and 240 nm, respectively. The experimental results show that compared with the currently widely used adaptive filter phase reconstruction, the proposed method naturally avoids spectrum loss, spectrum aliasing and spectrum leakage caused by filtering, the reconstruction accuracy is high, and it is suitable for three-dimensional contour reconstruction of any shape step object, which provides a practical way for reconstructing the high-precision phase of off-axis holography.
2025, 74(6): 064205.
doi: 10.7498/aps.74.20241444
Abstract:
After decades of development, holography has evolved into a sophisticated optical technology for information display. Traditional holographic techniques, which rely solely on the wavelength and polarization of light as information carriers, are limited in both security and capacity of information. The introduction of orbital angular momentum (OAM) as an additional optical dimension into holography effectively addresses these challenges. In order to maintain the OAM mode characteristics of the original image, spatial discrete sampling must be performed first. The sampled image undergoes Fourier transform to generate a discrete hologram. An OAM-selective hologram is then constructed by multiplying the discrete hologram with a spiral phase factor. By superimposing multiple selective holograms with varying topological charges, an OAM-multiplexing hologram is generated. Using this approach, computer simulations of OAM-based holography demonstrate the encryption of multiple two-dimensional images with different topological charges (\begin{document}$ {l}_{i} $\end{document} ) into an OAM-multiplexing hologram for storage. Decryption is achieved by illuminating the multiplexing hologram with a reproduction beam of a specific topological charge. When the condition (\begin{document}$ l'_{i}+{l}_{i}= 0 $\end{document} ) is satisfied, the original image associated with the corresponding topological charge is successfully reproduced. Furthermore, a three-dimensional object, such as a rose in the article, can be decomposed into multiple two-dimensional planes by using a layering method. Holograms for each layer are generated based on their spatial positions and a custom function f that assigns topological charges (\begin{document}$ {l}_{j} $\end{document} ). These holograms are stored in a phase array through OAM-multiplexing holography, effectively reducing the dimensionality of information storage. By setting different reproduction charges (\begin{document}$ l'_{j} $\end{document} ), the holograms are successfully reconstructed. The spatial position of each layer is determined by the function f, enabling the replicating and stacking of layers to achieve a three-dimensional reconstruction of the rose, including its petals, from different perspectives. This process realizes three-dimensional holography. Notably, the combination of topological charge and the function f servesacts as a cryptographic key, significantly enhancing the security of information transmission. This OAM-selective holography technology not only improves security, but also achieves higher information throughput, indicating its enormous potential in various applications.
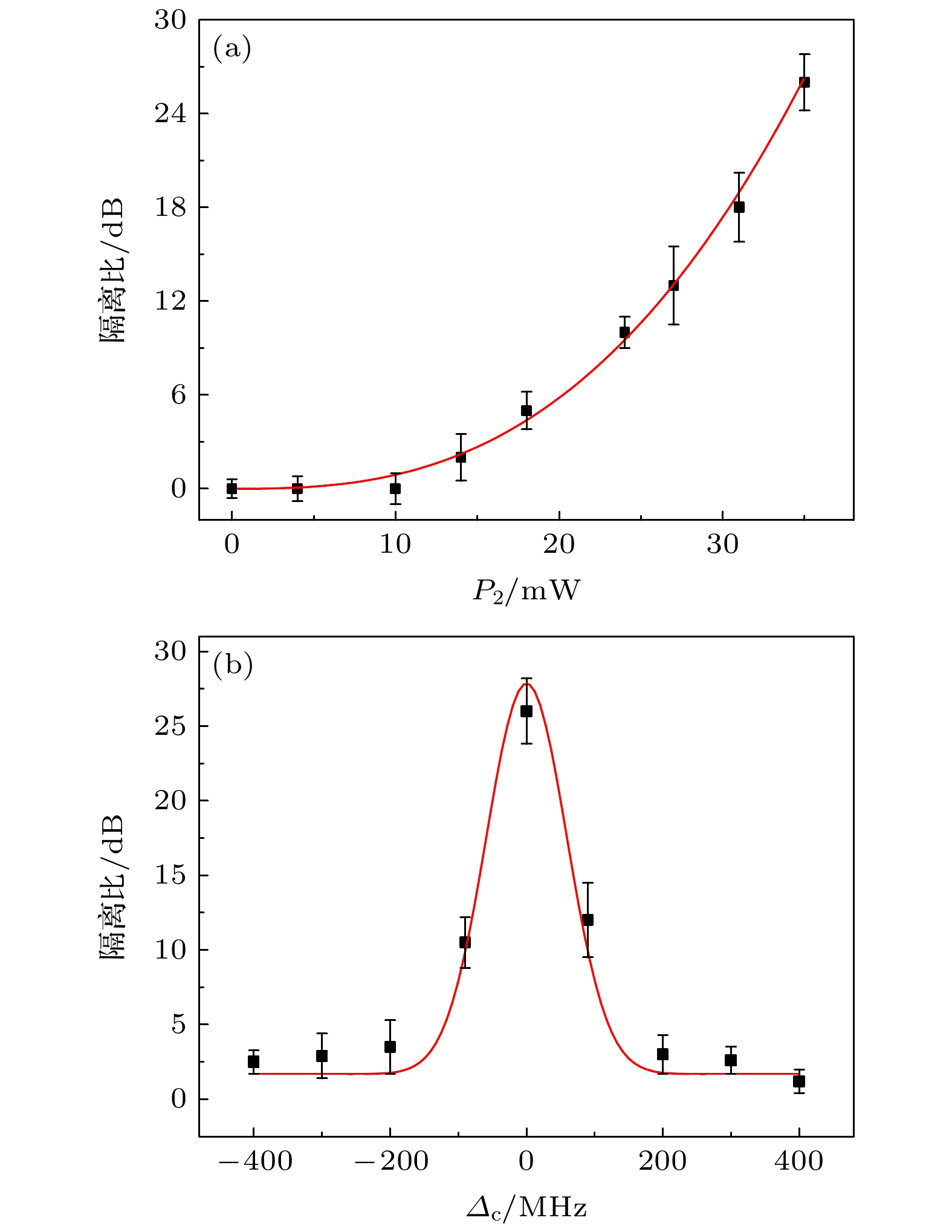
2025, 74(6): 064206.
doi: 10.7498/aps.74.20241463
Abstract:
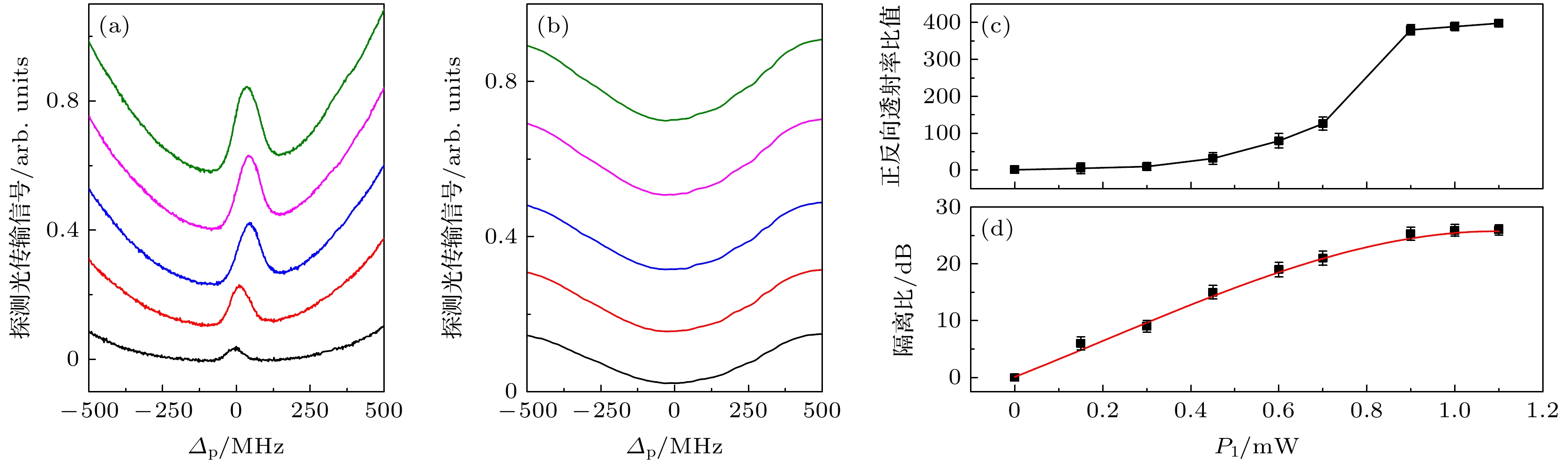
Non-magnetic optical non-reciprocal devices are conducive to constructing optical information processing networks for weak signals without using any external magnetic field. In this work, the non-reciprocal transmission of electromagnetically induced transparency (EIT) in a cesium atomic gas through laser exciting a Λ-type three-level atomic system is observed experimentally. With the help of cesium atoms, which have several advantages over other alkali atoms, such as a rich and readily adjustable energy level structure, bigger ground state hyperfine energy levels, and lower saturation light intensity. An 894.596 nm laser, as probe light, excites energy level from 6S1/2 (F = 4) to 6P3/2 (F = 5), and an 894.594 nm laser, as coupling light, is divided into two beams to excite energy level from 6S1/2 (F = 3) to 6P3/2 (F = 5). The coupling light enters the cesium atomic gas cell in two directions: either collinearly incident in the same direction as the probe light, or in the opposite direction. The probing light that interacts with the coupling light inside the cesium atomic gas and then is detected by the detector avalanche photodiode, and the outcomes are shown and measured on an oscilloscope. The experimentally observed non-reciprocal transmission of EIT proves optical signal isolation in a cesium atomic system. Under the experimental conditions, a series of experiments is conducted on the regulation of the optical non-reciprocal isolation ratio at room temperature by adjusting the power of the probe light and coupling light as well as the detuning. The influence of adjustable parameters on the non-reciprocal isolation ratio is analyzed. The results show that moderate probe light power helps maintain the intensity of EIT in the absorption intensity curve, ensuring a high isolation ratio, which provides a reference for implementing the performance metrics of optical isolators. The observed isolation ratio increases with the increase of coupling power, which is consistent with the theoretical calculation. Within a certain range of coupling light power, a high-performance optical non-reciprocal system is achieved. This trend is exactly in line with that of EIT signal strength variation during co-directional coupling light excitation. A maximum isolation ratio 26 dB is obtained when many parameters are appropriate. The results indicate that in the coherently prepared cesium atom systems, optically tunable parameters can provide an effective means for achieving ideal optical isolation with a high isolation ratio. Compared with existing research on high isolation ratio cavity-free non-reciprocity based on atomic coherence, our proposed experimental scheme can be conducted by using a three-level system at room temperature. With the development of chip-level integrated gas cells, the achieving miniaturization and system integration become easier, which provides experimental support for achieving the miniaturization and integration. This work provides a certain basis for exploring high-performance non-reciprocal devices with high isolation ratios and new perspective for designing the next generation of optical equipment.
2025, 74(6): 064207.
doi: 10.7498/aps.74.20241803
Abstract:
Kerr optical frequency combs based on whispering-gallery mode (WGM) microresonators have great potential for applications in various fields, such as precision measurement, spectral analysis, optical communication, and quantum technology. The interaction between dispersion and nonlinearity is crucial for determining the stability and bandwidth performance of optical frequency combs. In particular, the Kerr bright soliton optical frequency comb requires a suitable anomalous group velocity dispersion (GVD) to maintain the dissipative system. Therefore, designing the dispersion of the WGM microresonator is essential for generating the Kerr optical frequency comb. However, WGM microresonators typically have normal and fixed material dispersion, and their dispersion design is mainly based on modulating the mode field distribution by changing the microresonator structure to achieve anomalous dispersion, which limits their flexibility. In this paper, we introduce a radially distributed gradient refractive index n(r) into WGM microresonators and propose to use the refractive index profile for controlling the dispersion of gradient-index (GRIN) microresonators. Numerical simulations and finite element analysis demonstrate that the refractive index gradient constrains the mode field and pushes it away from the cavity edge, resulting in near-zero geometric dispersion in the GRIN microresonator. Two dispersion modulation methods are explored: modifying the microresonator’s geometric shape and constructing a dual potential well. The effects of microresonator radius, wedge angle, ion diffusion sequence, and potential well width and spacing on dispersion are systematically investigated. Simulation results show that both methods can achieve a wide range of anomalous dispersion within the communication band. In the first method, mode field leakage in the bilateral wedge-shaped GRIN microresonator produces anomalous dispersion, while no leakage results in normal dispersion. When the mode field is pushed away from the edge, near-zero dispersion is achieved. In the second method, energy coupling between the inner mode and the outer mode in the dual potential well structure leads to anomalous dispersion in the inner mode and normal dispersion in the outer mode. Our findings highlight the flexibility of GRIN microresonator dispersion control and indicate great potential for nonlinear optical applications.
2025, 74(6): 064208.
doi: 10.7498/aps.74.20241547
Abstract:
Underwater wireless optical communication (UWOC) possesses significant advantages, such as high bandwidth, low latency, and low power consumption, making it a key technology for building information networks in marine environments. However, due to the scattering effect of seawater, some photons carrying information inevitably scatter out of their predetermined paths, leading to the possibility for information leakage. Therefore, we propose a physical-layer security analysis model for UWOC systems based on the wiretap channel model. The model evaluates the security of the communication system by calculating the capacity difference between the legitimate channel and the eavesdropping channel in the UWOC system. Specifically, the model first constructs the three-dimensional intensity distribution of scattered photons in the underwater channel via Monte Carlo simulations and experimental measurements. Then, it calculates the capacities of both the legitimate and eavesdropping channels based on the decoding results. Finally, the three-dimensional distribution of secrecy capacity is derived to assess the security of the communication system. In this work this model is used to analyze the security of the UWOC system in clear seawater environments. The results show that the secrecy capacity of the system is zero within a certain range near the transmission path, demonstrating that scattered photons can cause information leakage. We recommend that, in practical applications, monitoring the non-signal transmission area near the transmitter is essential to ensure communication security. This research provides a solution for analyzing the quantitative security of UWOC, which can strongly support the design of UWOC systems and encoding/decoding schemes.
Underwater wireless optical communication (UWOC) possesses significant advantages, such as high bandwidth, low latency, and low power consumption, making it a key technology for building information networks in marine environments. However, due to the scattering effect of seawater, some photons carrying information inevitably scatter out of their predetermined paths, leading to the possibility for information leakage. Therefore, we propose a physical-layer security analysis model for UWOC systems based on the wiretap channel model. The model evaluates the security of the communication system by calculating the capacity difference between the legitimate channel and the eavesdropping channel in the UWOC system. Specifically, the model first constructs the three-dimensional intensity distribution of scattered photons in the underwater channel via Monte Carlo simulations and experimental measurements. Then, it calculates the capacities of both the legitimate and eavesdropping channels based on the decoding results. Finally, the three-dimensional distribution of secrecy capacity is derived to assess the security of the communication system. In this work this model is used to analyze the security of the UWOC system in clear seawater environments. The results show that the secrecy capacity of the system is zero within a certain range near the transmission path, demonstrating that scattered photons can cause information leakage. We recommend that, in practical applications, monitoring the non-signal transmission area near the transmitter is essential to ensure communication security. This research provides a solution for analyzing the quantitative security of UWOC, which can strongly support the design of UWOC systems and encoding/decoding schemes.
2025, 74(6): 064209.
doi: 10.7498/aps.74.20241482
Abstract:
The massive emission of greenhouse gases, particularly CO2, has led to severe damage to the Earth’s ecological environment and poses a threat to human health. Many countries have therefore proposed policies to curb the greenhouse effect. Carbon monitoring is a critical prerequisite for realizing these goals, and tracking carbon emission sources can support the precise implementation and advancement of related policies more effectively. The contribution of fossil fuel combustion to greenhouse gas emissions can be inferred by detecting the abundance of 14C in carbon dioxide in a specific region. Conventional 14CO2 detection methods have significant drawbacks, including complicated operation, high cost and large equipment size. Laser absorption spectroscopy (LAS) offers advantages such as real-time, online in-situ measurement and simple operation, making it suitable for the online detection of isotopes. Among the various LAS techniques, noise immunity cavity enhanced optical heterodyne molecular spectroscopy (NICE-OHMS) is the most sensitive. This method integrates frequency modulation spectroscopy (FMS) into cavity enhanced spectroscopy (CES) to suppress the low-frequency noise while increasing the absorption paths, providing a minimum detectable absorption coefficient as low as 10–13. Additionally, the accumulation of high intracavity laser power in NICE-OHMS can stimulate saturation absorption, which has a narrow spectral width that can mitigate spectral overlap. In this work, we model the spectral signals of 14CO2 at different locations and select the transition line of 14CO2 at 2209.108 cm–1 as an optimal measurement target based on the principles of high-intensity and well-resolution. The theoretical analysis of the NICE-OHMS technique is then carried out, and theoretical simulations of a mixed sample of 14CO2 and its nearby interfering gases (13CO2, 12CO2, and N2O), are performed under the simulated experimental conditions. The results of the simulation show that the Doppler broadened spectral signal of 14CO2 is covered by the other gases’ signals with a very low amplitude, which is adverse to the detection of 14CO2. To eliminate the linear slope of the Doppler broadened signal and to further improve the signal-to-noise ratio, we perform 14CO2 spectral measurements by using wavelength-modulated NICE-OHMS (wm-NICE-OHMS). The results of the simulation show that the spectral lines are effectively separated, and the detection accuracy of the 14CO2 ratio is greatly improved. Finally, the effects of pressure and modulation index on the 14CO2 wm-NICE-OHMS signal are analyzed. The results show that when the pressure is 42 mTorr and the modulation index is 1.07, the signal amplitude of wm-NICE-OHMS reaches its maximum. This work lays a theoretical foundation for the high precision detection of 14CO2 in real-time environmental monitoring. The potential for large-scale application of wm-NICE-OHMS in carbon emission tracking is highlighted, providing a more cost-effective alternative to traditional detection methods. Furthermore, the technology is able to suppress spectral interference from other gases and achieve high resolution in 14CO2 measurements, which will greatly help monitor and reduce greenhouse gas emissions.
The massive emission of greenhouse gases, particularly CO2, has led to severe damage to the Earth’s ecological environment and poses a threat to human health. Many countries have therefore proposed policies to curb the greenhouse effect. Carbon monitoring is a critical prerequisite for realizing these goals, and tracking carbon emission sources can support the precise implementation and advancement of related policies more effectively. The contribution of fossil fuel combustion to greenhouse gas emissions can be inferred by detecting the abundance of 14C in carbon dioxide in a specific region. Conventional 14CO2 detection methods have significant drawbacks, including complicated operation, high cost and large equipment size. Laser absorption spectroscopy (LAS) offers advantages such as real-time, online in-situ measurement and simple operation, making it suitable for the online detection of isotopes. Among the various LAS techniques, noise immunity cavity enhanced optical heterodyne molecular spectroscopy (NICE-OHMS) is the most sensitive. This method integrates frequency modulation spectroscopy (FMS) into cavity enhanced spectroscopy (CES) to suppress the low-frequency noise while increasing the absorption paths, providing a minimum detectable absorption coefficient as low as 10–13. Additionally, the accumulation of high intracavity laser power in NICE-OHMS can stimulate saturation absorption, which has a narrow spectral width that can mitigate spectral overlap. In this work, we model the spectral signals of 14CO2 at different locations and select the transition line of 14CO2 at 2209.108 cm–1 as an optimal measurement target based on the principles of high-intensity and well-resolution. The theoretical analysis of the NICE-OHMS technique is then carried out, and theoretical simulations of a mixed sample of 14CO2 and its nearby interfering gases (13CO2, 12CO2, and N2O), are performed under the simulated experimental conditions. The results of the simulation show that the Doppler broadened spectral signal of 14CO2 is covered by the other gases’ signals with a very low amplitude, which is adverse to the detection of 14CO2. To eliminate the linear slope of the Doppler broadened signal and to further improve the signal-to-noise ratio, we perform 14CO2 spectral measurements by using wavelength-modulated NICE-OHMS (wm-NICE-OHMS). The results of the simulation show that the spectral lines are effectively separated, and the detection accuracy of the 14CO2 ratio is greatly improved. Finally, the effects of pressure and modulation index on the 14CO2 wm-NICE-OHMS signal are analyzed. The results show that when the pressure is 42 mTorr and the modulation index is 1.07, the signal amplitude of wm-NICE-OHMS reaches its maximum. This work lays a theoretical foundation for the high precision detection of 14CO2 in real-time environmental monitoring. The potential for large-scale application of wm-NICE-OHMS in carbon emission tracking is highlighted, providing a more cost-effective alternative to traditional detection methods. Furthermore, the technology is able to suppress spectral interference from other gases and achieve high resolution in 14CO2 measurements, which will greatly help monitor and reduce greenhouse gas emissions.
2025, 74(6): 064210.
doi: 10.7498/aps.74.20241468
Abstract:
A high-precision, calibration-free method of reconstructing molecular absorbance profile is introduced in this work. The method employs a scanning wavelength modulation strategy that integrates low-frequency triangular wave scanning with high-frequency sine wave modulation. Specifically, it utilizes harmonic signals corresponding to the spectral lines at the scanning frequency to reconstruct transmittance information centered around that frequency, with the modulation depth used as the half-width frequency range. Combining low-frequency scanning, the transmittance information of the spectral lines can be obtained accurately. Finally, through interpolating and averaging the transmittance in overlapping frequency regions, the molecular absorbance profile is reconstructed. The main content of this paper is divided into three key parts: theoretical derivation of the harmonic reconstruction method, numerical simulation, and experimental validation. In the theoretical derivation, the instantaneous laser frequency is represented as a parameter “x” by using a cosine function and is subsequently substituted into the Fourier expansion of the laser transmittance. Then the transmittance function is reconstructed based on Chebyshev polynomials. In the numerical simulation, we illustrate the complete process of the harmonic reconstruction method, including harmonic detection, data matrix reconstruction, and the interpolation and average of data matrix slices finally obtain the transmittance function. Subsequently, through numerical simulations, the systematic errors in the reconstructed transmittance functions with different harmonic orders and modulation depths are analyzed and compared. The results show that the systematic error decreases with the harmonic order increasing and increases with the modulation depth increasing. In the experimental verification, in order to evaluate the measurement accuracy of this method, we reconstruct the absorbance profiles for different concentrations of CO2 by using the 6330.821 cm–1 spectral line. The standard deviation of the fitting residual of the absorbance profile is on the order of 10–5. The signal-to-noise ratios for the strong absorption and weak absorption, are 503 and 222, respectively. We conduct 3000 consecutive on-line measurements and compare the harmonic reconstruction method with both the direct absorption method and the second harmonic peak method. Statistical analyses are made regarding the standard deviations and Gaussian distributions of the deduced concentration results. These results indicate that the standard deviation from the harmonic reconstruction method is less than half of those from the direct absorption method and the second harmonic peak method, demonstrating significantly superior measurement stability. This method is expected to become a reliable new method to measure spectral line parameters with high accuracy and monitor weakly absorbing gas parameters online in complex industrial environments.
A high-precision, calibration-free method of reconstructing molecular absorbance profile is introduced in this work. The method employs a scanning wavelength modulation strategy that integrates low-frequency triangular wave scanning with high-frequency sine wave modulation. Specifically, it utilizes harmonic signals corresponding to the spectral lines at the scanning frequency to reconstruct transmittance information centered around that frequency, with the modulation depth used as the half-width frequency range. Combining low-frequency scanning, the transmittance information of the spectral lines can be obtained accurately. Finally, through interpolating and averaging the transmittance in overlapping frequency regions, the molecular absorbance profile is reconstructed. The main content of this paper is divided into three key parts: theoretical derivation of the harmonic reconstruction method, numerical simulation, and experimental validation. In the theoretical derivation, the instantaneous laser frequency is represented as a parameter “x” by using a cosine function and is subsequently substituted into the Fourier expansion of the laser transmittance. Then the transmittance function is reconstructed based on Chebyshev polynomials. In the numerical simulation, we illustrate the complete process of the harmonic reconstruction method, including harmonic detection, data matrix reconstruction, and the interpolation and average of data matrix slices finally obtain the transmittance function. Subsequently, through numerical simulations, the systematic errors in the reconstructed transmittance functions with different harmonic orders and modulation depths are analyzed and compared. The results show that the systematic error decreases with the harmonic order increasing and increases with the modulation depth increasing. In the experimental verification, in order to evaluate the measurement accuracy of this method, we reconstruct the absorbance profiles for different concentrations of CO2 by using the 6330.821 cm–1 spectral line. The standard deviation of the fitting residual of the absorbance profile is on the order of 10–5. The signal-to-noise ratios for the strong absorption and weak absorption, are 503 and 222, respectively. We conduct 3000 consecutive on-line measurements and compare the harmonic reconstruction method with both the direct absorption method and the second harmonic peak method. Statistical analyses are made regarding the standard deviations and Gaussian distributions of the deduced concentration results. These results indicate that the standard deviation from the harmonic reconstruction method is less than half of those from the direct absorption method and the second harmonic peak method, demonstrating significantly superior measurement stability. This method is expected to become a reliable new method to measure spectral line parameters with high accuracy and monitor weakly absorbing gas parameters online in complex industrial environments.
2025, 74(6): 064301.
doi: 10.7498/aps.74.20241322
Abstract:
Since the topological insulator concept was expanded from the field of quantum waves to the field of elastic waves, the research related to the elastic system valley Hall insulator has been developed rapidly because of its novel physical properties, rich design ability for wave modulation and simple implementation conditions. To address the limitations of small energy and inflexible structure of the edge-state transmission of valley Hall insulators in traditional structure, a topological waveguide heterostructure is designed based on the valley locking principle. The original configuration of this structure features a honeycomb lattice connected by rectangular veins. The energy band structure and transmission characteristics of the model are calculated using the equivalent structural parameter method. It is found that there are three Dirac points at the corner point K of the Brillouin zone, and the spatial inversion symmetry of the system can be broken by changing the structural parameters, so as to realize the topological phase transition of the out-of-plane body elastic mode in three frequency bands. The topological heterogeneous structure is formed by superimposing Dirac point phonon crystals between two topological insulators, and the topological waveguide state possesses advantages, such as multiband, tunability, and robustness. The structure can be used to design energy splitters and energy convergers to achieve flexible manipulation of elastic waves. This study enriches topological acoustics, and the designed multi-band elastic topological insulator has potential applications in multi-band communication and information processing.
Since the topological insulator concept was expanded from the field of quantum waves to the field of elastic waves, the research related to the elastic system valley Hall insulator has been developed rapidly because of its novel physical properties, rich design ability for wave modulation and simple implementation conditions. To address the limitations of small energy and inflexible structure of the edge-state transmission of valley Hall insulators in traditional structure, a topological waveguide heterostructure is designed based on the valley locking principle. The original configuration of this structure features a honeycomb lattice connected by rectangular veins. The energy band structure and transmission characteristics of the model are calculated using the equivalent structural parameter method. It is found that there are three Dirac points at the corner point K of the Brillouin zone, and the spatial inversion symmetry of the system can be broken by changing the structural parameters, so as to realize the topological phase transition of the out-of-plane body elastic mode in three frequency bands. The topological heterogeneous structure is formed by superimposing Dirac point phonon crystals between two topological insulators, and the topological waveguide state possesses advantages, such as multiband, tunability, and robustness. The structure can be used to design energy splitters and energy convergers to achieve flexible manipulation of elastic waves. This study enriches topological acoustics, and the designed multi-band elastic topological insulator has potential applications in multi-band communication and information processing.
