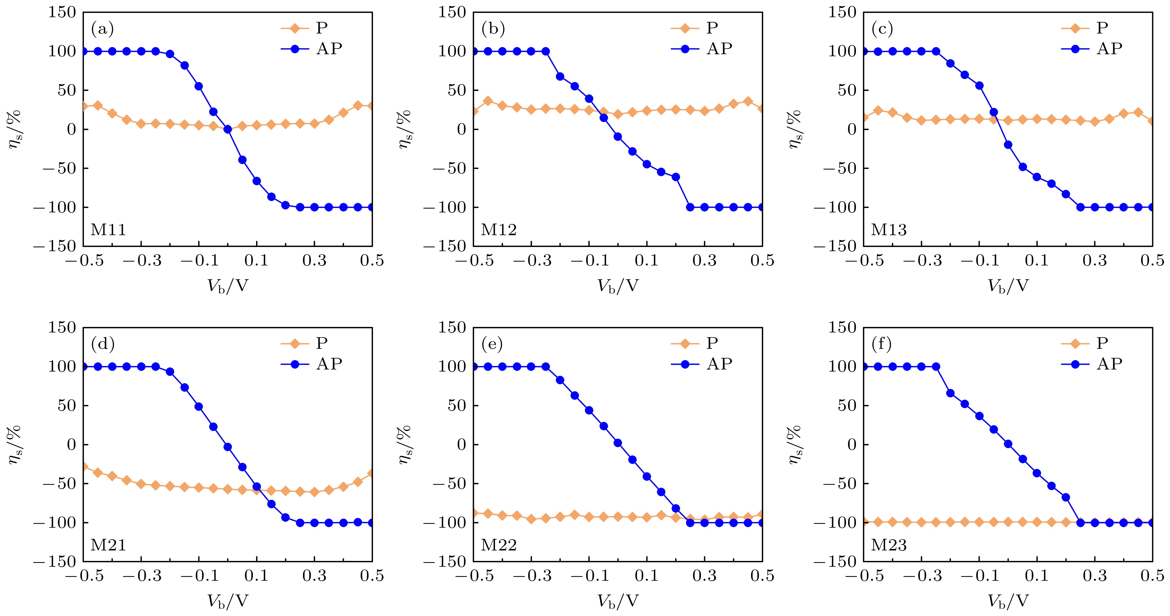
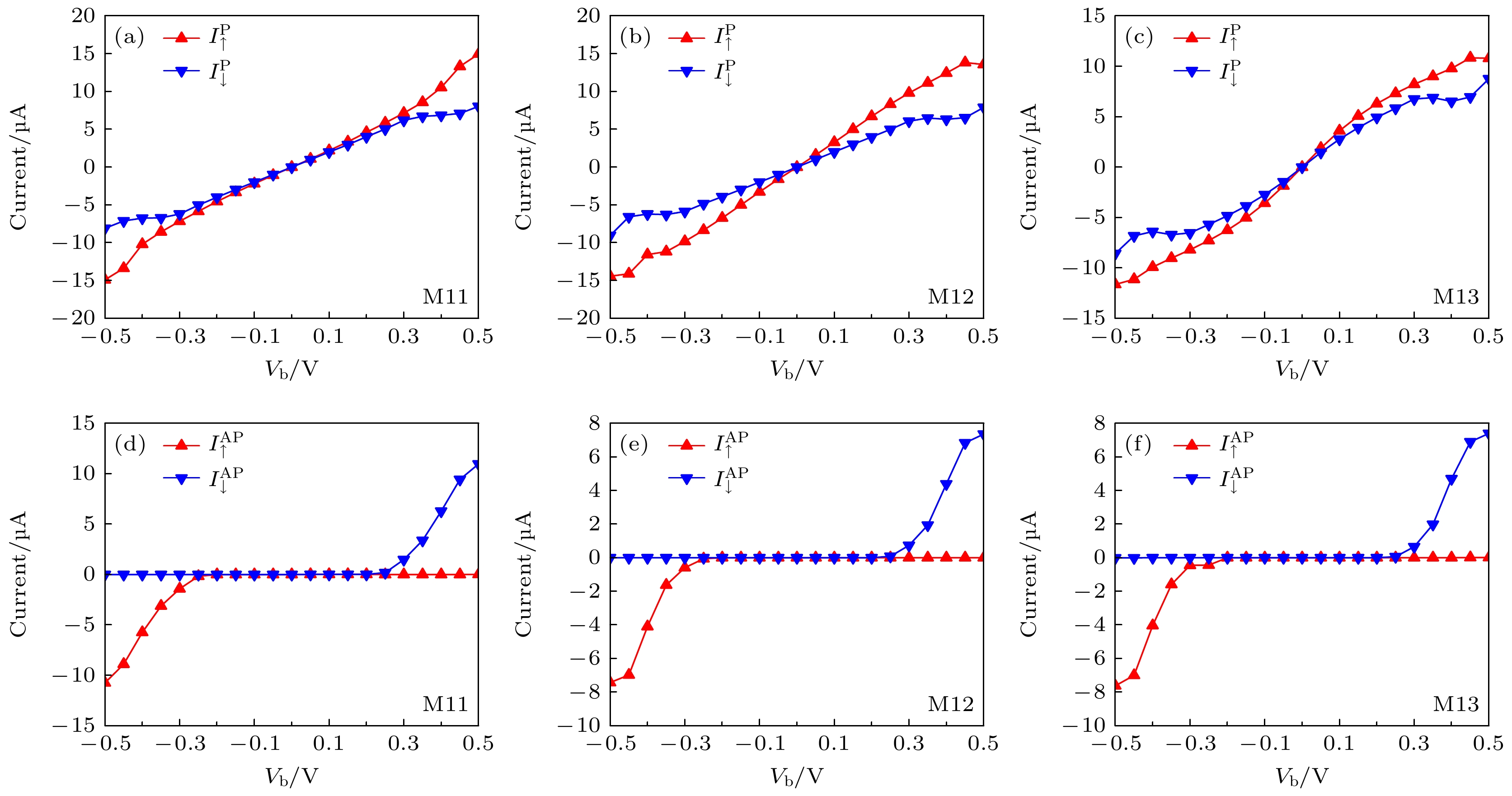
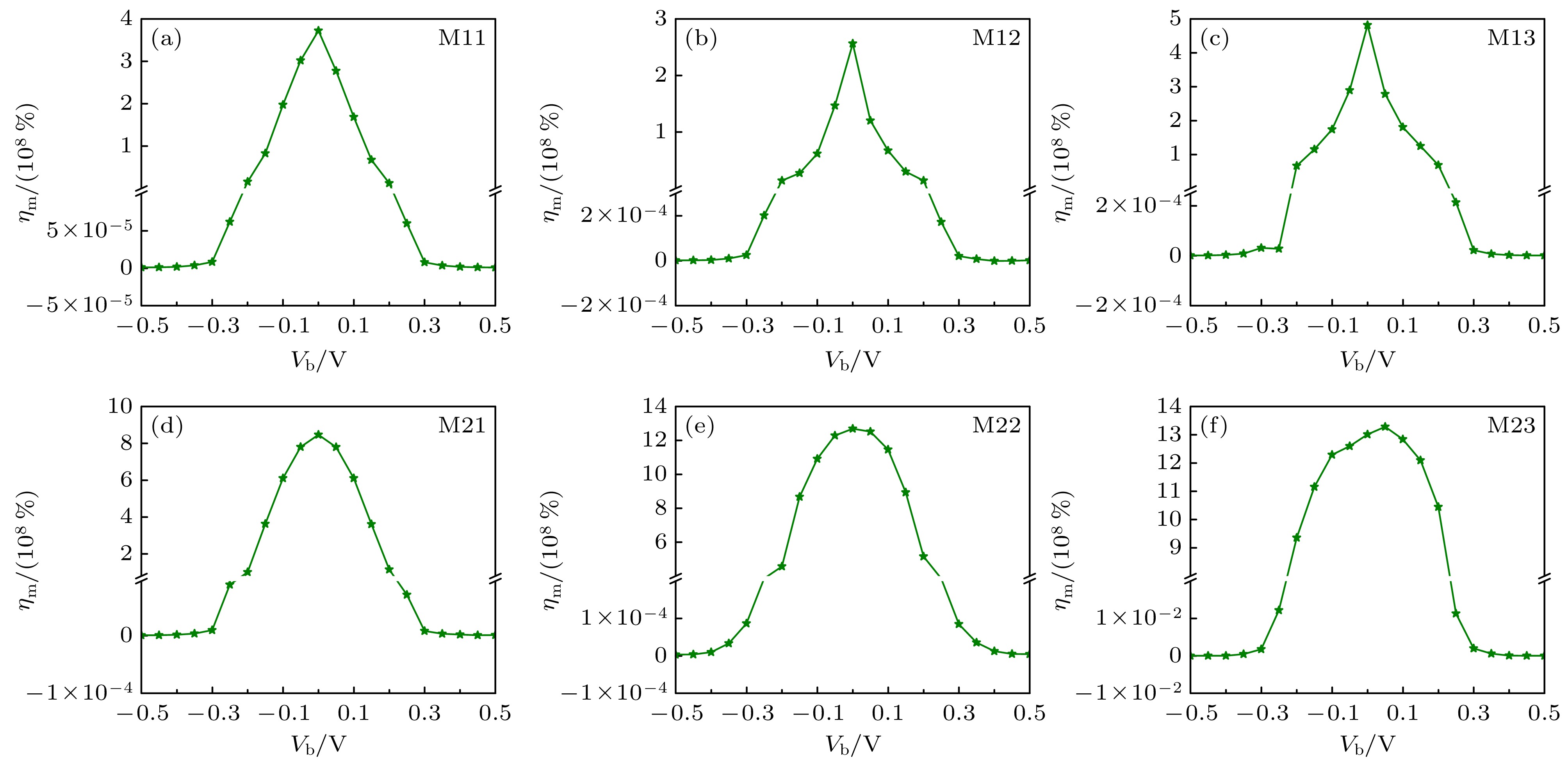
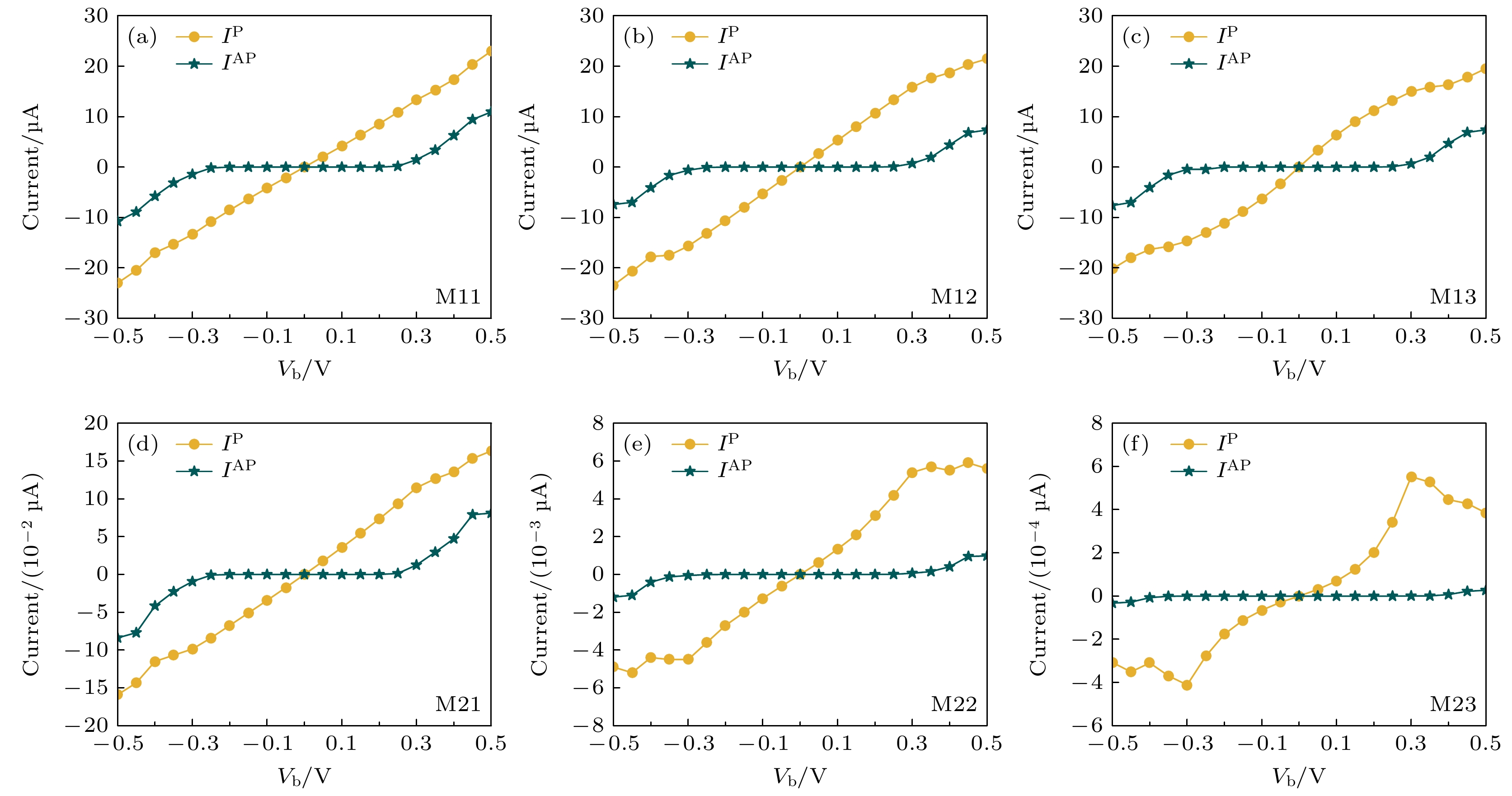
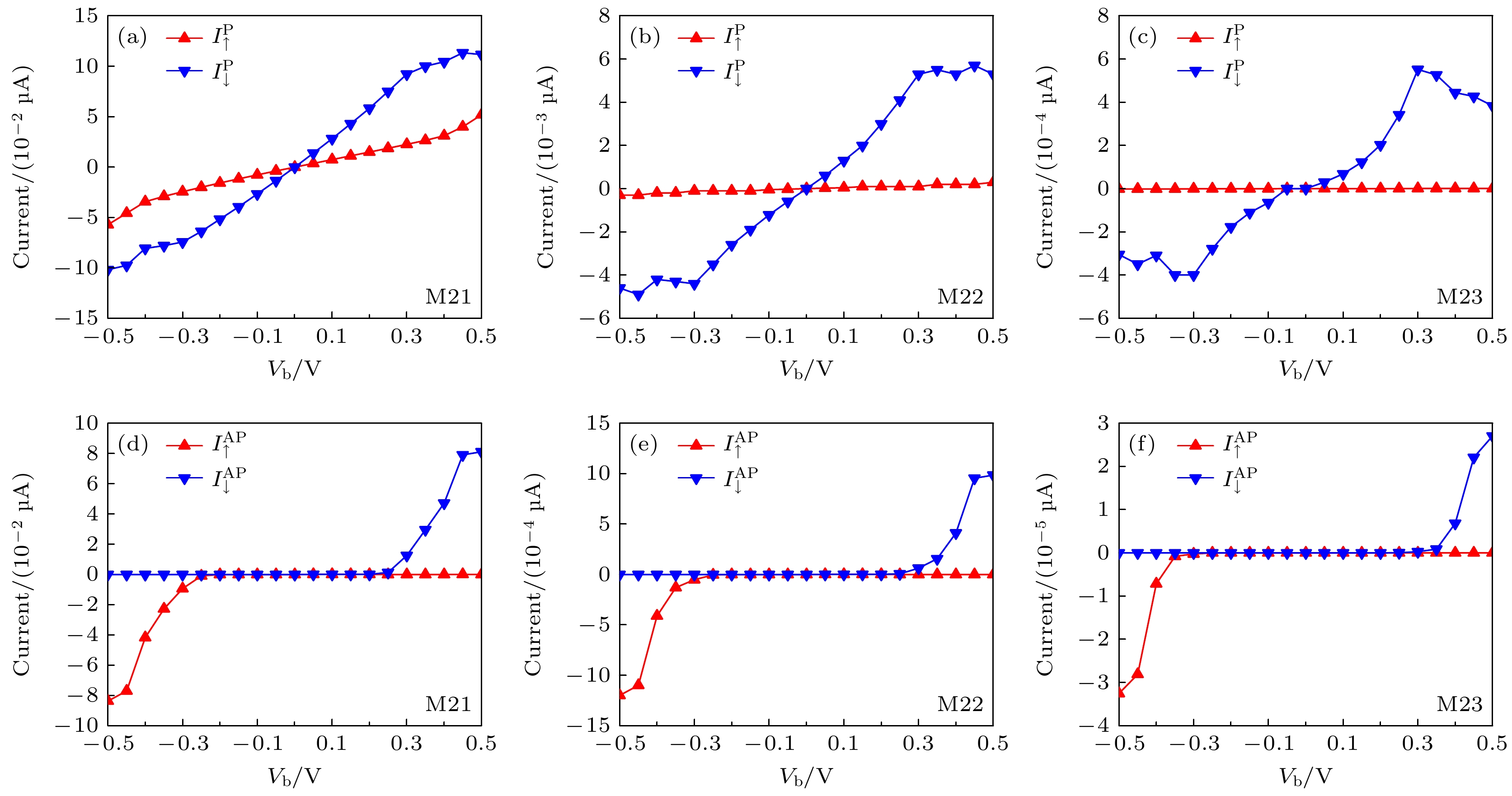
Spintronics holds profound significance for the development of future electronic devices, among which magnetic tunnel junctions (MTJs) represent a crucial spintronic device. In order to achieve excellent performance, such as higher tunnel magnetoresistance (TMR) and spin filtering effects, the molecular MTJs (MMTJs) have been investigated. Here, we adopt 6,6,12-graphyne (6,6,12-GY) nanodots