When a supersonic spacecraft enters into the atmosphere of earth, part of the spacecraft's kinetic energy changes into thermal energy, thus causing the air surrounding the craft to be heated and compressed. As a result, the temperature near the surface may reach several thousands of kelvins, which leads the surface materials to be ionized and form a plasma sheath around the vehicle. This plasma layer has an electron density ranging from 10
15m
-3to 10
20m
-3, and may interrupt the radio communication signal between the re-entry vehicle and ground-based stations, which is known as ‘communication blackout’. According to the radio attenuation measurement (RAM) experiments carried out by NASA(National Aeronautics and Space Administration) in the 1970s, the duration time of communication blackout ranges from 4 to 10 minutes in an altitude range from 40 km to 100 km. Communication blackout has puzzled aerospace industry for several decades, and has not yet been completely resolved. Due to this, it becomes necessary to understand the causes of communication blackout and the methods for its mitigation. Compared with other communication methods, x-ray communication(XCOM) has the advantages of short carrier wavelength and high photon energy, as well as strong ability to resist anti-interference, thus being able to open a novel way to solve this long-lasting unresolved problem. In this paper, to begin with, we analyze the transmission coefficiencies under different plasma electron densities and collision frequencies based on Wentzel Kramers Brillouin (WKB) approximation method. The simulation results indicate that the x-ray carrier is not influenced by the reentry plasma sheath. After that, a plasma source based on glow discharge is used to verify the mathematical model. The non-magnetized unobstructed plasma region is
$\varPhi $
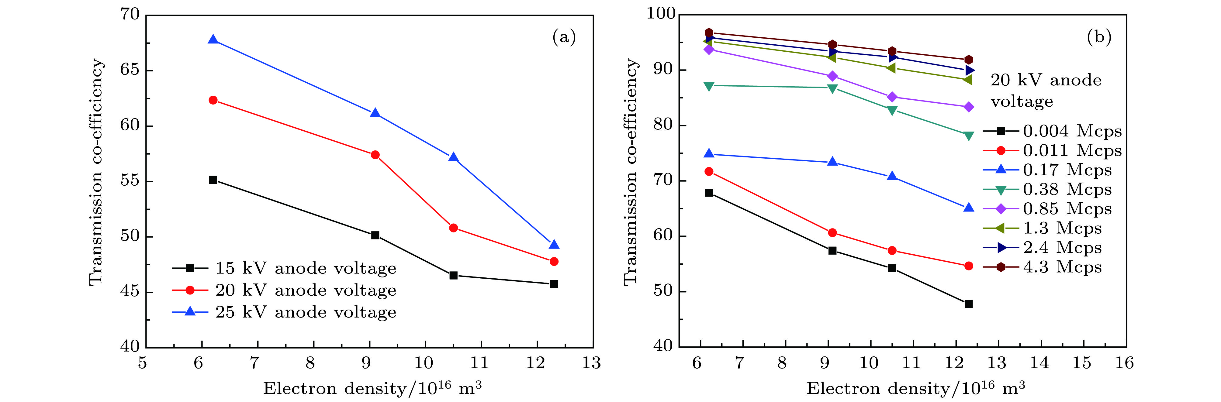
200 mm × 180 mm, which can be used for simulating plasma sheath near the reenter spacecraft. Then the transmission coefficiency, energy spectrum similarity and energy spectrum peak offset under different x-ray energy, x-ray flow and plasma electron density are firstly analyzed. Experimental results indicate that plasma can lead the x-ray signal to be attenuated to a certain extent, the increase of plasma electron density will cause higher attenuation. However, with a higher signal x-ray energy and x-ray flow, the XCOM could achieve less attenuation in the re-enter plasma layer. When the plasma electron density ranges from 6 × 10
16/m
3to 1.2 × 10
17/m
3, 1.34 Mcps signal x-ray photons’ flow with 20 kV anode voltage would achieve more than a 95% transmission efficiency. Also, the spectrum of x-ray signal can obtain more than 95.5% similarity and the peak offset is less than 1.3% after passing the plasma sheath. Subsequently, based on the original mathematic model and experimental results, considering the free-free absorption, free-bound absorption, bound-bound absorption and scattering effect of x-ray photons in plasma, the x-ray transmission characteristics are optimized to make simulation results well consistent with the experiment results. Finally, an MCNP (Monte Carlo N Particle) transport simulation is used to analyze the feasibility of XCOM in blackout region, which indicates that the energy range 15—25 keV is the suitable to achieve the XCOM in adjacent space, and the relation of potential transmitting speed with bit error is calculated. Theoretically, the XCOM can achieve about 1.3 Mbps communication speed in blackout region. In summary, these theoretical and experimental results indicate that the XCOM is a potential and novel method to solve the blackout communication problems.