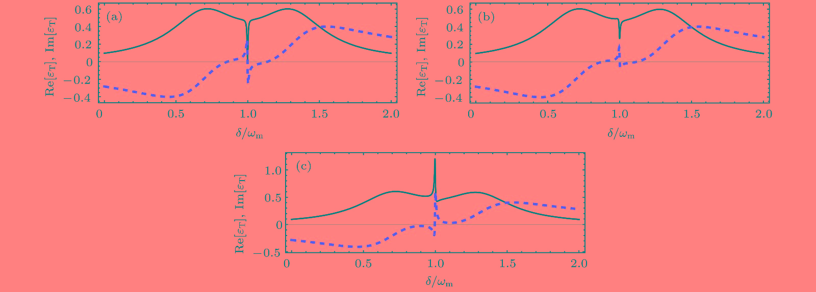
In recent years, due to the rapid development of nano science and advanced semiconductor technology, one is able to observe more significant quantum optomechanical effects as optomechanical system turns smaller in size. Optomechanically induced transparency, fast and slow light, optical storage as well as other quantum optical and nonlinear optical effects have become the focus of research. On the other hand, the optomechanical systems coupled to other small subsystems (such as atoms, quantum dots, single electron transistors, etc.) also attract great attention in research. This is because the coupling system has not only provided more degrees of freedom for quantum manipulation, but also opened up more channels for classical and quantum information transfer. In this paper we study the optomechanically induced transparency and fast/slow light phase control in atom-assisted optomechanical cavity. Unlike the traditional systems, in this model the mechanical resonator is directly driven by a weak auxiliary driving field. We therefore find that with the change of amplitude ratio and phase difference between the auxiliary driving field and the probe field, the absorption and dispersion properties of the whole system and the group delay time vary accordingly. In the absence of auxiliary field, we observe the spectral features of the hybrid electromagnetically induced transparency and optomechanically induced transparency (OMIT) in an atom-cavity-oscillator tripartite optomechanical system. When there exists no phase difference between the auxiliary field and the probe field, we find that the membrane resonance absorption is enhanced with the increase of auxiliary field strength at resonance, causing the the optomechanically induced transparency to be suppressed, and therefore we can modify the amplitude of auxiliary field to control the depth of the OMIT window. When keeping amplitude ratio between the auxiliary field and the probe field unchanged, the modification of the phase difference between the auxiliary field and the probe field directly affects the we can not only realize the manipulation of OMIT window depth, but also control the transformation of tunable optical switch among "absorption", "transparent" and "gain" of the system. Therefore, through changing the phase of auxiliary field and probe field, we can not only realize the manipulation of OMIT window depth, but also control the transformation of tunable optical switch among "absorption" , "transparent" and "gain". In the meantime, we find that the system’s group delay time varies periodically with the change of phase difference. It is worth noting that by adjusting the phase difference and the atomic number, we can not only change the magnitude of the group delay, but also realize the conversion between slow light and fast light effect.