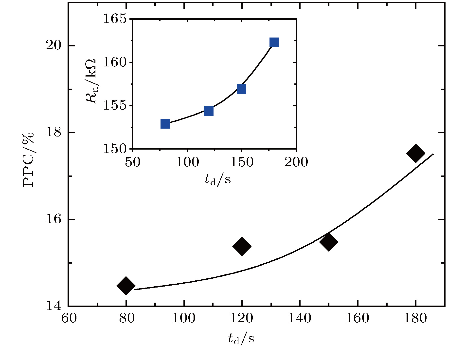
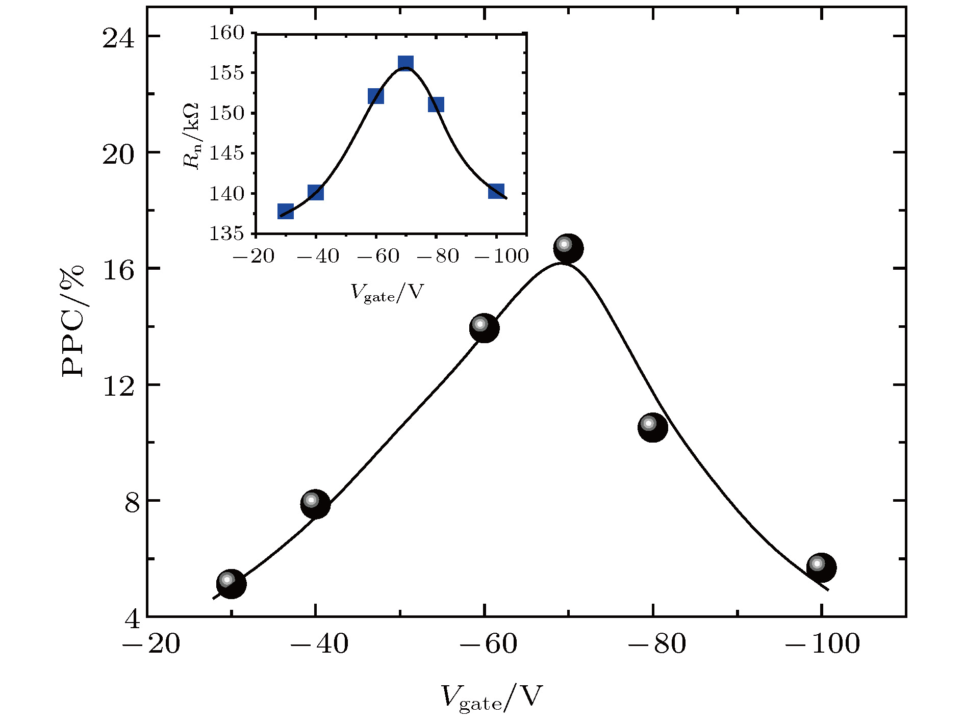
| [1] |
Fan Yi-Jie, Zhang Ruan, Chen Yu, Cai Xing-Han.Tuning magnetoresistance of chromium chloride tunnel junction through the interface and multi-field effect. Acta Physica Sinica, 2024, 73(13): 137302.doi:10.7498/aps.73.20240431 |
| [2] |
Qiao Yu-Jie, Zhang Zi-Tao, Shao Ting-Na, Zhao Qiang, Chen Xing-Yu, Chen Mei-Hui, Zhu Fang-Hui, Nie Jia-Cai.Anomalous metallic state regulated by magnetic field at LaAlO3/SrTiO3heterointerface. Acta Physica Sinica, 2023, 72(13): 137302.doi:10.7498/aps.72.20230410 |
| [3] |
Chen Wei-Long, Guo Rong-Rong, Tong Yu-Shen, Liu Li-Li, Zhou Sheng-Lan, Lin Jin-Hai.Influence of sub-bandgap illumination on electric field distribution at grain boundary in CdZnTe crystals. Acta Physica Sinica, 2022, 71(22): 226101.doi:10.7498/aps.71.20220896 |
| [4] |
Chen Xu-Min, Ye Pan, Wang Ji-Guang, Huo De-Xuan, Cao Dong-Xing.Flexoelectric effect of perovskite superlattice SrTiO3/BaTiO3. Acta Physica Sinica, 2022, 71(20): 206302.doi:10.7498/aps.71.20220988 |
| [5] |
Wei Gao-Shuai, Zhang Hui, Wu Xiao-Jun, Zhang Hong-Rui, Wang Chun, Wang Bo, Wang Li, Sun Ji-Rong.Terahertz emission from LaAlO3/SrTiO3heterostructures pumped with femtosecond laser. Acta Physica Sinica, 2022, 71(9): 090702.doi:10.7498/aps.71.20201139 |
| [6] |
Xi Jian-Feng, Li Bao-He, Liu Dan, Li Xiong, Geng Ai-Cong, Li Xiao.Enhanced photovoltaic effect in LaAlO3/SrTiO3interface. Acta Physica Sinica, 2021, 70(8): 086802.doi:10.7498/aps.70.20201330 |
| [7] |
Liu Chuan-Chuan, Hao Fei-Xiang, Yin Yue-Wei, Li Xiao-Guang.Photovoltaic effect and photo-assisted diode behavior in Pt/BiFeO3/Nb-doped SrTiO3heterojunction. Acta Physica Sinica, 2020, 69(12): 127301.doi:10.7498/aps.69.20200280 |
| [8] |
An Ming, Dong Shuai.Charge-mediated magnetoelectricity: from ferroelectric field effect to charge-ordering ferroelectrics. Acta Physica Sinica, 2020, 69(21): 217502.doi:10.7498/aps.69.20201193 |
| [9] |
He Dong-Mei, Peng Bin, Zhang Wan-Li, Zhang Wen-Xu.Inverse spin Hall effect in Nb doped SrTiO3. Acta Physica Sinica, 2019, 68(10): 106101.doi:10.7498/aps.68.20190118 |
| [10] |
Ruan Lu-Feng, Wang Lei, Sun De-Yan.Effect of Sr doping on electronic structure of La1-xSrxMnO3/LaAlO3/SrTiO3 heterointerface. Acta Physica Sinica, 2017, 66(18): 187301.doi:10.7498/aps.66.187301 |
