For ZnO which is not magnetic itself, it is of great significance to study the source of ferromagnetism and its photoelectric properties when Cu doped ZnO coexists with internal defects. The effects of intrinsic defects on the electronic structures, magnetic and optical properties of Cu-doped ZnO (Cu
Zn) are studied by using first principle calculations based on the density functional theory combined with the Hubbard U (DFT +
U
d+
U
p). The results indicate that the doped Cu is a substitute acceptor, and the manufacturing environment plays an important role in forming the Cu
Znwith internal defects. Under the oxygen-rich condition, the doped Cu is favorable for forming internal defects, and the Cu
Zn—O
ibonds are easily formed. On the contrary, the Cu-doped ZnO is not conducive to forming internal defects under the O-poor condition. The 3d electrons of the substitute Cu form the unoccupied accepter energy level at the top of valence band, generating p-type conduction. Comparing with Cu
Znsystem, the carrier concentration of positive hole decreases in Cu
Zn-V
Osystem and the conductivity is poor. In the Cu
Zn-V
Znsystem, the number of carrier holes is almost constant, and the conductivity has no effect. In the Cu
Zn-O
imodel, the carrier concentration of positive holes increases and the conductivity gets better. The pure ZnO system exhibits non-magnetic behavior. The study also reveals that the smaller the electro-negativity, the greater the contribution to magnetic moment is when O atom is connected with Cu atom. The magnetic moments in Cu
Znand Cu
Zn-O
isystem are mainly generated by the coupling between the Cu 3d and the O 2p orbital on the
caxis. When V
Oand V
Znexist in Cu
Zn, the magnetic moment is mainly caused by the strong coupling of Cu 3d with O 2p in ab plane. In the presence of V
Znin Cu
Zn, the magnetism also contains the contribution of the spin polarization of O(5, 6) atoms around V
Zn. In the defect states of Cu
Zn-V
Znand Cu
Zn-O
i, the induced states in the deep energy levels are generated by the interaction between the O-O 2s orbital electrons. The reduced optical band gap of the Cu
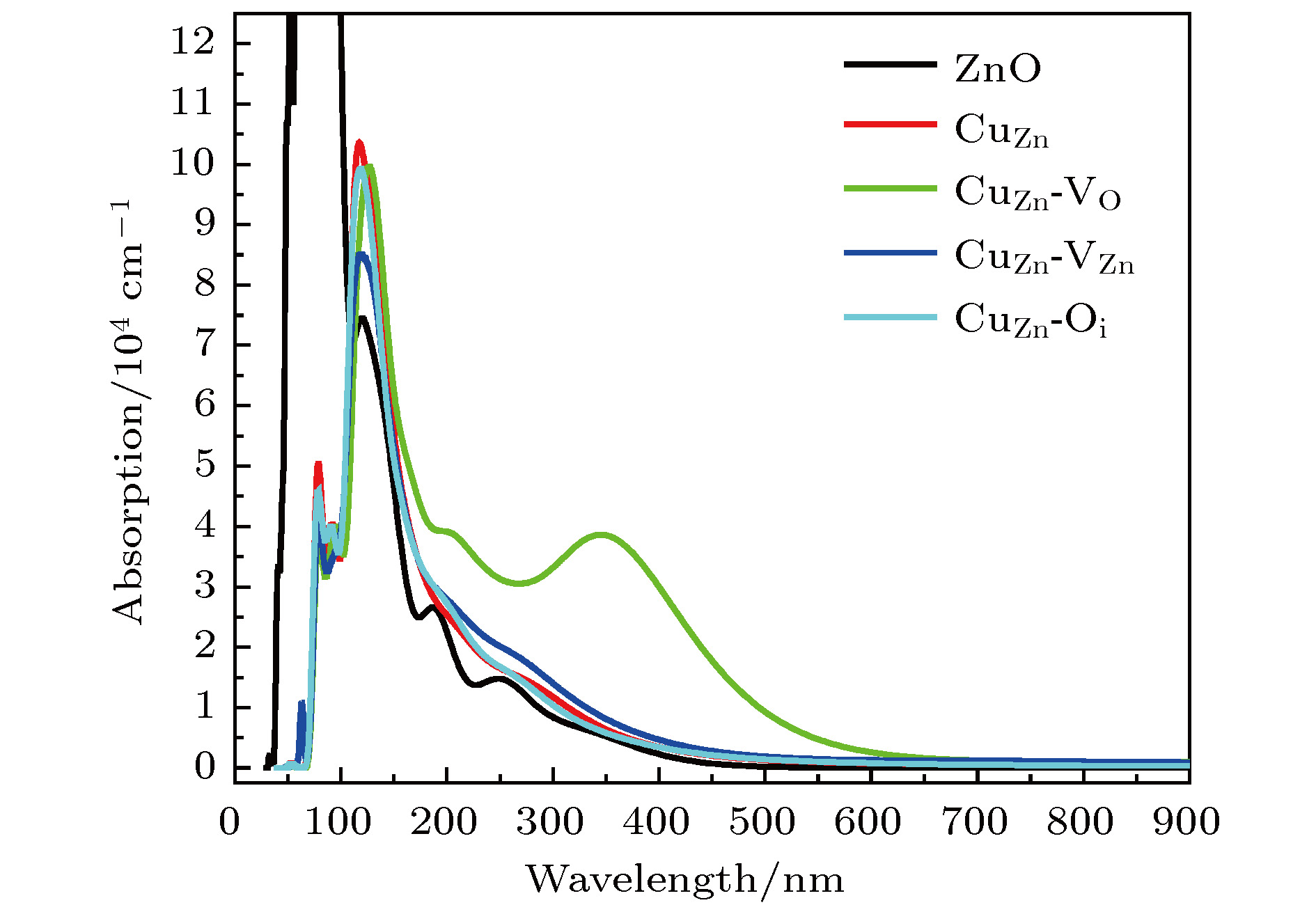
Znmodel results in the red shift of absorption spectrum. The enhanced absorption and reflection of the Cu
Zn-V
Znmodel reduce the transmission.