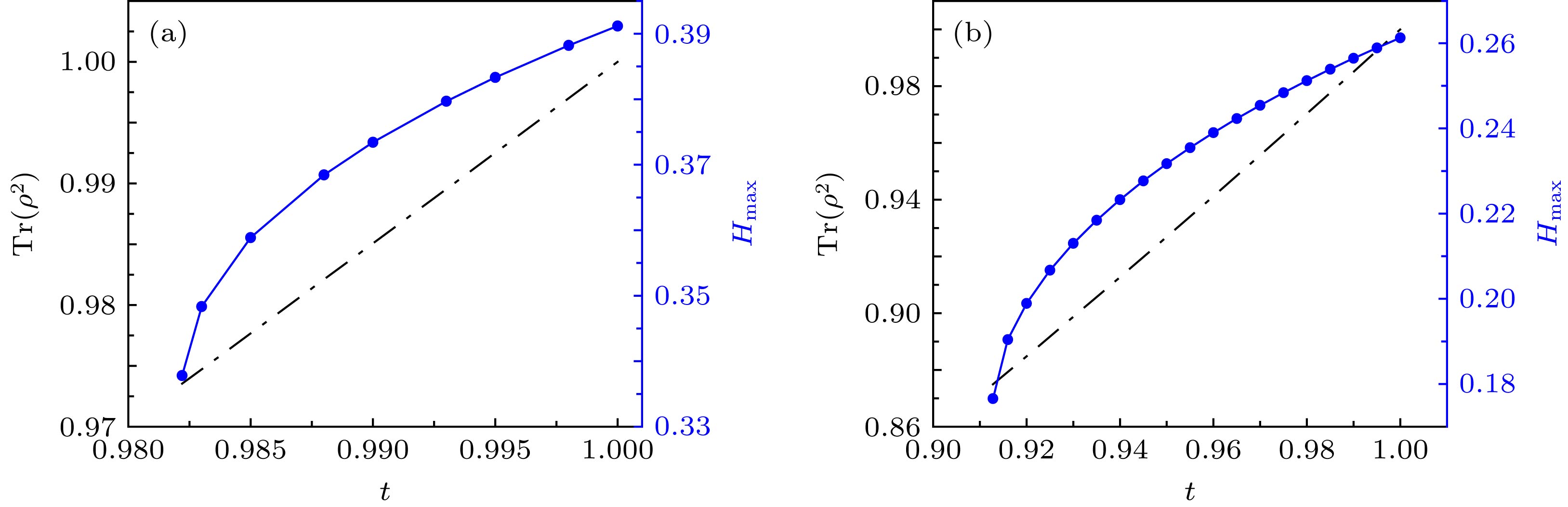
Quantum nonlocality is an important phenomenon predicted by quantum mechanics. It is also one of the most important characteristics that quantum theory is different from classical theory. Therefore, it is of great significance to test the quantum nonlocality with higher successful probability. In this paper, a testing logic based on Hardy-type paradox is proposed and its applicability is proved. Such a logic can be used to test the quantum nonlocality for both the quantum mixed state and the quantum pure state with a high successful probability. It is found that, for quantum pure states, the probability of successfully testing the quantum nonlocality first increases and then decreases with the increase of entanglement degree of quantum states. The maximum successful probability of the testing the quantum pure state is over 39%. Furthermore, taking the Werner-like state, a quantum mixed state for example, the high successful probability of testing the quantum nonlocality is investigated by using the proposed logic. It is found that with the increase of the purity of the quantum mixed state, the successful probability of testing the quantum nonlocal correlation will increase. Finally, the conditions and the range of testing quantum nonlocality with high successful probability for Werner states are given. It is found that for
r= 0.599997, the Werner-like quantum mixed state has a maximum range (i.e.
${\rm Tr}({{\rho}^2}) \geqslant 0.874696$
) of successfully testing the quantum nonlocality.