-
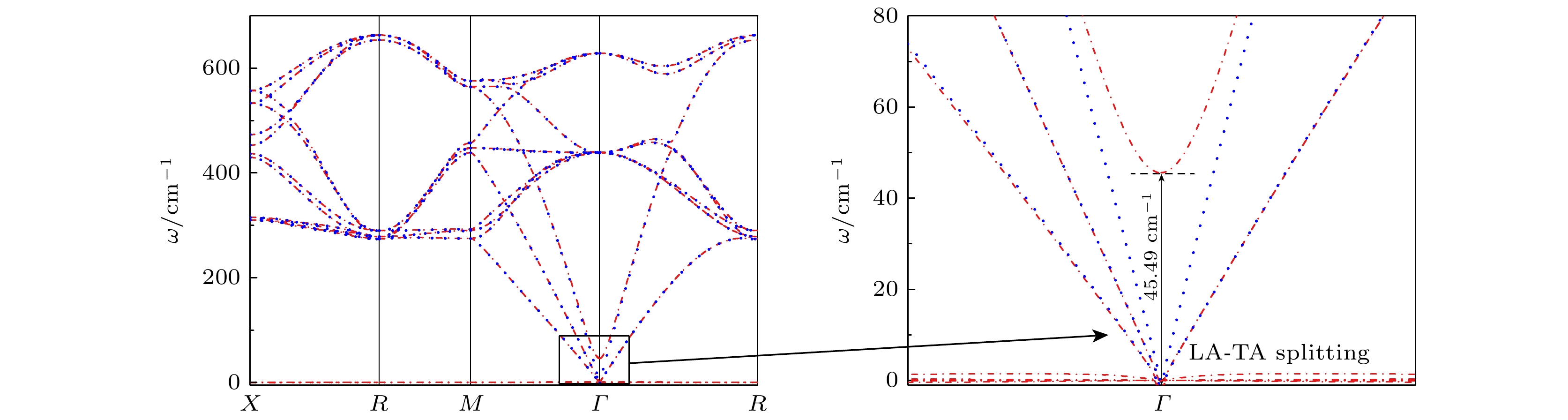
Magnesium and aluminum are abundant metals in the Earth’s crust and widely utilized in industrial engineering. Under high pressure, these elements can form elemental compounds into single substances, resulting in a variety of crystal structures and electronic properties. In this study, the possible structures of magnesium-aluminum alloys are systematically investigated in a pressure range of 0–500 GPa by using the first-principles structure search method, with energy and electronic structure calculations conducted using the VASP package. Bader charge analysis elucidates atomic and interstitial quasi-atom (ISQ) valence states, while lattice dynamics are analyzed using the PHONOPY package via the small-displacement supercell approach. Eight stable phases(MgAl3-Pm${\bar {3}} $m, MgAl3-P63/mmc, MgAl-P4/mmm, MgAl-Pmmb, MgAl-Fd${\bar {3}} $m, Mg2Al-P${\bar {3}} $m1, Mg3Al-P63/mmc, Mg3Al-Fm${\bar {3}} $m) and two metastable phases (Mg4Al-I4/m, Mg5Al-P${\bar {3}} $m1) are identified. The critical pressures and stable intervals for phase transitions are precisely determined. Notably, MgAl-Fd${\bar {3}} $m, Mg2Al-P${\bar {3}} $m1, Mg4Al-I4/m and Mg5Al-P${\bar {3}} $m1 represent newly predicted structures. Analysis of electronic localization characteristics reveals that six stable structures (MgAl3-Pm${\bar {3}} $m, MgAl3-P63/mmc, MgAl-Pmmb, MgAl-Fd${\bar {3}} $m, Mg2Al-P${\bar {3}} $m1 and Mg3Al-P63/mmc) exhibit electronic properties of electrides. The ISQs primarily originate from charge transfer of Mg atoms. In the metastable phase Mg4Al-I4/m, Al atoms are predicted to achieve an Al5–valence state, filling the p shell. This finding demonstrates that by adjusting the Mg/Al ratio and pressure conditions, a transition from traditional electrides to high negative valence states can be realized, offering new insights into the development of novel high-pressure functional materials. Furthermore, all Mg-Al compounds display metallic behaviors, with their stability attributed to Al-p-d orbital hybridization, which significantly contributes to the Al-3p/3d orbitals near the Fermi level. Additionally, LA-TA splitting is observed in MgAl3-Pm${\bar {3}} $m, with a splitting value of 45.49 cm–1, confirming the unique regulatory effect of ISQs on lattice vibrational properties. These results elucidate the rich structural and electronic properties of magnesium-aluminum alloys as electrodes, offering deeper insights into their behavior under high pressure and inspiring further exploration of structural and property changes in high-pressure alloys composed of light metal elements and p-electron metals.
