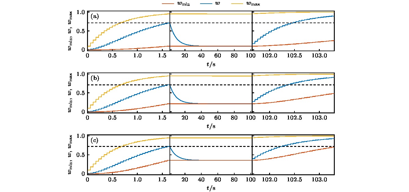
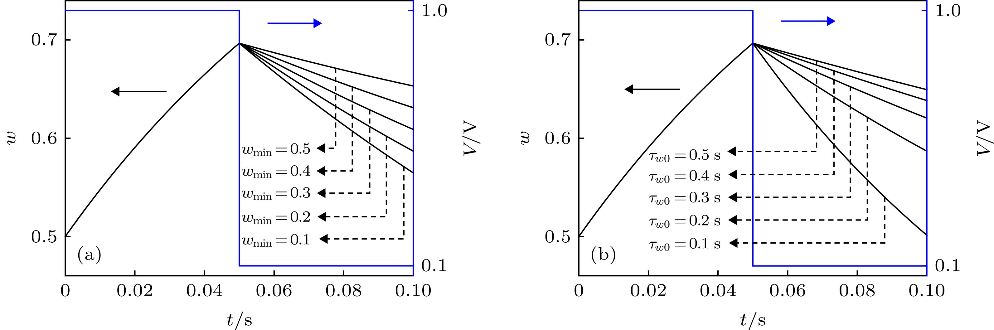
The behavior of transition from short-term memory (STM) to long-term memory (LTM) has been observed and reported in the experimental studies of memristors fabricated by different materials. This kind of memristor in this paper is named STM→LTM memristor. In some of these experimental researches, the learning-experience behavior observed in the " learning-forgetting-relearning” experiment is also reported. When the memristor is restimulated by pulses after forgetting the STM, its memory will quickly return to the highest state that has been reached before the forgetting period, and the memory recovery during the relearning period is obviously faster than the memory formation in the first learning process. In this paper, the behavior of the existing STM→LTM memristor model in the " learning-forgetting-relearning” experiment is further discussed. If
w
max, the upper bound of the memory level, is a constant with a value of 1, the STM→LTM memristor model exhibits no learning-experience behavior, and this model shows a faster relearning behavior in the " learning-forgetting-relearning” experiment. The relearning process is faster because the memory forgetting during pulse-to-pulse interval in the relearning process is slower than that in the first learning process. In the STM→LTM memristor model with learning-experience behavior,
w
maxis redesigned as a state variable in [0,1], and its value will be influenced by the applied voltage. The memory formation in the first learning process is relatively slow because
w
maxlimits the memory formation speed when the pulse is applied. After the forgetting process, the limitation of
w
maxon the pulse-induced memory formation is less obvious, so the memory of the device increases at a faster speed during the memory recovery of the relearning process. In this case, the forgetting speed still becomes slower after each pulse has been applied. If the pulse-induced
w
maxincrease is so fast that
w
maxwill quickly increase to its upper bound after a few pulses have been applied in the first learning process, and the learning-experience behavior is similar to the faster relearning behavior when
w
max= 1. In most of experimental research papers about the STM→LTM memristor, the change of the memristance can be explained by the formation and annihilation of the conductive channel between two electrodes of a memristor. During a certain period of time, the ions (or vacancies), which can be used to form the conductive channel, are only those that are around the conductive channel, which indicates that there should be an upper bound for the size of the conductive channel within this time period. The area in which ions (or vacancies) can be used to form the conductive channel is called the surrounding area of the conductive channel. In the model,
w
maxcan be understood as the size of the conductive channel’s surrounding area, and it describes the upper bound of the width of the conductive channel.