2025, 74(6): 064701.
doi: 10.7498/aps.74.20241657
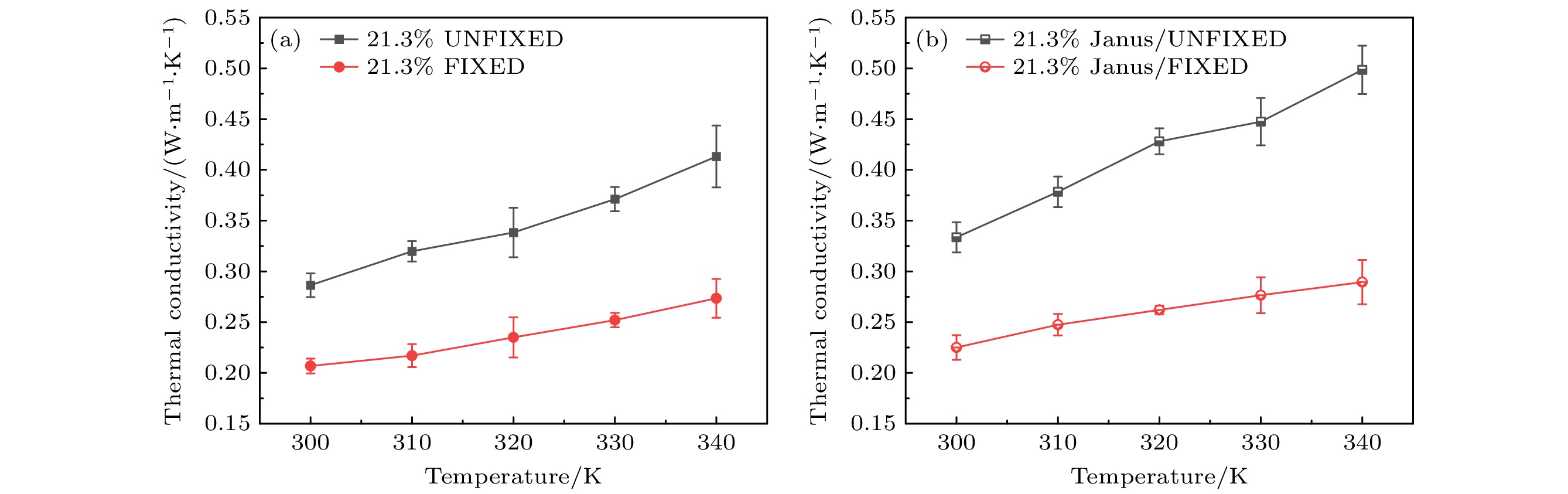
Abstract:
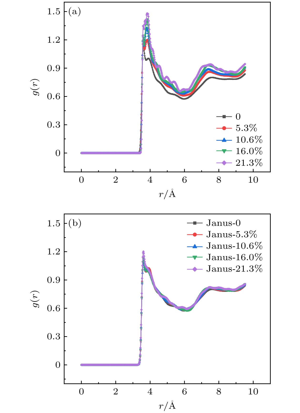
The excellent thermal conductivity of the carbon nanotubes leads to the high thermal conductivity of the nanofluids prepared by carbon nanotubes. The addition of functional groups on the surface of the carbon nanotubes canimprove the stability of the water/CNT nanofluids. The excellent diffusion properties of the Janus particles result in the elevated thermal conductivity of the Janus nanofluids. In thiswork, hydroxylated single-walled carbon nanotube (SWCNT-OH) particles, as Janus particles, are constructed and a water/SWCNT-OH-Janus nanofluid model is proposed by introducing SWCNT-OH particles into a base fluid (water). By using equilibrium molecular dynamics simulations, the thermal conductivity of nanofluids is calculated. The mechanism of the enhanced thermal conductivity is investigated by analyzing the solid-like liquid layers formed by liquid molecules around particles, Brownian motion of CNT particles, and CNT/water interfacial thermal resistance. It can be concluded that the thermal conductivity of the nanofluids with SWCNT-OH particles can be enhanced compared with that of the nanofluids with normal SWCNT particles. The hydrogen bond between hydroxyl group and water molecules results in the adsorption of water molecules onto the surface of carbon nanotube. This process increases the density of the liquid adsorption layer on the CNT surface, thereby enhancing the effect of the solid-liquid layer. The hydroxyl groups on the CNT surface degrade the solid-liquid interfacial thermal resistance, which promotes the heat transfer within the nanofluids. Moreover, the hydroxyl groups also enhance the interaction between the CNT particles and the water molecules,leading to stronger Brownian motionof particles. The combination of these factors will be responsible for the enhancement thermal conductivity of the water/SWCNT-OH nanofluids.For SWCNT-OH-Janus nanofluids, the thermal conductivity can be further enhanced, owing to the strong Brownian motion of the Janus particles.
The excellent thermal conductivity of the carbon nanotubes leads to the high thermal conductivity of the nanofluids prepared by carbon nanotubes. The addition of functional groups on the surface of the carbon nanotubes canimprove the stability of the water/CNT nanofluids. The excellent diffusion properties of the Janus particles result in the elevated thermal conductivity of the Janus nanofluids. In thiswork, hydroxylated single-walled carbon nanotube (SWCNT-OH) particles, as Janus particles, are constructed and a water/SWCNT-OH-Janus nanofluid model is proposed by introducing SWCNT-OH particles into a base fluid (water). By using equilibrium molecular dynamics simulations, the thermal conductivity of nanofluids is calculated. The mechanism of the enhanced thermal conductivity is investigated by analyzing the solid-like liquid layers formed by liquid molecules around particles, Brownian motion of CNT particles, and CNT/water interfacial thermal resistance. It can be concluded that the thermal conductivity of the nanofluids with SWCNT-OH particles can be enhanced compared with that of the nanofluids with normal SWCNT particles. The hydrogen bond between hydroxyl group and water molecules results in the adsorption of water molecules onto the surface of carbon nanotube. This process increases the density of the liquid adsorption layer on the CNT surface, thereby enhancing the effect of the solid-liquid layer. The hydroxyl groups on the CNT surface degrade the solid-liquid interfacial thermal resistance, which promotes the heat transfer within the nanofluids. Moreover, the hydroxyl groups also enhance the interaction between the CNT particles and the water molecules,leading to stronger Brownian motionof particles. The combination of these factors will be responsible for the enhancement thermal conductivity of the water/SWCNT-OH nanofluids.For SWCNT-OH-Janus nanofluids, the thermal conductivity can be further enhanced, owing to the strong Brownian motion of the Janus particles.
2025, 74(6): 064702.
doi: 10.7498/aps.74.20241513
Abstract:
Compared with the lattice Boltzmann equation (LBE) model based on incompressible phase field theory, the LBE based on quasi-incompressible phase field theory has the advantage of local mass conservation. However, previous quasi-incompressible phase-field-based LBE model does not satisfy the well-balanced property, resulting in spurious velocities in the vicinity of interface and density profiles inconsistent with those from thermodynamics. To address this problem, a novel LBE model is developed based on the quasi-incompressible phase-field theory. First, numerical artifacts in the original LBE for the Cahn-Hilliard are analyzed. Based on this analysis, the equilibrium distribution function and source term are reformulated to eliminate the numerical artifacts, enabling the new LBE to realize the well-balanced characteristics at a discrete level. The performance of the proposed LBE model is tested by simulating a number of typical two-phase systems. The numerical results of the planar interface and static droplet problems demonstrate that the present model can eliminate spurious velocities and achieve well-balanced state. Numerical results of the layered Poiseuille flow demonstrate the accuracy of the present model in simulating dynamic two-phase flow problems. The well-balanced properties of the LBE model with two different formulations of surface tension (\begin{document}$ {\boldsymbol{F}}_{{\mathrm{s}}}=-\phi {{\nabla}} \mu$\end{document} and \begin{document}${\boldsymbol{F}}_{{\mathrm{s}}}=\mu {{\nabla}} \phi $\end{document} ) are also investigated. It is found that the formulation of \begin{document}$ {\boldsymbol{F}}_{{\mathrm{s}}}=\mu {{\nabla}} \phi $\end{document} cannot eliminate the spurious velocities, while the formulation of \begin{document}$ {\boldsymbol{F}}_{{\mathrm{s}}}=\mu {{\nabla}} \phi $\end{document} can achieve the well-balanced state. The influences of viscosity formulations of the fluid mixture are also compared. Particularly, four mixing rules are considered. It is shown that the use of step mixing rule gives more accurate results for the layered Poiseuille flow. Finally, we compare the performance of the present quasi-incompressible LBE model with that of the original fully incompressible LBE model by simulating the phase separation problem, and the results show that the present model can ensure the local mass conservation, while the fully incompressible LBE can yield quite different predictions.
Compared with the lattice Boltzmann equation (LBE) model based on incompressible phase field theory, the LBE based on quasi-incompressible phase field theory has the advantage of local mass conservation. However, previous quasi-incompressible phase-field-based LBE model does not satisfy the well-balanced property, resulting in spurious velocities in the vicinity of interface and density profiles inconsistent with those from thermodynamics. To address this problem, a novel LBE model is developed based on the quasi-incompressible phase-field theory. First, numerical artifacts in the original LBE for the Cahn-Hilliard are analyzed. Based on this analysis, the equilibrium distribution function and source term are reformulated to eliminate the numerical artifacts, enabling the new LBE to realize the well-balanced characteristics at a discrete level. The performance of the proposed LBE model is tested by simulating a number of typical two-phase systems. The numerical results of the planar interface and static droplet problems demonstrate that the present model can eliminate spurious velocities and achieve well-balanced state. Numerical results of the layered Poiseuille flow demonstrate the accuracy of the present model in simulating dynamic two-phase flow problems. The well-balanced properties of the LBE model with two different formulations of surface tension (
2025, 74(6): 064703.
doi: 10.7498/aps.74.20241272
Abstract:
The release of trapped droplets in pore-throat structures is of great significance to study multiphase flow in porous media. In this paper, the effects of nanoparticle surfactants on the release behavior of trapped droplets in micro-pore throat are investigated using microfluidic visualization system and fluorescence techniques. We demonstrate a droplet control technique in microchannel and observe the release states of trapped droplets in pore-throat. We obtain the phase diagram of droplet states and establish mathematical models describing the critical transition condition by mechanism analysis. Based on the analysis of force on the trapped droplets, the breakup mechanism and the release mechanism are also obtained when droplets move through the pore-throat. The breakup of droplets is dominated by capillary pressure, with the critical capillary number of breakup being negatively correlated with droplet size. Conversely, the release of droplets is controlled by capillary pressure and hydrostatic pressure, with the critical capillary number of release exhibiting a positive correlation with droplet size. In addition, this research reveals the effect of nanoparticle surfactants on droplet release behavior by analyzing the variation of droplet length with flow velocity and capillary number. Nanoparticle surfactant reduces the critical flow velocity of droplet release but significantly increases the critical capillary number, and this phenomenon becomes more pronounced with the increase of concentrations of nanoparticle surfactants. Fluorescence experiments further elucidate the mechanism by which nanoparticle surfactants inhibit the release of trapped droplets in pore-throat by inducing interfacial viscoelasticity. Nanoparticles react with polymers at the interface to form the viscoelastic film. This film-induced interfacial viscoelasticity hinders droplet deformation and increases the viscous resistance between droplets and wall, thereby impeding the release of trapped droplets in pore-throat.