-
Keywords:
- magnesium-aluminum alloys /
- high-pressure structure and phase transition /
- electrides /
- density functional theory
[1] [2] [3] [4] [5] [6] [7] [8] [9] [10] [11] [12] [13] [14] [15] [16] [17] [18] [19] [20] [21] [22] [23] [24] [25] [26] [27] [28] [29] [30] [31] [32] [33] [34] [35] [36] [37] [38] [39] [40] [41] [42] [43] [44] [45] [46] [47] [48] [49] [50] [51] [52] [53] [54] [55] [56] [57] [58] [59] [60] [61] [62] [63] [64] [65] -
Phase Mg/atom Al/atom ISQ/(e·site–1) ISQ/(e·cell–1) Pm${\bar {3}} $m MgAl3 (100 GPa) +1.48 +1.07 0.39 4.68 P63/mmc MgAl3 (200 GPa) +1.45 +1.65 ISQ1: 1.69; ISQ2: 1.57;
ISQ3: 1.60; ISQ4: 1.5612.81 P4/mmm MgAl (40 GPa) +1.47 –1.47 — — Pmmb MgAl (95 GPa) +1.44 –0.40 ISQ1: 0.53; ISQ2: 0.51 2.09 Fd${\bar {3}} $m MgAl (350 GPa) +1.36 +1.53 1.44 23.07 P${\bar {3}} $m1 Mg2Al (500 GPa) +1.32 +0.70 ISQ1: 0.35; ISQ2: 0.26 3.33 P63/mmc Mg3Al (50 GPa) +1.37 –3.96 0.15 0.30 Fm${\bar {3}} $m Mg3Al (350 GPa) +1.31 –3.95 — — I4/m Mg4Al (300 GPa) +1.23 –4.91 — — I4/m Mg4Al (350 GPa) +1.23 –1.76 0.79 6.32 Phase Lattice
parameters/ÅAtom Site Atomic coordinates Pm${\bar {3}} $m MgAl3
(100 GPa)a = b = c = 3.4807,
α = β = γ = 90°Mg 1a (0.00000 0.00000 0.00000) Al 3c (0.50000 0.50000 0.00000) P63/mmc MgAl3
(200 GPa)a = b = 4.6192, c = 3.7511,
α = β = 90°, γ = 120°Mg 2d (0.33333 0.66667 0.75000) Al 6h (0.16575 0.33150 0.25000) P4/mmm MgAl
(40 GPa)a = b = 2.6468, c = 3.8386,
α = β = γ = 90°Mg 1d (0.50000 0.50000 0.50000) Al 1a (0.00000 0.00000 0.00000) Pmmb MgAl
(95 GPa)a = 4.0475, b = 2.4798, c = 4.3490,
α = β = γ = 90°Mg 2f (0.25000 0.50000 0.33732) Al 2e (0.25000 0.00000 0.83940) Fd${\bar {3}} $m MgAl
(350 GPa)a = b = c = 4.8837,
α = β = γ = 90°Mg 8a (0.50000 0.50000 0.00000) Al 8b (0.50000 0.00000 0.00000) P${\bar {3}} $m1 Mg2Al
(500 GPa)a = b = 3.3248, c = 2.0093,
α = β = 90°, γ = 120°Mg 2d (0.33333 0.66667 0.49763) Al 1a (0.00000 0.00000 0.00000) P63/mmc Mg3Al
(50 GPa)a = b = 5.3284, c = 4.3022,
α = β = 90°, γ = 120°Mg 6h (0.16784 0.83216 0.25000) Al 2d (0.66667 0.33333 0.25000) Fm${\bar {3}} $m Mg3Al
(350 GPa)a = b = c = 4.8981,
α = β = γ = 90°Mg 4b (0.50000 0.50000 0.50000) 8c (0.75000 0.75000 0.75000) Al 4a (0.00000 0.00000 0.00000) I4/m Mg4Al
(500 GPa)a = b = 4.4643, c = 3.2322,
α = β = γ = 90°Mg 8h (0.09518 0.70193 0.50000) Al 2a (0.00000 0.00000 0.00000) P${\bar {3}} $m1 Mg5Al
(500 GPa)a = b = 3.3132, c = 4.0870,
α = β = 90°, γ = 120°Mg 2d (0.66667 0.33333 0.31434) 2d (0.66667 0.33333 0.81145) 1a (0.00000 0.00000 0.00000) Al 1b (0.00000 0.00000 0.50000) -
[1] [2] [3] [4] [5] [6] [7] [8] [9] [10] [11] [12] [13] [14] [15] [16] [17] [18] [19] [20] [21] [22] [23] [24] [25] [26] [27] [28] [29] [30] [31] [32] [33] [34] [35] [36] [37] [38] [39] [40] [41] [42] [43] [44] [45] [46] [47] [48] [49] [50] [51] [52] [53] [54] [55] [56] [57] [58] [59] [60] [61] [62] [63] [64] [65]
Catalog
Metrics
- Abstract views: 1261
- PDF Downloads: 27
- Cited By: 0









DownLoad: