In the extensive modern applications, the low-frequency and heavy-load isolators are needed to reduce the vibration transmissions. The unique properties of nonlinear systems, such as jumping, bifurcation and chaos, provide new ideas for designing the new functional structures. Bistable system is a typical non-linear system, features highly static and low dynamic stiffness, which promises to realize a low-frequency isolator with ensuring heavy load capacity. However, more studies are necessary to clarify the sub-harmonic resonance and its generation process, parameter influences, vibration isolation characteristics of the bistable structure.
By adopting the equivalent, analytical, numerical and experimental methods, we study the 1/2 sub-harmonic resonance, evolution process and its influence on the vibration isolation characteristics of the bistable structure in this paper. When the amplitude or nonlinear stiffness coefficient
k
nincreases to a certain extent, 1/2 sub-harmonic resonance appears, where the response contains high-amplitude
ω/2 component under the excitation frequency
ω, so the energy is transferred from high frequency to low frequency. We study the bifurcation and varying processes of the fundamental and 1/2 sub-harmonic transmission by increasing the amplitude. At critical bifurcation amplitude, the sub-harmonic transmission rapidly increases from 0 to a large peak value. And then, it decreases gradually when the damping is absent. However, the peak value of 1/2 sub-harmonic does not cause the fundamental transmission to change suddenly. When considerable damping appears with the increase of the amplitude, 1/2 sub-harmonic does not always exist, instead, it follows an interesting “generation-enhancement-degeneration-disappearance” process. This process possesses great significance in applying the 1/2 sub-harmonic to vibration manipulation or avoiding the resonant enhancement induced by it.
Moreover, in this process, both the peak frequency and the peak transmission of the bistable isolation system descend first. The optimal combination of the parameters can reduce the resonance frequency by 17.8% through increasing the driving amplitude. However, they jump to large values when 1/2 sub-harmonic plays a dominant role.
Additionally, the negative stiffness
k
0has a significant effect on the primary resonance characteristics: as |
k
0| increases under a specified excitation amplitude, the resonance peak shifts toward higher frequency and the transmission increases. Besides the main effect on the sub-harmonic resonance and the equilibrium point, the nonlinear coefficient
k
nalso affects the peak and resonance frequency of the system, but the effect is much less than the influence caused by
k
0.
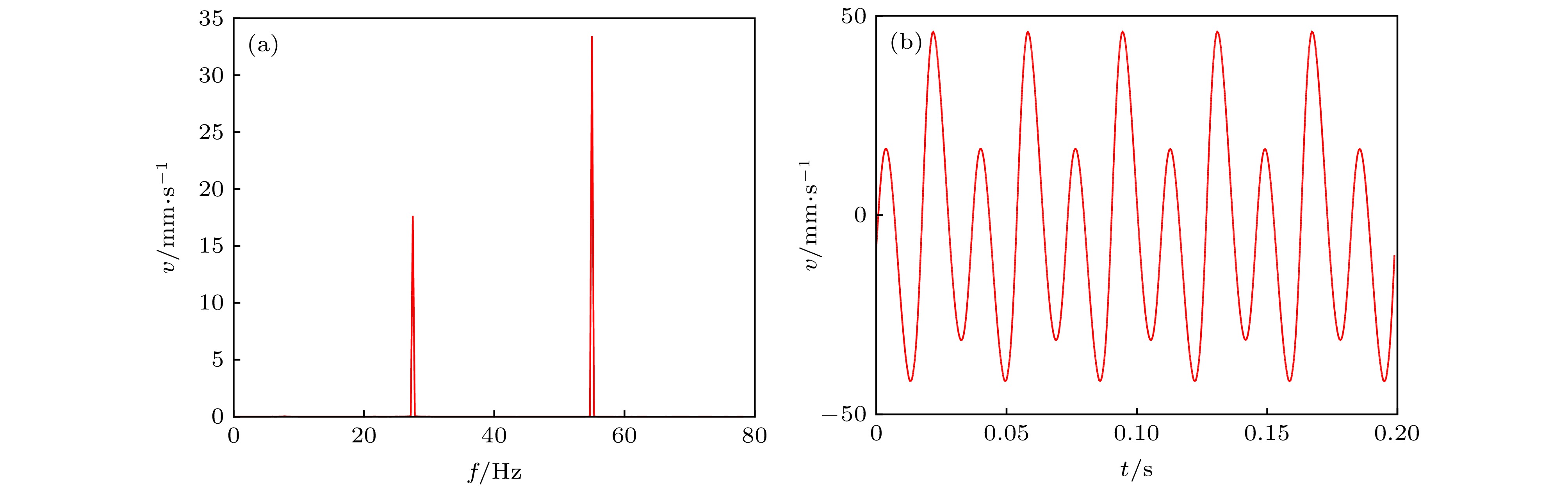
Furthermore, the sub-harmonic resonances, bifurcations and vibration isolation characteristics of the bistable bulking beam structure are demonstrated experimentally. The experimental results show that: 1) the 1/2 sub-harmonic resonance can appear in a certain bandwidth and it is not monochromic; 2) the increase of the driving amplitude can reduce the transmission of the fundamental wave; 3) the transmission of 1/2 sub-harmonic jumps from 0 upward to a large value at a critical amplitude, and then it decreases gradually. The experimental results are consistent with the analytical and numerical results. The experiment also demonstrates the law of frequency shifting and the transmission reduction of peak values. Therefore, the appropriate increase of the amplitude can improve the vibration isolation capacity. However, sub-harmonic resonance will reduce the isolation effect. In practical engineering, the strong sub-harmonic resonance should be avoided in a nonlinear vibration isolation system.