The release of trapped droplets in pore-throat structures is of great significance to study multiphase flow in porous media. In this paper, the effects of nanoparticle surfactants on the release behavior of trapped droplets in micro-pore throat are investigated using microfluidic visualization system and fluorescence techniques. We demonstrate a droplet control technique in microchannel and observe the release states of trapped droplets in pore-throat. We obtain the phase diagram of droplet states and establish mathematical models describing the critical transition condition by mechanism analysis. Based on the analysis of force on the trapped droplets, the breakup mechanism and the release mechanism are also obtained when droplets move through the pore-throat. The breakup of droplets is dominated by capillary pressure, with the critical capillary number of breakup being negatively correlated with droplet size. Conversely, the release of droplets is controlled by capillary pressure and hydrostatic pressure, with the critical capillary number of release exhibiting a positive correlation with droplet size. In addition, this research reveals the effect of nanoparticle surfactants on droplet release behavior by analyzing the variation of droplet length with flow velocity and capillary number. Nanoparticle surfactant reduces the critical flow velocity of droplet release but significantly increases the critical capillary number, and this phenomenon becomes more pronounced with the increase of concentrations of nanoparticle surfactants. Fluorescence experiments further elucidate the mechanism by which nanoparticle surfactants inhibit the release of trapped droplets in pore-throat by inducing interfacial viscoelasticity. Nanoparticles react with polymers at the interface to form the viscoelastic film. This film-induced interfacial viscoelasticity hinders droplet deformation and increases the viscous resistance between droplets and wall, thereby impeding the release of trapped droplets in pore-throat.
2025, 74(6): 065201.
doi: 10.7498/aps.74.20241639
Abstract:
Laser driven electron beam has important application value in the field of space radiation environment simulation. However, due to the shortcomings of poor spectrum tunability and high laser energy of the electron beam generated by laser direct irradiation of high-density solid targets, its wide application is limited. In this work, a scheme is proposed to simulate the orbital electron radiation in near-Earth space by using laser driven dual-plane composite target electron acceleration. It is found that the high-density solid target II can provide a large number of low energy electrons, while the vertical plane target I located in the front surface of target II can provide a small number of high energy electrons, which makes the electron energy spectrum very close to that of the space radiation environment. In order to evaluate the similarity between the generated energy spectrum and the space radiation spectrum, a method of evaluating the similarity of energy spectra is proposed, which can describe the local similarity and the global similarity of the energy spectra. For vertical plane target I with low density, the electron acceleration is dominated by the laser ponderomotive acceleration that generates a half-wavelength oscillation. As the density increases, the electron acceleration gradually transitions from the laser ponderomotive acceleration to the surface ponderomotive acceleration, and the electron beam energy spectrum is modulated effectively. Meanwhile, the electron temperature of the generated electron beam is linearly related to the length and density of the target I, and the optimal target parameters are obtained by the Bayesian optimization, and the generated electron beam is much better matched to the space radiation environment. Compared with the scheme of laser driven single-plane target electron acceleration, the proposed scheme has better tunability of energy spectrum and lower requirement of laser intensity. The results provide a theoretical reference for the experimental study of simulating space radiation environments in different orbitals by using laser-driven electron beams.
Laser driven electron beam has important application value in the field of space radiation environment simulation. However, due to the shortcomings of poor spectrum tunability and high laser energy of the electron beam generated by laser direct irradiation of high-density solid targets, its wide application is limited. In this work, a scheme is proposed to simulate the orbital electron radiation in near-Earth space by using laser driven dual-plane composite target electron acceleration. It is found that the high-density solid target II can provide a large number of low energy electrons, while the vertical plane target I located in the front surface of target II can provide a small number of high energy electrons, which makes the electron energy spectrum very close to that of the space radiation environment. In order to evaluate the similarity between the generated energy spectrum and the space radiation spectrum, a method of evaluating the similarity of energy spectra is proposed, which can describe the local similarity and the global similarity of the energy spectra. For vertical plane target I with low density, the electron acceleration is dominated by the laser ponderomotive acceleration that generates a half-wavelength oscillation. As the density increases, the electron acceleration gradually transitions from the laser ponderomotive acceleration to the surface ponderomotive acceleration, and the electron beam energy spectrum is modulated effectively. Meanwhile, the electron temperature of the generated electron beam is linearly related to the length and density of the target I, and the optimal target parameters are obtained by the Bayesian optimization, and the generated electron beam is much better matched to the space radiation environment. Compared with the scheme of laser driven single-plane target electron acceleration, the proposed scheme has better tunability of energy spectrum and lower requirement of laser intensity. The results provide a theoretical reference for the experimental study of simulating space radiation environments in different orbitals by using laser-driven electron beams.
2025, 74(6): 066401.
doi: 10.7498/aps.74.20241503
Abstract:
It is generally believed that topological insulators are highly immune to non-magnetic defects, but there is still a lack of verification on a mesoscopic scale of device applications. We take SiSnF2 monolayer ribbons as an illustration to study the effects of defects and sizes on the electron transport in topological insulators. First-principles calculations show that SiSnF2 is transformed into a topological insulator under a tensile strain greater than 2%. The data of an effective tight-binding model are obtained by using a genetic algorithm to calculate the transport properties of the topological insulator SiSnF2 ribbons, and it is found that edge states can also be disrupted by random vacancy defects. For a ribbon with a length of 18.8 nm and a width of 8.2 nm, when it has no defects, the current is concentrated at its edge, and its conductance is an ideal value of the topological edge state, 2e2/h. When the defect concentration is 1%, the edge current is appreciably disturbed, but the backscattering is still effectively suppressed, and the current bypasses the defect and still goes forward. When the concentration is 5%, the edge electrons are scattered deep into the ribbon and scattered with the opposite edge, destroying the topological edge state and reducing the conductance to 0.6e2/h. Therefore, the transformation from topological to normal insulator caused by defects happens gradually rather than suddenly. Found in this study is an obvious transport quantum size effect, i.e. increasing the ribbon width can reduce electron scattering between edges and enhance the stability of topological edge states; while increasing the length will increase electron localization and electron scattering between edges, reducing the stability of topological edge states.
It is generally believed that topological insulators are highly immune to non-magnetic defects, but there is still a lack of verification on a mesoscopic scale of device applications. We take SiSnF2 monolayer ribbons as an illustration to study the effects of defects and sizes on the electron transport in topological insulators. First-principles calculations show that SiSnF2 is transformed into a topological insulator under a tensile strain greater than 2%. The data of an effective tight-binding model are obtained by using a genetic algorithm to calculate the transport properties of the topological insulator SiSnF2 ribbons, and it is found that edge states can also be disrupted by random vacancy defects. For a ribbon with a length of 18.8 nm and a width of 8.2 nm, when it has no defects, the current is concentrated at its edge, and its conductance is an ideal value of the topological edge state, 2e2/h. When the defect concentration is 1%, the edge current is appreciably disturbed, but the backscattering is still effectively suppressed, and the current bypasses the defect and still goes forward. When the concentration is 5%, the edge electrons are scattered deep into the ribbon and scattered with the opposite edge, destroying the topological edge state and reducing the conductance to 0.6e2/h. Therefore, the transformation from topological to normal insulator caused by defects happens gradually rather than suddenly. Found in this study is an obvious transport quantum size effect, i.e. increasing the ribbon width can reduce electron scattering between edges and enhance the stability of topological edge states; while increasing the length will increase electron localization and electron scattering between edges, reducing the stability of topological edge states.
2025, 74(6): 068901.
doi: 10.7498/aps.74.20241256
Abstract:
In complex networks, the accurate assessing of node importance is essential for understanding critical structures and optimizing dynamic processes. Traditional gravity-based methods often rely on local attributes or global shortest paths, which exhibit limitations in heterogeneous networks due to insufficient differentiation of node roles and their influences in different topologies. To address these challenges, we propose the bi-dimensional gravity influence model (BGIM) and its enhanced version (BGIM+). These models introduce a novel entropy-weighted gravity framework that integrates node information entropy, gravity correction factors, and asymmetric attraction factors. By replacing degree centrality with information entropy, BGIM captures nodes’ uncertainty and information richness, offering a more comprehensive view of their potential influence. The gravity correction factor (NGCF) combines eigenvector centrality with network constraint coefficients to balance global feature and local feature, while the asymmetric attraction factor (AAF) consider gravitational asymmetry between core and peripheral nodes. This bi-dimensional method can evaluate the node importance in more detail and solve the problem of imbalanced influence distribution in different network structures. A normalization mechanism further enhances adaptability, thus ensuring robust performance in both sparse and dense networks. Extensive experiments on real-world (e.g., Jazz, USAir, Email, Router) and synthetic (LFR-generated) networks validate the proposed models. The results demonstrate that BGIM and BGIM+ consistently outperform classical methods (such as Degree, Closeness, and Betweenness centralities) in identifying critical nodes and predicting their roles in propagation dynamics. In particular, BGIM+ exhibits superior performance in networks with complex topology, achieving high correlation with SIR (Susceptible-Infected-Recovered) model simulations under different propagation rates. Moreover, BGIM+ effectively balances the influences of local hubs and global bridges, thus it is particularly suitable for heterogeneous networks. This study highlights the significance of incorporating multidimensional features into gravity models for accurate and robust node evaluation. The proposed model advances the development of complex network analysis by providing a universal tool for identifying influential nodes indifferent applications, including epidemic control, information dissemination, and infrastructure resilience. The applicability of BGIM in temporal and dynamic network contexts will be explored in future, so as to further expand its application scope.
