SPECIAL TOPIC—Quantum information processing
EDITOR'S SUGGESTION
2025, 74 (21): 210302.
doi: 10.7498/aps.74.20250920
Abstract +
SPECIAL TOPIC—Ultrafast physics in atomic, molecular and optical systems
EDITOR'S SUGGESTION
2025, 74 (21): 213201.
doi: 10.7498/aps.74.20250999
Abstract +
SPECIAL TOPIC—Technology of magnetic resonance
EDITOR'S SUGGESTION
2025, 74 (21): 218701.
doi: 10.7498/aps.74.20250771
Abstract +
GENERAL
2025, 74 (21): 210201.
doi: 10.7498/aps.74.20250895
Abstract +
EDITOR'S SUGGESTION
2025, 74 (21): 210301.
doi: 10.7498/aps.74.20250877
Abstract +
In quantum resource theories, manipulating and transforming resource states are often challenging due to the presence of noise. The resource manipulation process from a high resource state $ {\boldsymbol \rho} $ to a low resource state $ {\boldsymbol \rho} ' $ involves asymptotic multiple state replicas, which can be considered as overcoming this problem. Here, the asymptomatic transformation rate $ R\left( {{\boldsymbol \rho} \to {\boldsymbol \rho} '} \right) $ can characterize the corresponding quantum manipulation power, and can be calculated as the ratio of the copy number of initial states to the copy number of target states. Generally, the precise computations of asymptotic transformation rates are challenging, so it is important to establish rigorous and computable boundaries for them. Recently, Ganardi et al. have shown that the transformation rate to any pure state is superadditive for the distillable entanglement. However, it remains a question whether the transformation rate to any noise state is also superadditive in the general resource theory. Firstly, we study the general superadditive inequality satisfied by the transformation rate $ R\left( {{\boldsymbol \rho} \to {\boldsymbol \rho} '} \right) $ of any noise state $ {\boldsymbol \rho} ' $. In any multiple quantum resource theory, we also show that the bipartite asymptomatic transformation rate obeys a distributed relationship: when $ \alpha \geqslant 1 $, $ {R^\alpha }\left( {{\boldsymbol \rho} \to {\boldsymbol \rho} '} \right) $ satisfies monogamy relationship. Using similar methods, we demonstrate that both the marginal asymptotic transformation rate and marginal catalytic transformation rate satisfies these relationships. As a byproduct, we show an equivalence among the asymptomatic transformation rate, marginal asymptotic transformations, and marginal catalytic transformations under some restrictions. Here marginal asymptotic transformations and marginal catalytic transformations are special asymptotic transformations, where the initial state can be reduced into target state at a nonzero rate. These inequality relationships impose a new constraint on the quantum resource distribution and trade off among subsystems. Recently, reversible quantum resource manipulations have been studied, and it is conjectured that transformations can be reversibly executed in an asymptotic regime. In the future, we will explore a conclusive proof of this conjecture and then study the distributions of these reversible manipulations.
2025, 74 (21): 210303.
doi: 10.7498/aps.74.20250808
Abstract +
Quasi-particle excitation in a Bose-Einstein condensate leads to quantum entanglement between real bosonic atoms in the system. By using spectral expansion method, the eigenvalues and eigenstates of Bogoliubov-de Gennes equation are numerically calculated in a quasi-one-dimensional infinite square well potential. For the low-energy collective excitations of the quasi-particles, we explore the dependence of quantum entanglement entropy of the Bose-Einstein condensate on scattering length. Our results show that the entanglement entropy increases slowly with the increase of the scattering length, and such an increasing trend can be well described by a power function. These results are analogous to those in a one-dimensional uniform BEC, where the entanglement entropy of the Bogoliubov ground state is approximately proportional to the square root of the scattering length. This work provides a viable way for investigating many-particle entanglement in a quasi-one-dimensional trapped Bose-Einstein condensate where the quantum entanglement is closely related to the interaction strength between particles.
2025, 74 (21): 210304.
doi: 10.7498/aps.74.20251001
Abstract +
Vortex dynamics in Bose-Einstein condensates (BECs) are crucial for understanding quantum coherence, superfluidity, and topological phenomena. In this work, we investigate the influence of barrier parameters in a rotating double-well potential on the formation and evolution of hidden vortices, aiming to reveal the regulatory mechanisms of barrier width and height on vortex dynamics. By numerically solving the dissipative Gross-Pitaevskii equation for a two-dimensional BEC system confined strongly along the z-axis, we analyze the density distribution, phase distribution, vortex number, and average angular momentum under varying barrier widths and heights. The results show that increasing barrier width significantly promote the formation of hidden vortices, with the total number of visible and hidden vortices still satisfying the Feynman rule. For larger barrier widths, hidden vortices exhibit an oscillatory distribution due to enhanced vortex interactions. In contrast, when the barrier height is above the critical threshold (i.e. the height sufficient to completely separate the condensate), the effect of the barrier height is limited, but below this critical threshold, the hidden vortex cores become visible, thereby reducing the threshold for vortex formation. A particularly striking finding is the efficacy of a temporary barrier strategy: by reducing $ {V_0} $ from $ 4\hbar {\omega _x} $ to $ 0 $ within a rotating double-well trap, stable vortex states with four visible vortices are generated at $ \varOmega = 0.5{\omega _x} $. Under the same parameter conditions, it is impossible to generate a stable state containing vortices at the same $ \varOmega $ by directly using the rotating harmonic trap. In other words, a temporary barrier within a rotating harmonic trap effectively introduces phase singularities, facilitating stable vortex states at lower rotation frequencies than those required in a purely harmonic trap. These findings demonstrate that precise tuning of barrier parameters can effectively control vortex states, providing theoretical guidance for experimentally observing hidden vortices and advancing the understanding of quantum vortex dynamics.