| [11] |
Liu Lin, Wang Yong-Tian.Investigation of photo-induced phenomenon in the silicon nanowires made by chemical etching in HF/Fe(NO3)3 solution. Acta Physica Sinica, 2015, 64(14): 148201.doi:10.7498/aps.64.148201 |
| [12] |
Wang Ai-Di, Liu Zi-Yu, Zhang Pei-Jian, Meng Yang, Li Dong, Zhao Hong-Wu.Low frequency noise analysis and resistance relaxation in Au/SrTiO3/Au for bipolar resistive switching. Acta Physica Sinica, 2013, 62(19): 197201.doi:10.7498/aps.62.197201 |
| [13] |
Wang Lan-Xi, Chen Xue-Kang, Wu Gan, Cao Sheng-Zhu, Shang Kai-Wen.The influence of grain boundary on time response of diamond ultraviolet photo-detector. Acta Physica Sinica, 2012, 61(3): 038101.doi:10.7498/aps.61.038101 |
| [14] |
Shi Wei, Ma Xiang-Rong, Xue Hong.Transient thermal effect of semi-insulating GaAs photoconductive switch. Acta Physica Sinica, 2010, 59(8): 5700-5705.doi:10.7498/aps.59.5700 |
| [15] |
Qin Yi, Zhang Hui, Tan Song-Lin, Liu Ting, Zhang Peng-Xiang.Preparation and laser induced thermoelectric voltage effect of [(SrTiO3)n/(SrTi0.8Nb0.2O3)m]20/LaAlO3 superlattices. Acta Physica Sinica, 2009, 58(5): 3497-3502.doi:10.7498/aps.58.3497 |
| [16] |
Zou Ji-Jun, Chang Ben-Kang, Yang Zhi, Gao Pin, Qiao Jian-Liang, Zeng Yi-Ping.Stability of GaAs photocathodes under different intensities of illumination. Acta Physica Sinica, 2007, 56(10): 6109-6113.doi:10.7498/aps.56.6109 |
| [17] |
Yu Yun-Peng, Lin Xuan-Ying, Lin Shun-Hui, Huang Rui.Influence of light exposure and applied bias on the conductivity of microcrystalline silicon films at room temperature. Acta Physica Sinica, 2006, 55(4): 2038-2043.doi:10.7498/aps.55.2038 |
| [18] |
Xu Run, Shen Ming-Rong, Ge Shui-Bing.. Acta Physica Sinica, 2002, 51(5): 1139-1143.doi:10.7498/aps.51.1139 |
| [19] |
Cui Da-Fu, Wang Huan-Hua, Dao Shou-Yu, Zhou Yue-Liang, ChenZheng Hao, Yang Guo-Zheng, Liu Feng-Qin, K .Ibrahim, Qian Hai-Jie.. Acta Physica Sinica, 2002, 51(1): 187-191.doi:10.7498/aps.51.187 |
| [20] |
TU JIN-HONG, ZHAN LI.DIFFRACTION AND INTERFERENCE EFFECT OF DOUBLE GRATINGS WITH A ROTATION-ANGLE UNDER PARTIALLY COHERENT ILLUMINATION. Acta Physica Sinica, 1991, 40(9): 1424-1424.doi:10.7498/aps.40.1424 |