2025, 74(6): 067101.
doi: 10.7498/aps.74.20241587
Abstract:
Erbium-doped aluminum nitride (AlN:Er3+) pine-shaped nanostructures are synthesized, through a direct reaction between aluminum (Al) and erbium oxide (Er2O3) mixed powders in a nitrogen (N2) atmosphere, by using a direct current arc discharge plasma method. X-ray diffraction (XRD) analysis reveals that the diffraction peaks of AlN:Er3+ shift towards lower angles for the doped sample compared with those of undoped AlN, indicating lattice expansion due to Er3+ incorporation. X-ray photoelectron spectroscopy (XPS) confirms that Al, N, and Er are coexistent, while energy-dispersive X-ray spectroscopy (EDS) quantitatively shows that the atomic ratio for Al:N:Er is about 46.9∶52.8∶0.3. The nanostructures, resembling pine trees, are measured to be 5–10 μm in height and 1–3 μm in width, with branch nanowires extending 500 nm–1 μm in length and 50–100 nm in diameter. These branches, radiating at about 60° from the main trunk, are found to grow along the [100] direction of wurtzite-structured AlN, as evidenced by high-resolution transmission electron microscopy (HRTEM) showing lattice spacing of 0.27 nm corresponding to the (100) plane. Photoluminescence studies identify distinct emission peaks in the visible region (527, 548, and 679 nm) and near-infrared region (801, 871, and 977 nm), which is attributed to intra-4f electron transitions of Er3+ ions. The average lifetime of the excited state at 548 nm is measured to be 9.63 μs, slightly shorter than those of other Er3+-doped materials. The nanostructures demonstrate that the superior temperature sensing capability possesses a maximum relative sensitivity of 1.9×10–2 K–1 at 293 K, based on the fluorescence intensity ratio of thermal-coupled levels (2H11/2/4S3/2). Magnetic characterization reveals that the room-temperature ferromagnetism has a saturation magnetization of 0.055 emu/g and a coercive field of 49 Oe, with a Curie temperature exceeding 300 K, which shows the potential for room-temperature spintronic applications. First-principle calculations attribute the observed ferromagnetism to Al vacancies, whose formation energy is significantly reduced by Er doping, leading to a high concentration of Al vacancies. These findings highlight the potential of AlN:Er3+ pine-shaped nanostructures in various applications, including optoelectronics, temperature sensing, and dilute magnetic semiconductors.
Erbium-doped aluminum nitride (AlN:Er3+) pine-shaped nanostructures are synthesized, through a direct reaction between aluminum (Al) and erbium oxide (Er2O3) mixed powders in a nitrogen (N2) atmosphere, by using a direct current arc discharge plasma method. X-ray diffraction (XRD) analysis reveals that the diffraction peaks of AlN:Er3+ shift towards lower angles for the doped sample compared with those of undoped AlN, indicating lattice expansion due to Er3+ incorporation. X-ray photoelectron spectroscopy (XPS) confirms that Al, N, and Er are coexistent, while energy-dispersive X-ray spectroscopy (EDS) quantitatively shows that the atomic ratio for Al:N:Er is about 46.9∶52.8∶0.3. The nanostructures, resembling pine trees, are measured to be 5–10 μm in height and 1–3 μm in width, with branch nanowires extending 500 nm–1 μm in length and 50–100 nm in diameter. These branches, radiating at about 60° from the main trunk, are found to grow along the [100] direction of wurtzite-structured AlN, as evidenced by high-resolution transmission electron microscopy (HRTEM) showing lattice spacing of 0.27 nm corresponding to the (100) plane. Photoluminescence studies identify distinct emission peaks in the visible region (527, 548, and 679 nm) and near-infrared region (801, 871, and 977 nm), which is attributed to intra-4f electron transitions of Er3+ ions. The average lifetime of the excited state at 548 nm is measured to be 9.63 μs, slightly shorter than those of other Er3+-doped materials. The nanostructures demonstrate that the superior temperature sensing capability possesses a maximum relative sensitivity of 1.9×10–2 K–1 at 293 K, based on the fluorescence intensity ratio of thermal-coupled levels (2H11/2/4S3/2). Magnetic characterization reveals that the room-temperature ferromagnetism has a saturation magnetization of 0.055 emu/g and a coercive field of 49 Oe, with a Curie temperature exceeding 300 K, which shows the potential for room-temperature spintronic applications. First-principle calculations attribute the observed ferromagnetism to Al vacancies, whose formation energy is significantly reduced by Er doping, leading to a high concentration of Al vacancies. These findings highlight the potential of AlN:Er3+ pine-shaped nanostructures in various applications, including optoelectronics, temperature sensing, and dilute magnetic semiconductors.
2025, 74(6): 067201.
doi: 10.7498/aps.74.20241691
Abstract:
In this work, we investigate a one-dimensional two-boson system with complex interaction modulation, described by the Hamiltonian: \begin{document}$\hat{H}=-J\displaystyle\sum\nolimits_{j}\left(\hat{c}_j^\dagger\hat{c}_{j+1}+{\rm h.c}\right)+\sum\nolimits_{j}\frac{U}{2}{\rm e}^{2{\rm i}\pi\alpha j}\hat{n}_j\left(\hat{n}_j-1\right), $\end{document} where U is the interaction amplitude, and the modulation frequency \begin{document}$\alpha=(\sqrt{5}-1)$\end{document} is an irrational number. The interaction satisfies \begin{document}$U_{-j}=U^*_j$\end{document} , which ensures that the system possesses party-time (PT) reversal symmetry. Using the exact diagonalization method, we numerically calculate the real-to-complex transition of the energy spectrum, Shannon entropy, the normalized participation ration, and the topological winding number. For small U, all eigenvalues are real. However, as U increases, eigenvalues corresponding to two particles occupying the same site become complex, marking a PT symmetry-breaking transition at \begin{document}$U=2$\end{document} . This point signifies a real-to-complex transition in the spectrum. To characterize the localization properties of the system, we employ the Shannon entropy and the normalized participation ration (NPR). When \begin{document}$U<2$\end{document} , all the eigenstates are extended, exhibiting high Shannon entropy and NPR values. Conversely, for \begin{document}$U>2$\end{document} , states with complex eigenvalues show low Shannon entropy and significantly reduced NPR, indicating localization. Meanwhile, states with real eigenvalues remain extended in this regime. We further analyze the topological aspects of the system by using the winding number. A topological phase transition occurs at \begin{document}$U=2$\end{document} , where the winding number changes from 0 to 1. This transition coincides with the onset of PT symmetry breaking and the localization transition. The dynamical evolution can be used to detect the localization properties and the real-to-complex transition, with the initial state being two bosons occupying the center site of the chain simultaneously. Finally, we propose an experimental realization by using a two-dimensional linear photonic waveguide array. The modulated interaction can be controlled by adjusting the real part and imaginary part of the refractive index of diagonal waveguide. To simulate this non-Hermitian two-body problem, we numerically calculate the density distribution of the wave packet in a two-dimensional plane, which indirectly reflects the propagation of light in a two-dimensional waveguide array. We hope that our work can deepen the understanding of the relation between interaction and disorder while arousing further interest in two-body systems and non-Hermitian localization.
2025, 74(6): 067301.
doi: 10.7498/aps.74.20241515
Abstract:
Methylene blue (MB), as an organic dye, exhibits rich photophysical properties when interacting with metal nanoparticles. Based on the double Rabi splitting experiment of MB molecular clusters and dual metal nanoparticles in a silver nanocavity, a cluster model composed of MB molecular monomers and dimers is developed and placed in a nanocavity environment consisting of two metal nanoparticles in this work. The density matrix theory framework combined with dipole approximation is used to calculate the coupling dynamics of the hybrid state formed between MB molecular clusters and dual metal nanoparticles. The semi-classical model is used to deal with the coupling of external fieldsand molecules and plasmons, and the multi-mode coupling effect caused by the interaction between multi-exciton states and plasmons is discussed. The results are qualitatively consistent with experimental results. The research results show that under the excitation of strong short pulse fields, single-mode coupling occurs mainly between MB monomers and nanocavities, forming new hybrid states. When the molecular cluster is composed of a mixture of monomers and dimers, it forms a multi-mode coupling state with the nanocavity. As the pulse width decreases, more exciton states and plasmon states are activated, which not only enhances the coupling effect but also further expands the excitation range of excitons. The effects of exciton decoherence rate and intermolecular distance on the coupling process are explored. The results show that the coupling strength increases with the exciton decoherence rate decreasing, that is, the longer the exciton decoherence time, the greater the coupling strength will be. This is because a longer decoherence time means that the exciton state has a longer lifetime and can more effectively couple with the plasmonic state. Meanwhile, molecular spacing is also an important factor affecting coupling behaviors. When the intermolecular distance is small, the coupling between excitons is enhanced, which leads to an increase of the splitting of hybrid energy levels, thereby promoting more excitons to couple with plasmons. The study of the multi-mode coupling mechanism between MB molecular clusters and dual metal nanoparticle structures reveals that under the interaction between multi-exciton states and plasmons, more hybrid energy levels can be generated in the composite system, leading the optical response peak to change accordingly. This work not only deepens our understanding of the coupling between molecules and plasmons but also provides theoretical insights for designing efficient light harvesting and conversion materials.
Methylene blue (MB), as an organic dye, exhibits rich photophysical properties when interacting with metal nanoparticles. Based on the double Rabi splitting experiment of MB molecular clusters and dual metal nanoparticles in a silver nanocavity, a cluster model composed of MB molecular monomers and dimers is developed and placed in a nanocavity environment consisting of two metal nanoparticles in this work. The density matrix theory framework combined with dipole approximation is used to calculate the coupling dynamics of the hybrid state formed between MB molecular clusters and dual metal nanoparticles. The semi-classical model is used to deal with the coupling of external fieldsand molecules and plasmons, and the multi-mode coupling effect caused by the interaction between multi-exciton states and plasmons is discussed. The results are qualitatively consistent with experimental results. The research results show that under the excitation of strong short pulse fields, single-mode coupling occurs mainly between MB monomers and nanocavities, forming new hybrid states. When the molecular cluster is composed of a mixture of monomers and dimers, it forms a multi-mode coupling state with the nanocavity. As the pulse width decreases, more exciton states and plasmon states are activated, which not only enhances the coupling effect but also further expands the excitation range of excitons. The effects of exciton decoherence rate and intermolecular distance on the coupling process are explored. The results show that the coupling strength increases with the exciton decoherence rate decreasing, that is, the longer the exciton decoherence time, the greater the coupling strength will be. This is because a longer decoherence time means that the exciton state has a longer lifetime and can more effectively couple with the plasmonic state. Meanwhile, molecular spacing is also an important factor affecting coupling behaviors. When the intermolecular distance is small, the coupling between excitons is enhanced, which leads to an increase of the splitting of hybrid energy levels, thereby promoting more excitons to couple with plasmons. The study of the multi-mode coupling mechanism between MB molecular clusters and dual metal nanoparticle structures reveals that under the interaction between multi-exciton states and plasmons, more hybrid energy levels can be generated in the composite system, leading the optical response peak to change accordingly. This work not only deepens our understanding of the coupling between molecules and plasmons but also provides theoretical insights for designing efficient light harvesting and conversion materials.
2025, 74(6): 067501.
doi: 10.7498/aps.74.20241626
Abstract:
M-type strontium ferrite has attracted widespread attention in the field of permanent magnet materials due to its unique magnetic properties, dielectric performance, and thermal stability. However, compared with rare-earth permanent magnets such as Nd2Fe14B, strontium ferrite (SrFe12O19) permanent magnets possess relatively low comprehensive magnetic properties, which limits their application range. The effects of Ca-Co (Zn) doping on the electronic structure, mechanical properties, and magnetic properties of M-type strontium ferrite are systematically investigated by first-principles plane-wave pseudopotential method based on density functional theory (DFT), combined with the generalized gradient approximation (GGA + U ) in this work. The calculation results indicate that the Ca-Co (Zn) co-doped M-type strontium ferrite systems exhibit good structural stability and mechanical properties. In the Ca-Zn co-doped structures, the conductivity of the system is enhanced because of the substitution of divalent Zn ionsfortrivalent Fe ions at the 4f1 site. The Ca-Co (Zn) co-doping increases the total magnetic moment of the system, while the magnetocrystalline anisotropy energy decreases. However, compared with the single Co doped system and single Zn doped system, the Co-Zn co-doped system has the magnetocrystalline anisotropy energy improved, indicating that Ca-Co (Zn) co-doping can effectively enhance the magnetic properties of strontium ferrite. In this work, the mechanisms of the effects of Ca-Co and Ca-Zn co-doping on the magnetocrystalline anisotropy energy of strontium ferrite are also analyzed. The results indicate that the decrease of magnetocrystalline anisotropy energy in the Ca-Co co-doped system is mainly due to the effects of dxy and\begin{document}${\mathrm{d}}_{x^2-y^2} $\end{document} orbital electrons of Co3+ ion and dxy and \begin{document}${\mathrm{d}}_{x^2-y^2} $\end{document} orbital electrons of Fe ions at the 2b site. In the Ca-Zn co-doped system, the reduction is mainly influenced by Fe-3d orbitals at the 4f1 site, while the dxy and \begin{document}${\mathrm{d}}_{x^2 - y^2} $\end{document} orbital electrons of the 2b site enhance the magnetocrystalline anisotropy energy of the system. These results provide theoretical guidance for modifying M-type strontium ferritein future.
M-type strontium ferrite has attracted widespread attention in the field of permanent magnet materials due to its unique magnetic properties, dielectric performance, and thermal stability. However, compared with rare-earth permanent magnets such as Nd2Fe14B, strontium ferrite (SrFe12O19) permanent magnets possess relatively low comprehensive magnetic properties, which limits their application range. The effects of Ca-Co (Zn) doping on the electronic structure, mechanical properties, and magnetic properties of M-type strontium ferrite are systematically investigated by first-principles plane-wave pseudopotential method based on density functional theory (DFT), combined with the generalized gradient approximation (GGA + U ) in this work. The calculation results indicate that the Ca-Co (Zn) co-doped M-type strontium ferrite systems exhibit good structural stability and mechanical properties. In the Ca-Zn co-doped structures, the conductivity of the system is enhanced because of the substitution of divalent Zn ionsfortrivalent Fe ions at the 4f1 site. The Ca-Co (Zn) co-doping increases the total magnetic moment of the system, while the magnetocrystalline anisotropy energy decreases. However, compared with the single Co doped system and single Zn doped system, the Co-Zn co-doped system has the magnetocrystalline anisotropy energy improved, indicating that Ca-Co (Zn) co-doping can effectively enhance the magnetic properties of strontium ferrite. In this work, the mechanisms of the effects of Ca-Co and Ca-Zn co-doping on the magnetocrystalline anisotropy energy of strontium ferrite are also analyzed. The results indicate that the decrease of magnetocrystalline anisotropy energy in the Ca-Co co-doped system is mainly due to the effects of dxy and
2025, 74(6): 067801.
doi: 10.7498/aps.74.20241576
Abstract:
A monolayer graphene-based tunable triple-band terahertz plasmon device with superior sensing and slow light performance is proposed in this work. A very obvious dual PIT phenomenon is observed by adjusting the device structure. Then, the transmission curves and electric field distributions of the long- and short-graphene band at the three transmission windows are analyzed, to further investigate the mechanism of the bright mode and the dark mode of this structure. Afterward, the comparison between the theoretical data from the coupled-mode theory (CMT) and the simulation results of finite difference time domain (FDTD) shows that they are in excellent agreement with each other. In addition, the effective refractive indices of the real and imaginary parts at different Fermi energy levels are analyzed. The effective refractive indices are linearly related to the Fermi energy level. In this research, it is found that the phase of the electromagnetic wave fluctuates strongly at the transmission window. With the increase of the Fermi energy level, the peak frequency of the group refractive index peak value increases. When the Fermi energy level is at 1.1 eV, the peak value of the group refractive index reaches 327.1. In order to study the sensing effect of this device in more depth, various refractive indices of the medium are tested. Based on these results it can be seen that the device has excellent sensing performance. Its sensitivity and figure of merit (FOM) reach up to 1.442 THz/RIU and 39.6921, respectively. Compared with the traditional structure, this structure can regulate the Fermi energy levels very conveniently by applying a voltage, in order to modulate the resonant frequency of the dual PIT. The findings in this study are expected to lay a theoretical foundation and provide a design reference for potential applications in fields such as slow light technology and sensing.
A monolayer graphene-based tunable triple-band terahertz plasmon device with superior sensing and slow light performance is proposed in this work. A very obvious dual PIT phenomenon is observed by adjusting the device structure. Then, the transmission curves and electric field distributions of the long- and short-graphene band at the three transmission windows are analyzed, to further investigate the mechanism of the bright mode and the dark mode of this structure. Afterward, the comparison between the theoretical data from the coupled-mode theory (CMT) and the simulation results of finite difference time domain (FDTD) shows that they are in excellent agreement with each other. In addition, the effective refractive indices of the real and imaginary parts at different Fermi energy levels are analyzed. The effective refractive indices are linearly related to the Fermi energy level. In this research, it is found that the phase of the electromagnetic wave fluctuates strongly at the transmission window. With the increase of the Fermi energy level, the peak frequency of the group refractive index peak value increases. When the Fermi energy level is at 1.1 eV, the peak value of the group refractive index reaches 327.1. In order to study the sensing effect of this device in more depth, various refractive indices of the medium are tested. Based on these results it can be seen that the device has excellent sensing performance. Its sensitivity and figure of merit (FOM) reach up to 1.442 THz/RIU and 39.6921, respectively. Compared with the traditional structure, this structure can regulate the Fermi energy levels very conveniently by applying a voltage, in order to modulate the resonant frequency of the dual PIT. The findings in this study are expected to lay a theoretical foundation and provide a design reference for potential applications in fields such as slow light technology and sensing.