2025, 74 (21): 210701.
doi: 10.7498/aps.74.20250866
Abstract +
ATOMIC AND MOLECULAR PHYSICS
EDITOR'S SUGGESTION
2025, 74 (21): 213101.
doi: 10.7498/aps.74.20250972
Abstract +
EDITOR'S SUGGESTION
2025, 74 (21): 213401.
doi: 10.7498/aps.74.20251099
Abstract +
ELECTROMAGNETISM, OPTICS, ACOUSTICS, HEAT TRANSFER, CLASSICAL MECHANICS, AND FLUID DYNAMICS
EDITOR'S SUGGESTION
2025, 74 (21): 214201.
doi: 10.7498/aps.74.20251007
Abstract +
Nonequilibrium heat transport and quantum thermodynamics in quantum light-matter interacting systems have received increasing attention. Consequently, quantum thermal devices, such as heat valve and head diode, have been realized. Recently, it has been discovered that the anisotropic light-matter interactions can greatly modify the eigenvalues and corresponding eigenvectors of hybrid quantum systems, leading to nontrivial quantum phase transitions, quantum metrology, and nonclassicality of photons. To explore the influences of anisotropic light-matter interactions on quantum transport, we investigate heat flow in the nonequilibrium anisotropic Dicke model. In this model, an ensemble of qubits collectively interacts with an anisotropic photon field. Moreover, each component interacts with bosonic thermal reservoirs. The quantum dressed master equation (DME) is included to properly study dissipative dynamics of the anisotropic Dicke model. Within the eigenbasis of the reduced anisotropic Dicke system, the strong qubit-photon couplings can be properly handled. Our results demonstrate that anisotropic qubit-photon interactions are crucial for modulating steady-state heat flow. In particular, it is found that under strong coupling the heat flow is dramatically suppressed by a large anisotropic qubit-photon factor. While under moderate coupling, the anisotropic qubit-photon interactions enhance the heat flow. Moreover, the increase in the number of qubits amplifies the flow characteristics, with the peaks increasing and the valleys decreasing. Besides, we derive two analytical expressions of heat flows in the thermodynamic limit approximation with limiting anisotropic factors. These heat currents exhibit the cotunneling heat transport pictures. They also serve as the upper boundaries for the heat flows in the anisotropic Dicke model with finite qubit numbers. We also analyze the thermal rectification effect in the anisotropic Dicke model. It is found that a large temperature bias, a large anisotropic qubit-photon factor, and nonweak qubit-photon coupling are helpful in achieving the giant thermal rectification factor. We hope that these results can deepen the understanding of quantum heat transport in the anisotropic quantum light-matter interacting systems.
EDITOR'S SUGGESTION
2025, 74 (21): 214203.
doi: 10.7498/aps.74.20250988
Abstract +
EDITOR'S SUGGESTION
2025, 74 (21): 214204.
doi: 10.7498/aps.74.20250690
Abstract +
Terahertz waves have broad application prospects in fields such as food quality, biomedicine, and security communication. However, the dispersion and loss during transmission limit the development of terahertz systems. This study focuses on the dispersion characteristics of microstrip lines in the terahertz low-frequency range. By combining theoretical modeling, numerical simulation, and experimental verification, the dispersion mechanism and key influencing factors of microstrip lines are systematically analyzed, providing theoretical support for low dispersion, high-performance terahertz integrated circuits and systems. This study is based on electromagnetic field theory, dividing microstrip line dispersion into dielectric dispersion, geometric dispersion, and conductor dispersion, and introducing a modified model to overcome the limitations of traditional quasi-static theory in the high frequency range. In this study, the CST time-domain finite difference simulation and terahertz time-domain pulse reflection (TDR) technology are employed to conduct multidimensional simulation and examine three different dielectric constant substrates (2.2, 3, 4.5), wire widths (100–1600 μm), lengths (10–150 mm) and other parameters. The pulse broadening coefficient is introduced to quantitatively evaluate the dispersion characteristics of microstrip lines. The results indicate that the increase in substrate dielectric constant significantly enhances the dispersion effect. When εr increases from 2.2 to 4.5, the increase in equivalent dielectric constant leads to a decrease in pulse transmission speed. When the wire width increases from 100 μm to 1600 μm, the pulse broadening coefficient dominated by geometric dispersion increases from 3.12 to 5.12, with an increase of 38%. However, when the wire length increases from 10 mm to 150 mm, the cumulative dispersion increases the broadening coefficient from 2.12 to 3.18, with an increase of 33%, verifying the sensitivity of width to dispersion control. The simulation result once again shows that due to the small skin depth of terahertz waves on metal surfaces, the difference in conductivity among the three conductor materials of gold, silver, and copper (4.1×107–6.3×107 S/m) can be ignored in terms of dispersion effect. According to the actual measurement and fitting results, the geometric dispersion of microstrip lines is more significant than the dispersion loss caused by length accumulation. In addition, simulation, experimental testing, and theoretical analysis are all in good consistency with each other. The conclusion indicates that optimizing the design of microstrip lines requires priority control of the dielectric constant and wire width of substrate material to suppress the synergistic effect of geometric dispersion and dielectric dispersion, providing quantifiable design criteria for high bandwidth and low distortion transmission in terahertz communication systems, and laying experimental and theoretical foundations for the engineering application of terahertz integrated circuits.