as the barrier material in the central scattering region, while zigzag-edged graphene nanoribbons (ZGNRs) are adopted as electrode materials. Two kinds of devices, denoted as M1n and M2n, are constructed, which differ in the termination of the nanodots in the central scattering region. Due to the fact that the magnetization directions of the two ZGNRs electrodes can be set to be parallel (P) or antiparallel (AP), both M1n and M2n devices exhibit two different magnetic configurations. In this work, the structures are optimized using first-principles calculations based on density functional theory (DFT), as implemented in the Vienna ab-initio simulation package (VASP). By combining DFT with the nonequilibrium Green’s function (NEGF) method, the spin transport properties of MMTJs are studied.The calculated results show that all devices achieve high TMR effects, with their values reaching up to 108% in M1n and 109% in M2n. The total current calculations indicate that a distinct difference emerges between the P and AP configurations after applying a bias voltage, which leads to a superior TMR. These findings offer valuable insights into the future development of highly sensitive spintronic devices. From the perspective of spin current, it can be observed that for both M1n and M2n devices with AP configuration, opposite-direction spin currents can be obtained by applying positive or negative bias voltage. Namely, in the AP configuration, both devices achieve the ±100% spin polarization (SP), indicating a dual spin filtering effect. In the P configuration, the spin-up and spin-down currents in M1n exhibit similar trends with the bias increasing, while M2n can produce a pure spin-down current with the number of nanodots increasing. The 100% spin filtering efficiency achieved in these carbon-based devices is of great significance for increasing the storage density and operation speed of future spintronic devices. Notably, apart from the bias voltage, the spin current of M2n can also be controlled by switching the magnetization direction of the electrodes. In addition, the current in M2n is much smaller than that in M1n, which implies low power consumption in device applications. Our investigation on the spin-dependent transport properties of 6,6,12-GY-based MMTJs paves the way for promising spintronic applications of carbon-based materials.