2025, 74(6): 067802.
doi: 10.7498/aps.74.20250042
Abstract:
Ternary GaAsSb nanowires (NWs) have considerable potential applications in infrared optical nanodevices due to their direct bandgap and wavelength-tunable light emission which covers the range from 870 nm to 1700 nm by changing the content of Sb in GaAsSb NWs. Due to the high surface state density, the light emission efficiency of GaAsSb NWs is quite low and the light emission is difficult to observe under room-temperature conditions. Previous studies on the optical properties of GaAsSb NWs were mainly carried out under low-temperature conditions, thereby limiting their room-temperature optical properties modulation research and room-temperature applications. In the present study, we modulate the optical properties of GaAsSb NWs under room-temperature conditions through the high-pressure strategy, by means of both photoluminescence (PL) and Raman spectroscopy. With the increase of pressure, the PL intensity of GaAsSb NWs is obviously enhanced at room temperature and the PL peak position shows a blue-shifted trend. With the change of wavelength (473 nm, 514 nm, and 633 nm) of the incident laser, the excitation-wavelength-dependent PL can be observed in GaAsSb NWs. The laser with a longer wavelength (633 nm) will excite the stronger light emission. The Raman spectra of GaAsSb NWs excited by different lasers (473 nm, 514 nm, and 633 nm) all show blue shift under compression. We select four pressure points (0.7 GPa, 1.2 GPa, 1.8 GPa, and 2.5 GPa) for the detailed comparison between the Raman spectra excited by different lasers. Under the excitation of 473 nm laser, the Raman peaks of GaAsSb NWs show an evident red-shift compared with those excited by 514 nm or 633 nm laser, which reveals the existence of temperature difference. The estimated relative temperature difference in GaAsSb NWs induced by two different lasers (473 nm and 633 nm) can reach up to 200 K. The laser with shorter wavelength will induce a stronger heating effect in GaAsSb NWs and reduce the light-emission efficiency. Under high-pressure condition, the charge transfer between the surface of GaAsSb NWs and pressure transmitting medium can be enhanced, which resulting in the reduction of surface state density and laser-heating effect. Therefore, the high-pressure strategy provides an efficient route for suppressing the high surface state density and optimizing optical properties of semiconductor nanostructures.
Ternary GaAsSb nanowires (NWs) have considerable potential applications in infrared optical nanodevices due to their direct bandgap and wavelength-tunable light emission which covers the range from 870 nm to 1700 nm by changing the content of Sb in GaAsSb NWs. Due to the high surface state density, the light emission efficiency of GaAsSb NWs is quite low and the light emission is difficult to observe under room-temperature conditions. Previous studies on the optical properties of GaAsSb NWs were mainly carried out under low-temperature conditions, thereby limiting their room-temperature optical properties modulation research and room-temperature applications. In the present study, we modulate the optical properties of GaAsSb NWs under room-temperature conditions through the high-pressure strategy, by means of both photoluminescence (PL) and Raman spectroscopy. With the increase of pressure, the PL intensity of GaAsSb NWs is obviously enhanced at room temperature and the PL peak position shows a blue-shifted trend. With the change of wavelength (473 nm, 514 nm, and 633 nm) of the incident laser, the excitation-wavelength-dependent PL can be observed in GaAsSb NWs. The laser with a longer wavelength (633 nm) will excite the stronger light emission. The Raman spectra of GaAsSb NWs excited by different lasers (473 nm, 514 nm, and 633 nm) all show blue shift under compression. We select four pressure points (0.7 GPa, 1.2 GPa, 1.8 GPa, and 2.5 GPa) for the detailed comparison between the Raman spectra excited by different lasers. Under the excitation of 473 nm laser, the Raman peaks of GaAsSb NWs show an evident red-shift compared with those excited by 514 nm or 633 nm laser, which reveals the existence of temperature difference. The estimated relative temperature difference in GaAsSb NWs induced by two different lasers (473 nm and 633 nm) can reach up to 200 K. The laser with shorter wavelength will induce a stronger heating effect in GaAsSb NWs and reduce the light-emission efficiency. Under high-pressure condition, the charge transfer between the surface of GaAsSb NWs and pressure transmitting medium can be enhanced, which resulting in the reduction of surface state density and laser-heating effect. Therefore, the high-pressure strategy provides an efficient route for suppressing the high surface state density and optimizing optical properties of semiconductor nanostructures.
2025, 74(6): 068501.
doi: 10.7498/aps.74.20241744
Abstract:
The discovery of ultrafast demagnetization has provided a new means for generating ultrafast spin currents by using an ultrashort laser, potentially enabling faster manipulation of material magnetism. This has sparked research on the transport mechanisms of ultrafast spin currents. However, the basic processes are still poorly understood, especially the factors influencing interlayer spin transfer. In this work, a superdiffusive spin transport model is used to investigate the ultrafast spin transport mechanism in the Ni/Ru/Fe spin valve system, with a particular focus on how interlayer spin transfer affects the ultrafast magnetization dynamics of the ferromagnetic layer. First, by calculating the laser-induced magnetization dynamics of the Ni/Ru/Fe system under different magnetization alignments, the recent experimental findings are validated. Further analysis shows that reducing the thickness of the Ru spacer layer will significantly enhance the spin current intensity and increase the demagnetization difference in the Fe layer, confirming the key role of the hot electron spin current generated by the Ni layer in interlayer spin transport. In addition, the spin decay length of hot electron spin currents in the spacer Ru layer is determined to be approximately 0.5 nm. This work also shows that laser-induced transient magnetization enhancement can be achieved by adjusting the relative laser absorption in the films. These results provide theoretical support for ultrafast magnetic control of future spin valve structures and contribute to the development of spintronics in high-speed information processing and storage applications.
The discovery of ultrafast demagnetization has provided a new means for generating ultrafast spin currents by using an ultrashort laser, potentially enabling faster manipulation of material magnetism. This has sparked research on the transport mechanisms of ultrafast spin currents. However, the basic processes are still poorly understood, especially the factors influencing interlayer spin transfer. In this work, a superdiffusive spin transport model is used to investigate the ultrafast spin transport mechanism in the Ni/Ru/Fe spin valve system, with a particular focus on how interlayer spin transfer affects the ultrafast magnetization dynamics of the ferromagnetic layer. First, by calculating the laser-induced magnetization dynamics of the Ni/Ru/Fe system under different magnetization alignments, the recent experimental findings are validated. Further analysis shows that reducing the thickness of the Ru spacer layer will significantly enhance the spin current intensity and increase the demagnetization difference in the Fe layer, confirming the key role of the hot electron spin current generated by the Ni layer in interlayer spin transport. In addition, the spin decay length of hot electron spin currents in the spacer Ru layer is determined to be approximately 0.5 nm. This work also shows that laser-induced transient magnetization enhancement can be achieved by adjusting the relative laser absorption in the films. These results provide theoretical support for ultrafast magnetic control of future spin valve structures and contribute to the development of spintronics in high-speed information processing and storage applications.
2025, 74(6): 069401.
doi: 10.7498/aps.74.20241259
Abstract:
High-altitude nuclear explosions can inject large amounts of relativistic electrons into the inner magnetosphere, resulting in the formation of artificial radiation belts. These high-energy electrons pose a potential threat to spacecraft due to their long-term stability and influence on space weather. The investigation of the formation and evolution of artificial radiation belts is of great significance for the safety of spacecraft and human space activities. In this study, the comprehensive inner magnetosphere-ionosphere (CIMI) model is used to simulate the transition of electrons from a locally concentrated distribution to an azimuthally uniform distribution, which reveals the spiral encircling, azimuthal expansion, and diffusion behaviors exhibited by the electron cloud during the formation of artificial radiation belts. The CIMI model is a four-dimensional model based on the Fokker-Planck equation. It simulates the evolution of particles across four degrees of freedom: radial, azimuthal, energy, and equatorial pitch angle. Unlike previous studies that mainly focus on the long-term evolution of artificial radiation belts already reaching azimuthal uniformity, this work specifically ascertains the azimuthal evolution process of the injected electrons and how they form the artificial radiation belts. Numerical simulations are conducted on the captured nuclear explosion electrons initially concentrated at L = 1.1–2.2 and covering approximately one time zone azimuthally. The results show that the injected electrons primarily evolve into an azimuthally uniform distribution through a spiral encircling process, with diffusion playing a smaller role. In this process, the electrons undergo eastward drift, with those at higher altitudes exhibiting faster drift velocities. The velocity shear leads to the formation of a helical structure around the Earth. Additionally, the formation of this spiral structure is accompanied by azimuthal expansion, driven mainly by energy and pitch angle dispersion during the drift. Electrons with different energy values and equatorial pitch angles exhibit varying drift speeds, contributing to the azimuthal expansion of electron clusters during the drift. The expansion process can fill the gaps in the helical structure. Ultimately, the electron distribution achieves azimuthal uniformity through energy-pitch angle diffusion.
High-altitude nuclear explosions can inject large amounts of relativistic electrons into the inner magnetosphere, resulting in the formation of artificial radiation belts. These high-energy electrons pose a potential threat to spacecraft due to their long-term stability and influence on space weather. The investigation of the formation and evolution of artificial radiation belts is of great significance for the safety of spacecraft and human space activities. In this study, the comprehensive inner magnetosphere-ionosphere (CIMI) model is used to simulate the transition of electrons from a locally concentrated distribution to an azimuthally uniform distribution, which reveals the spiral encircling, azimuthal expansion, and diffusion behaviors exhibited by the electron cloud during the formation of artificial radiation belts. The CIMI model is a four-dimensional model based on the Fokker-Planck equation. It simulates the evolution of particles across four degrees of freedom: radial, azimuthal, energy, and equatorial pitch angle. Unlike previous studies that mainly focus on the long-term evolution of artificial radiation belts already reaching azimuthal uniformity, this work specifically ascertains the azimuthal evolution process of the injected electrons and how they form the artificial radiation belts. Numerical simulations are conducted on the captured nuclear explosion electrons initially concentrated at L = 1.1–2.2 and covering approximately one time zone azimuthally. The results show that the injected electrons primarily evolve into an azimuthally uniform distribution through a spiral encircling process, with diffusion playing a smaller role. In this process, the electrons undergo eastward drift, with those at higher altitudes exhibiting faster drift velocities. The velocity shear leads to the formation of a helical structure around the Earth. Additionally, the formation of this spiral structure is accompanied by azimuthal expansion, driven mainly by energy and pitch angle dispersion during the drift. Electrons with different energy values and equatorial pitch angles exhibit varying drift speeds, contributing to the azimuthal expansion of electron clusters during the drift. The expansion process can fill the gaps in the helical structure. Ultimately, the electron distribution achieves azimuthal uniformity through energy-pitch angle diffusion.