EDITOR'S SUGGESTION
2025, 74 (21): 214205.
doi: 10.7498/aps.74.20251017
Abstract +
In radiation environments, the radiation induced attenuation (RIA) of the active optical fiber can lead to a significant decline in the performance of fiber laser system. An effective way to solve this problem is to bleach the active fiber using pumps at certain wavelengths, namely photo-bleaching. Experiments have shown that output power of irradiated Yb-doped fiber laser experiences remarkable recovery under 976-nm pump. However, under 976-nm pump, signals at both 976 nm and 1070 nm co-exist in Yb-doped fiber. Moreover, it is difficult to distinguish which wavelength is responsible for the photo-bleaching process. Herein, a one-hundred-watt level Yb-doped fiber laser is irradiated with gamma-ray radiation. In the radiation process, a significant output decline from 129 W at 0 Gy to 81 W at 100 Gy is observed. Then, self-bleaching test is conducted with 976-nm pump. After 2-h bleaching, the output power is restored to 111 W, corresponding to a recovery ratio of about 37.0%. To verify the specific wavelength responsible for the performance recovery, photo-bleaching characteristics of Yb-doped fiber lasers are investigated under different pump wavelengths including 915, 976, 1070 and 1550 nm. Experiments show that laser signal at 1 μm waveband is the primary cause for the bleaching of Yb-doped fibers, while, the pump at 915, 976 and 1550 nm can hardly bleach the irradiated Yb-doped fiber. The RIA recovery curves of Yb-doped fibers are measured under different 1070-nm bleaching powers. And, related evolution parameters are obtained through curve fitting. With these parameters, the RIA evolution of the Yb-doped fiber and the corresponding output power evolution of the Yb-doped fiber laser in the radiation and bleaching process are simulated. Comparisons show that the numerical results are consistent with the measurements qualitatively, demonstrating the reliability of the model. This work has guiding significance for predicting the performance of fiber laser systems in radiation and bleaching environments.
2025, 74 (21): 214301.
doi: 10.7498/aps.74.20250766
Abstract +
Very-low-frequency (VLF) (≤100 Hz) acoustic waves exhibit special propagation characteristics in the deep sea, owing to strong penetration capability and interaction with deep geological structures. In a deep sea experiment conducted in the South China Sea, a vertical linear array including 64 elements is moored to the bottom (approximately 4360 m depth) to receive the acoustic signal. In the bearing-time record (BTR) processed by beamforming, a high-energy bottom bounce path is observed from the ship noise received by the bottom-moored vertical linear array, which shows an abrupt increase in energy near a grazing angle of 45°. However, the physical mechanism causing this phenomenon is still unclear, and we investigate it further in this work. According to the data processing, we develop an environmental model of the seabed by combining continuous speed gradient, which arises from long-term geological compaction processes, in the sediment. This model is compared with a traditional stratified model under the assumption of a uniform sediment layer. The wavenumber integration method is adopted in numerical simulation to accurately calculate the pressure field and analyze the cross-media propagation. The numerical simulations show that the positive velocity gradient (increasing from 1600 m/s to 2144 m/s) causes an ‘acoustic turning’ effect, which reradiates substantial acoustic energy back into the water column and generates the observed high-energy bounce paths. This is supported by theoretical analysis in the WKB approximation, where the calculated reflection coefficient shows a sharp transition in the acoustic turning point, explaining the energy fluctuations observed in the experimental BTR. Further analysis shows that the thickness of sediment influences the angular separation between bottom bounce paths, while its sound speed structure determines the turning angle. These findings offer new insights into VLF acoustic propagation in the deep sea and also provide critical evidence for supporting a transition from simplified stratified models to a more realistic model with a continuous gradient structure. Furthermore, the discovery of high-energy bottom bounce paths provides a new way for enhancing the capabilities of underwater detection, and these observed features also provide reliable pressure field characteristics for inverting deep seabed parameters.
2025, 74 (21): 214302.
doi: 10.7498/aps.74.20250968
Abstract +
This study systematically investigates the bouncing behavior and dynamics of microbubbles under ultrasound excitation within a rigid capillary in order to offer quantitative insights into their oscillation characteristics, migration trajectories, and phase modulation mechanisms for applications in microfluidics, contrast-enhanced ultrasound imaging, and controlled drug delivery. A high-speed imaging system is employed to track the motion of single-, double-, and triple-bubble systems in a viscoelastic medium inside a capillary with a 0.5-mm inner diameter. Under a 28-kHz ultrasound field, bubble dynamics are captured at 100000 frames per second. Image processing techniques, including dynamic threshold segmentation and morphological operations, are employed to extract bubble contours and centroid trajectories. Spectral analysis via fast Fourier transform (FFT) is performed to identify oscillation frequencies and modulation characteristics. Experimental results show that a single bubble undergoes periodic lateral migration, with oscillation frequency slightly below the driving frequency, and that sideband distribution in its spectrum is asymmetric. In the two-bubble system, five different dynamic stages are identified: initial suppression, accelerated migration, interaction dominance, position exchange, and a secondary approach to the wall. The bubbles oscillate at a common dominant frequency of 27.32 kHz but maintain phase difference. Modulation sidebands of approximately 0.3 kHz are observed, indicating nonlinear coupling. The three-bubble system exhibits more complex spatiotemporal evolution, including sequential migration and transitions between triangular and mirror-symmetric configurations. A notable sideband at 0.1 kHz suggests that multi-bubble synergy enhances nonlinear behavior. The tube diameter and fluid viscosity are found to influence the bouncing period through added mass effects and viscous energy dissipation, respectively. The period increases significantly with tube diameter decreasing, and decreases with fluid viscosity lessening. Theoretical modeling incorporates the mirror bubble effect into the coupled Keller-Miksis equations to account for wall confinement, thus successfully simulating the oscillation and translation of confined microbubbles. Numerical analysis further indicates that inter-bubble distance, wall proximity, and medium viscosity modulate the dynamic behavior of the system. Specifically, the bubble resonance frequency is regulated by inter-bubble distance and wall confinement. The two-bubble system exhibits both in-phase and out-of-phase modes, with the latter being more sensitive to distance variation. Near the wall, the oscillation frequency decreases, and the phase difference attenuation accelerates. Increasing medium viscosity will weaken the phase coupling between bubbles, an effect which is particularly evident for smaller bubbles. This study not only enhances the understanding of multi-bubble synergistic effects in confined spaces but also provides a theoretical foundation and technical reference for optimizing ultrasound contrast agents, designing microfluidic devices, and developing targeted therapies in biomedicine.
2025, 74 (21): 214303.
doi: 10.7498/aps.74.20251023
Abstract +
Ultrasound-assisted transdermal drug delivery (UTDD) is a promising non-invasive strategy to overcome the skin barrier. The traditional fixed-focus ultrasound approaches encounter the problems such as limited penetration depth, localized accumulation, and risk of thermal damage. To address these challenges, we propose a phased-array based dynamic focusing strategy, in which the acoustic focus is shifted sequentially along the depth direction. This approach aims to construct a continuous longitudinal acoustic radiation pathway that can sustain particle migration into deeper skin layers. In vivo experiments are conducted with FITC-labeled nanoparticles on rat dorsal skin under three conditions: natural permeation, fixed focus (~0.5 mm beneath the skin), and dynamic focusing (scanned from the surface to 1 mm). After 10-min ultrasound, fluorescence microscopy reveals that fixed focus enhances penetration compared with natural permeation, while dynamic focusing further improves delivery, increasing average depth by 65.7%, maximum depth by 41.2%, and fluorescence intensity by 69.3%. Dynamic focusing also produces a more uniform and continuous deposition band, which is unlike the localized accumulation seen with fixed focus. To elucidate the underlying mechanisms, a two-dimensional finite element model is established in COMSOL Multiphysics. The simulation results reveal that this “multi-focus relay” effect provides a continuous driving force pathway, enabling particles to follow the shifting focal positions. Trajectory analysis confirms that the number of particles reaching deeper layers (up to 5 mm) increases by nearly 14 times under dynamic focusing compared with that in the case of fixed focus, while the width of the lateral distribution extends by 46.1%. In conclusion, both experimental and simulation results demonstrate that phased-array dynamic focusing significantly enhances penetration depth, migration efficiency, and distribution uniformity of nanoparticles in UTDD. By constructing a continuous acoustic radiation pathway in the depth dimension, this approach improves delivery efficiency while mitigating local energy accumulation, providing a safer and more effective strategy for ultrasound-mediated transdermal therapy.
2025, 74 (21): 214304.
doi: 10.7498/aps.74.20250901
Abstract +
2025, 74 (21): 214701.
doi: 10.7498/aps.74.20250930
Abstract +
Liquid evaporation on a nanoscale is significantly strengthened by microscopic effects, with its rate even exceeding the predicted upper limit of the classical Hertz-Knudsen equation. This property makes nanoscale liquid evaporation highly valuable for applications in solar-driven interfacial evaporation, electronics cooling, and microfluidics. However, existing research predominantly focuses on the influence of individual microscopic effects, leaving the synergistic mechanisms of multiple effects to be poorly understood. To deeply reveal the microscopic mechanism of liquid phase change on a nanoscale, this study employs liquid argon as a model system to systematically investigate the synergistic effect of potential energy and cavitation on its evaporation. Using molecular dynamics simulations, we study the evaporation process of liquid argon within nanochannels characterized by different solid-liquid interaction strengths under identical temperature and time frame. The results indicate that an increase in the solid-liquid interaction strength reduces the average potential energy of liquid argon and increases the evaporation energy barrier, which theoretically should suppress the evaporation. Nevertheless, the capillary pressure induced by the increased meniscus curvature leads to negative pressure within the liquid argon, triggering a cavitation effect. This cavitation generates bubbles inside the liquid argon, which significantly increases the evaporation surface area and consequently promotes evaporation. Furthermore, the meniscus-dominated evaporation mode is gradually weakened, while the contribution from cavitation bubbles becomes increasingly pronounced. This study demonstrates that the evaporation rates of liquid argon in the four nanochannels with different interaction strengths are 3.49 × 10–14, 3.95 × 10–14, 3.02 × 10–14, and 2.44 × 10–14 kg/s, respectively. Therefore, it can be concluded that the evaporation rate does not vary linearly with the increase of solid-liquid interaction strength. On the contrary, under moderate interaction intensity, the optimal synergistic state between potential energy and the cavitation effect is achieved, thereby obtaining a maximum evaporation rate.
COVER ARTICLE
COVER ARTICLE
2025, 74 (21): 214202.
doi: 10.7498/aps.74.20251000
Abstract +
CONDENSED MATTER: STRUCTURAL, MECHANICAL, AND THERMAL PROPERTIES
2025, 74 (21): 216101.
doi: 10.7498/aps.74.20250755
Abstract +
Nitrate molten salt is widely used as an efficient thermal storage material for improving concentrated solar power (CSP) technology, which is due to their many excellent properties such as thermal stability, high energy density, low viscosity and liquefaction temperature. However, it is not convenient to measure the performance of nitrate for a long time in a high temperature molten state, which can cause the storage containers made of stainless steel to be corroded by nitrate salt. Simulations also face huge challenges in optimizing the performance of nitrate molten salts, with models being complex and calculation time being long. In this study, an empirical electron theory (EET) of solids and molecules is used to investigate the valence electron structure, cohesive energy, and melting points of MNO3 (M = Li, Na, K) and their decomposition byproducts (nitrites) systematically for revealing the mechanisms of these properties. The calculated bond lengths, cohesive energy, and melting points of nitrate molten salt are in agreement with their corresponding measurements. This study reveals the strong dependence of physical properties on the valence electron structure. The bonding strength and ability strongly depend on the covalent electron pairs $ {n}_{\alpha } $. The cohesive energy exhibits a positive correlation with the number of valence electrons $ {n}_{\mathrm{c}} $. The melting mechanism originates from the melting-broken M−O (M = Li, Na, K) bond by the vibrating of thermal phonon at melting temperature. It is suggested that the atomic cluster of NO3 is still stabilized in the melting process. In binary nitrate molten-salts, the calculated liquidus lines match the measured ones in their binary phase diagrams well. The liquid temperatures show significant positive correlation with the weighted average number of covalent electron pairs ($ {n}_{{{M}}-{\mathrm{O}}} $) on M−O bond. The thermodynamic simulation models are used systematically to predict the viscosity, electrical conductivity, and thermal conductivity of the binary nitrate molten-salts. Based on the calculations of EET and thermodynamic simulations, the composition of binary nitrate molten salts is optimized as 0.5LiNO3-0.5NaNO3, 0.5LiNO3-0.5KNO3, and 0.6NaNO3-0.4KNO3, which are considered as good candidates for advanced molten salts with high thermal conductivity, high electrical conductivity, low viscosity, and low liquefaction temperature.
2025, 74 (21): 216102.
doi: 10.7498/aps.74.20250713
Abstract +
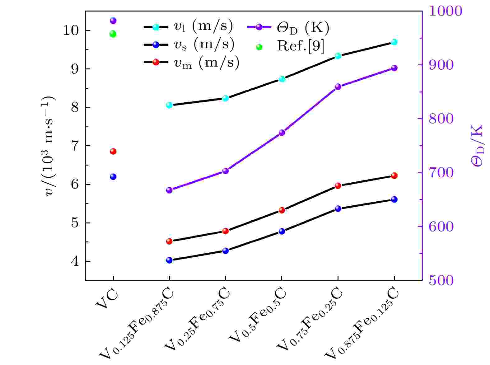
Vanadium carbides commonly serve as strengthening phases in metallic materials, where their elastic and ductile-brittle characteristics are critical for mechanical performance. This work systematically investigates the structural stability, electronic properties, mechanical behaviors, and thermal characteristics of multi-component V1–x FexC carbides by using first-principles calculations, aiming to elucidate the influence of Fe content on their physical properties and provide a theoretical basis for the design and application of carbides in high-performance steels. The calculations are performed using the Vienna ab initio simulation package (VASP) based on density functional theory (DFT). Special quasirandom structures (SQS) are employed to construct five carbide models with varying Fe/V ratios (from V0.125Fe0.875C to V0.875Fe0.125C). Key parameters including formation enthalpy, electronic density of states, elastic constants, Debye temperature, and thermal conductivity are computed. The results indicate that as the Fe content decreases, the formation enthalpy shifts from positive to negative, reflecting a significant improvement in thermodynamic stability. Electronic structure analyses reveal metallic behavior of all compositions, with stronger covalent bonding in V–C than that in Fe–C. The V0.875Fe0.125C carbide exhibits the highest elastic modulus (C11 = 615.80 GPa) and Vickers hardness (21.06 GPa), which is attributed to its strong covalent interactions, though it also shows increased brittleness. The Debye temperature rises with the decrease of Fe content, further confirming superior mechanical strength at elevated temperatures. Calculations of the thermal conductivity for V0.875Fe0.125C yield values of 9.427 W·m–1·K–1 at 300 K and 2.357 W·m–1·K–1 at 1300 K. Its minimum lattice thermal conductivity (2.001 W·m–1·K–1) is comparable to that of typical thermal barrier coating materials, demonstrating high potential for high-temperature thermal insulation. This study reveals the structure-property relationships in V1–x FexC carbides on an atomic scale, indicating that low-Fe compositions are advantageous for high-temperature and high-strength applications. These findings provide important theoretical support for the development of novel heat-resistant coatings and high-strength steels.
CONDENSED MATTER: ELECTRONIC STRUCTURE, ELECTRICAL, MAGNETIC, AND OPTICAL PROPERTIES
2025, 74 (21): 217101.
doi: 10.7498/aps.74.20250913
Abstract +
Graphene Dirac plasmons, which are collective oscillations of charge carriers behaving as massless Dirac fermions, have emerged as a transformative platform for nanophotonics due to their exceptional capability for deep subwavelength light confinement in the infrared-to-terahertz spectral region and their unique dynamic tunability. Although external controls such as electrostatic doping, mechanical strain, and substrate engineering are empirically known to be able to modulate plasmonic responses, a comprehensive and quantitative theoretical framework from first principles is essential to reveal the distinct efficiency and fundamental mechanisms of each tuning strategy. To address this issue, we conduct a systematic first-principles study of three primary modulation pathways—carrier density, biaxial strain, and substrate integration—by using linear-response time-dependent density functional theory in the random-phase approximation (LR-TDDFT-RPA) as implemented in the computational code ABACUS. A truncated Coulomb potential is adopted in order to accurately model the isolated two-dimensional system, while structural and electronic properties are computed using the PBE functional with SG15 norm-conserving pseudopotentials and van der Waals corrections for heterostructures. Our research results indicate that modulating carrier concentration can cause the plasmon dispersion to follow the characteristic $\omega \propto n^{1/4}$ scaling law, thereby tuning within a wide range from 0.45 eV to 1.38 eV at the Landau damping threshold—a 207% change for the carrier density varying from 0.005 to 0.1 electrons/unit cell, although efficiency decreases at higher concentrations due to the sublinear nature of the scaling law. Biaxial strain linearly changes the plasmon energy by modifying the Fermi velocity ($v_{\mathrm{F}}$) near the Dirac point, yielding a 30.4% tuning range (0.78–1.12 eV) under $\pm 10{\text{%}}$ strain. Introducing an hBN substrate induces a small band gap (~43 meV) and causes a general redshift in plasmon energy due to band renormalization, while remarkably preserving the linear strain-tuning capability in a $30.1{\text{%}}$ energy range (0.72–1.03 eV) in the heterostructure, demonstrating robust compatibility between strain engineering and substrate integration. These results quantitatively elucidate the different physical mechanisms—Fermi level shifting, Fermi velocity modification, and substrate-induced symmetry breaking and hybridization—underpinning each strategy, thereby providing a solid theoretical foundation for designing dynamically tunable optoelectronic devices based on graphene and its van der Waals heterostructures.
EDITOR'S SUGGESTION
2025, 74 (21): 217102.
doi: 10.7498/aps.74.20250761
Abstract +
Magnesium and aluminum are abundant metals in the Earth’s crust and widely utilized in industrial engineering. Under high pressure, these elements can form elemental compounds into single substances, resulting in a variety of crystal structures and electronic properties. In this study, the possible structures of magnesium-aluminum alloys are systematically investigated in a pressure range of 0–500 GPa by using the first-principles structure search method, with energy and electronic structure calculations conducted using the VASP package. Bader charge analysis elucidates atomic and interstitial quasi-atom (ISQ) valence states, while lattice dynamics are analyzed using the PHONOPY package via the small-displacement supercell approach. Eight stable phases(MgAl3-Pm${\bar {3}} $m, MgAl3-P63/mmc, MgAl-P4/mmm, MgAl-Pmmb, MgAl-Fd${\bar {3}} $m, Mg2Al-P${\bar {3}} $m1, Mg3Al-P63/mmc, Mg3Al-Fm${\bar {3}} $m) and two metastable phases (Mg4Al-I4/m, Mg5Al-P${\bar {3}} $m1) are identified. The critical pressures and stable intervals for phase transitions are precisely determined. Notably, MgAl-Fd${\bar {3}} $m, Mg2Al-P${\bar {3}} $m1, Mg4Al-I4/m and Mg5Al-P${\bar {3}} $m1 represent newly predicted structures. Analysis of electronic localization characteristics reveals that six stable structures (MgAl3-Pm${\bar {3}} $m, MgAl3-P63/mmc, MgAl-Pmmb, MgAl-Fd${\bar {3}} $m, Mg2Al-P${\bar {3}} $m1 and Mg3Al-P63/mmc) exhibit electronic properties of electrides. The ISQs primarily originate from charge transfer of Mg atoms. In the metastable phase Mg4Al-I4/m, Al atoms are predicted to achieve an Al5–valence state, filling the p shell. This finding demonstrates that by adjusting the Mg/Al ratio and pressure conditions, a transition from traditional electrides to high negative valence states can be realized, offering new insights into the development of novel high-pressure functional materials. Furthermore, all Mg-Al compounds display metallic behaviors, with their stability attributed to Al-p-d orbital hybridization, which significantly contributes to the Al-3p/3d orbitals near the Fermi level. Additionally, LA-TA splitting is observed in MgAl3-Pm${\bar {3}} $m, with a splitting value of 45.49 cm–1, confirming the unique regulatory effect of ISQs on lattice vibrational properties. These results elucidate the rich structural and electronic properties of magnesium-aluminum alloys as electrodes, offering deeper insights into their behavior under high pressure and inspiring further exploration of structural and property changes in high-pressure alloys composed of light metal elements and p-electron metals.
2025, 74 (21): 217201.
doi: 10.7498/aps.74.20250880
Abstract +
EDITOR'S SUGGESTION
2025, 74 (21): 217301.
doi: 10.7498/aps.74.20250971
Abstract +
HfOx memristors have emerged as one of the most promising candidates for next-generation non-volatile memory due to their low operating voltage, excellent endurance, and cycling characteristics. However, the randomness in the formation and rupture of oxygen vacancy conductive filaments within HfOx thin films leads to a relatively dispersed threshold voltage distribution and poor stability. Therefore, improving the stability of HfOx devices by modulating oxygen vacancies is of significant research importance. In this study, three groups of W/HfOx/Pt devices are prepared using magnetron sputtering with argon-to-oxygen ratios of 30∶20, 40∶10 and 45∶5, respectively. X-ray photoelectron spectroscopy results indicate that the 45∶5 device has the highest oxygen vacancy concentration (25.59%). All of three groups exhibit bipolar resistive switching behavior. Of the three W/HfOx/Pt devices, the device with the argon-to-oxygen ratio of 45∶5 demonstrates the best overall performance: over 200 I -V cycles, a switching ratio of ~103, excellent data retention within 104 s, and a concentrated threshold voltage distribution. Analysis of the conduction mechanisms reveals that the device follows a space-charge-limited current (SCLC) mechanism in the high-resistance state and exhibits Ohmic conduction behavior in the low-resistance state. In the initial state, there is a high density of oxygen vacancies near the nucleation region of the conductive filament, which can shorten the effective migration path of oxygen vacancies. Under an applied electric field, negatively charged oxygen ions migrate toward the top electrode, while oxygen vacancies gradually accumulate from the bottom electrode to the top electrode, leading to the formation of continuous conductive filaments. A higher oxygen vacancy concentration facilitates the development of robust and structurally more stable conductive filaments, thereby enhancing the uniformity of resistive switching and device reliability. This study reveals the critical role of oxygen vacancy modulation in the performance of HfOx memristors and provides an effective pathway for developing high-performance and highly reliable resistive random-access memory.
