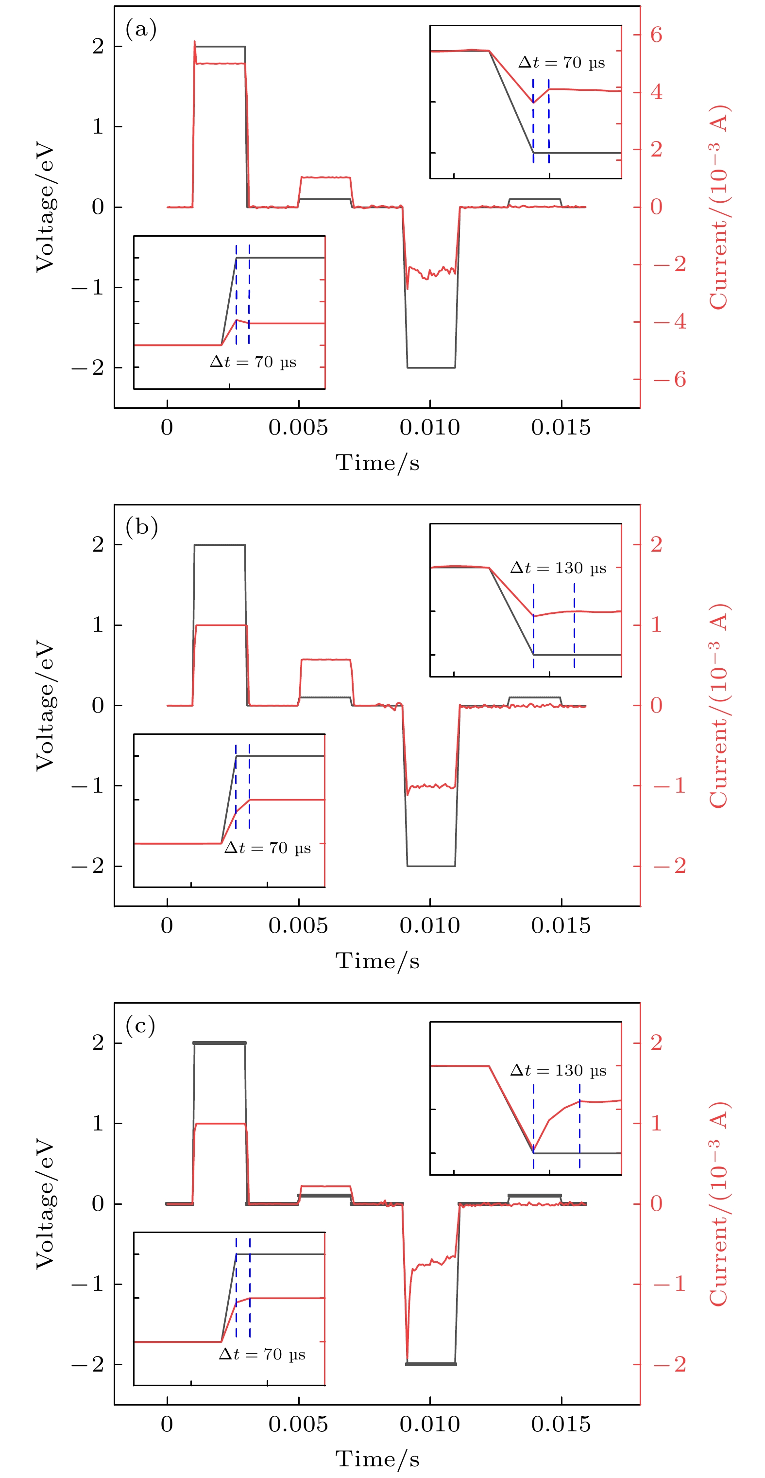
HfOx memristors have emerged as one of the most promising candidates for next-generation non-volatile memory due to their low operating voltage, excellent endurance, and cycling characteristics. However, the randomness in the formation and rupture of oxygen vacancy conductive filaments within HfOx thin films leads to a relatively dispersed threshold voltage distribution and poor stability. Therefore, improving the stability of HfOx devices by modulating oxygen vacancies is of significant research importance. In this study, three groups of W/HfOx/Pt devices are prepared using magnetron sputtering with argon-to-oxygen ratios of 30∶20, 40∶10 and 45∶5, respectively. X-ray photoelectron spectroscopy results indicate that the 45∶5 device has the highest oxygen vacancy concentration (25.59%). All of three groups exhibit bipolar resistive switching behavior. Of the three W/HfOx/Pt devices, the device with the argon-to-oxygen ratio of 45∶5 demonstrates the best overall performance: over 200 I -V cycles, a switching ratio of ~103, excellent data retention within 104 s, and a concentrated threshold voltage distribution. Analysis of the conduction mechanisms reveals that the device follows a space-charge-limited current (SCLC) mechanism in the high-resistance state and exhibits Ohmic conduction behavior in the low-resistance state. In the initial state, there is a high density of oxygen vacancies near the nucleation region of the conductive filament, which can shorten the effective migration path of oxygen vacancies. Under an applied electric field, negatively charged oxygen ions migrate toward the top electrode, while oxygen vacancies gradually accumulate from the bottom electrode to the top electrode, leading to the formation of continuous conductive filaments. A higher oxygen vacancy concentration facilitates the development of robust and structurally more stable conductive filaments, thereby enhancing the uniformity of resistive switching and device reliability. This study reveals the critical role of oxygen vacancy modulation in the performance of HfOx memristors and provides an effective pathway for developing high-performance and highly reliable resistive random-access memory.