2025, 74 (21): 217501.
doi: 10.7498/aps.74.20251002
Abstract +
In order to clarify the metamagnetic transition properties and corresponding crystal parameter characteristics of La0.9Pr0.1Fe12B6 alloy, as well as the accompanying magnetocaloric effects, we study the magnetic phase transition process of the alloy induced by magnetic field and temperature, and the corresponding changes of X-ray diffraction patterns, and conduct in-depth comparisons of the magnetocaloric properties between different measurement modes. The results indicate that the La0.9Pr0.1Fe12B6 sample mainly consists of about 90 wt% SrNi12B6 type structural main phase and about 10 wt% Fe2B and α-Fe, which are consistent with those given in the reference literature. In the zero-field increasing temperature process, the magnetic state sequence of the main phase of La0.9Pr0.1Fe12B6 alloy is antiferromagnetic (AFM)→ferromagnetic (FM)→paramagnetic (PM); in the isothermal magnetization process, three types of magnetic field-induced metamagnetic transitions occur in different temperature ranges, namely, two different transitions between AFM and FM states at low temperatures, and a transition between PM and FM states above the Curie temperature (TC). The corresponding critical magnetic field (HC) is much lower than that of the LaFe12B6 parent alloy. On the contrary, the main phase of La0.9Pr0.1Fe12B6 alloy exhibits only PM-FM transition. This indicates that after the alloy transitions from PM state to FM state in the cooling process, even after the temperature drops to a certain value, it will not transition to AFM state. Similar phenomena also exist in other alloy of LaFe12B6 system. Based on the Néel temperature (TN) and TC obtained from the ZFCW mode M-T curves, the magnetic state phase diagram of La0.9Pr0.1Fe12B6 alloy is plotted. The results indicate that as the external magnetic field increases, TC moves linearly towards higher temperatures at a rate of almost 0.48 K/kOe. Conversely, TN1 and TN2 gradually move towards lower temperatures at rates of 0.48 K/kOe and 0.26 K/kOe, respectively. The zero-field and field-variable temperature XRD patterns show that during the magnetic transition between disorder and order states of the main phase in La0.9Pr0.1Fe12B6 alloy, there is a phenomenon of magnetocrystalline coupling. As a result, in addition to the original diffraction peaks of the main phase, some new diffraction peaks that are not observable in the PM state also appear, and their intensities increase with the decrease of temperature or the increase of magnetic field. Through Retveld refinement on XRD patterns under different conditions, it is found that the atomic occupancy rates of La/Pr and Fe are very stable in different environments, but the atomic occupancy rate of B varies greatly, which may be the main factor leading to the appearance of new diffraction peaks. In addition, in the temperature dependent magnetic entropy change curve calculated based on isothermal magnetization data in continuous measurement mode, a large magnetic entropy change can be observed near TC due to the magnetic field induced first-order metamagnetic transition of PM-FM. For example, under a magnetic field of 70 kOe, the maximum magnetic entropy change near 50 K can reach 19 J/(kg·K), and the relative cooling capacity is about 589.1 J/kg. However, under the same measurement mode, the expected large magnetic entropy change due to the AFM-FM metamagnetic transition is not observed. But, when using a discontinuous measurement mode, the large magnetic entropy change accompanying the AFM-FM transition process is also observed. For example, under a magnetic field of 70 kOe, the maximum magnetic entropy change near 8 K can reach –12 J/kg·K.
2025, 74 (21): 217701.
doi: 10.7498/aps.74.20250932
Abstract +
By studying the breakdown performance of ethylene-tetrafluoroethylene (ETFE) copolymer under low pressure via molecular dynamics simulations, and verifying the simulation results through low-pressure breakdown experiments, the insulation failure mechanism of ETFE materials under low pressure can be revealed on an atomic scale. First, molecular dynamics simulations are performed on ETFE. As the flight altitude gradually increases from 0 km to 24 km, the simulated pressure decreases from 101.300 kPa to 2.951 kPa. Correspondingly, the intermolecular distance increases by 9.692%, the interchain interaction energy decreases by 8.383%, the free volume fraction of ETFE increases by 62.586%, and the density of ETFE decreases by 7.737%. Subsequently, based on the electromechanical breakdown theory, it is deduced that the breakdown field strength of ETFE decreases by 17.626%. Finally, the low-pressure breakdown experiment shows that the breakdown field strength decreases by 40.078%, and the density measurement test indicates that the density decreases by 1.574%. Both simulation and experimental results confirm that the breakdown field strength of ETFE decreases with the reduction of pressure. This is because under low-pressure conditions, the increase in free volume fraction and the decrease in density provide a longer mean free path for free electrons. And the decrease in charge trap level weakens the charge trapping capability, leading to a higher concentration of free electrons. All these factors contribute to the reduction of the breakdown field strength of ETFE. This study provides performance prediction and failure mechanism analysis for the application of ETFE in aerospace and high-altitude extreme environments, and has guiding significance for the optimal design of aerospace insulation ETFE materials.
INTERDISCIPLINARY PHYSICS AND RELATED AREAS OF SCIENCE AND TECHNOLOGY
2025, 74 (21): 218101.
doi: 10.7498/aps.74.20250936
Abstract +
GEOPHYSICS, ASTRONOMY, AND ASTROPHYSICS
EDITOR'S SUGGESTION
Study on risk of triboelectric charging and discharging of lunar rovers in lunar surface environment
2025, 74 (21): 219401.
doi: 10.7498/aps.74.20251035
Abstract +

