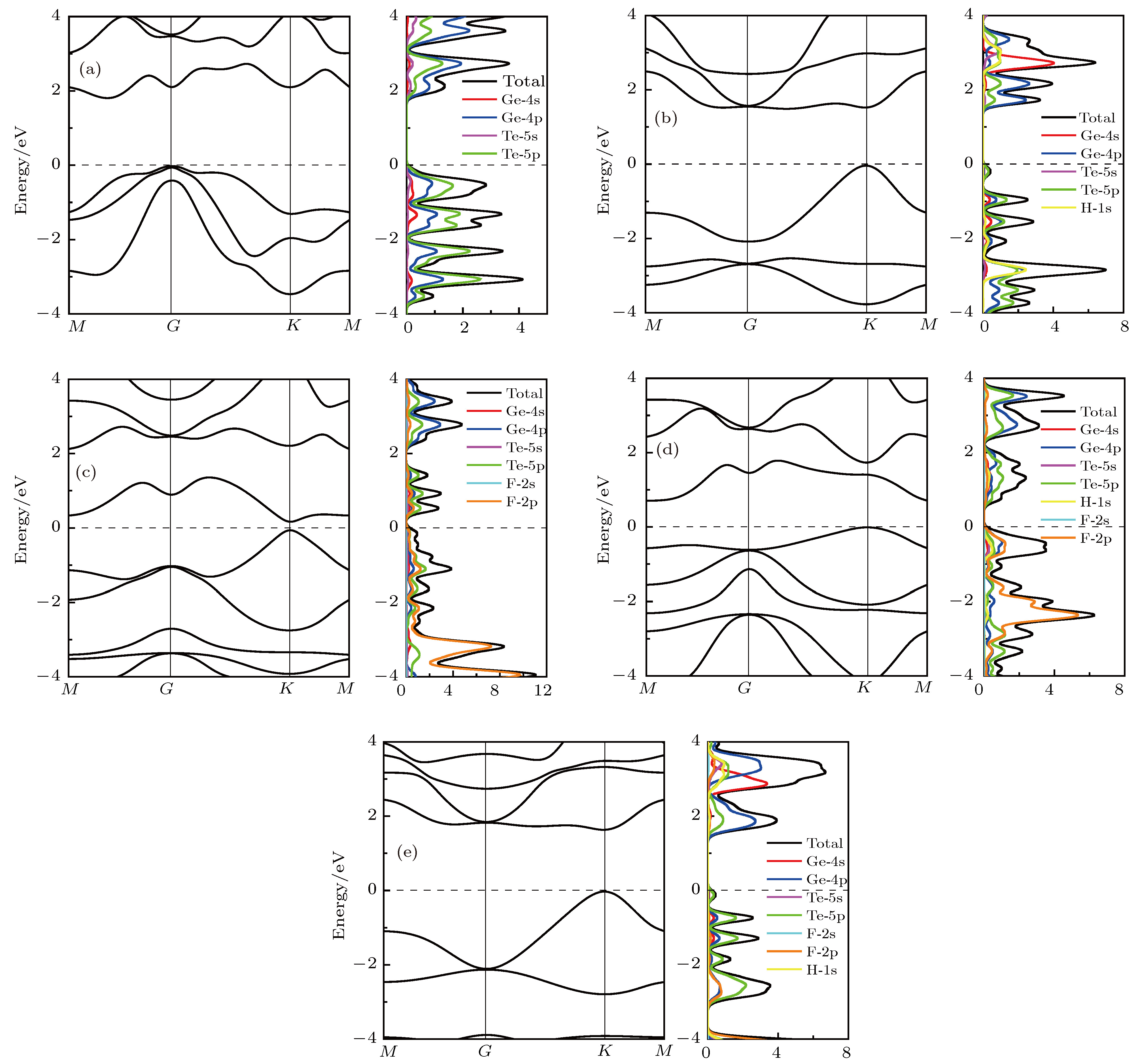
Using the first principle calculation based on the density functional theory, we have systematically investigated the structure stability, electronic structure and photocatalytic properties of two-dimensional single-layered GeTe crystal structure modified by H and F. The results show that the lattice constant, bond angle and bond length of GeTe increase after being modified. The stability analysis shows that all the materials have excellent dynamical, mechanical, and thermal stabilities. The electronic structure analysis shows that the two-dimensional GeTe is an indirect bandgap semiconductor with an energy gap of 1.797 eV, and its energy band is mainly composed of Ge-4p and Te-5p, while it is converted into a direct bandgap semiconductor by H or F modification and H-F co-modification (F and Ge on one side, H and Te on the other), and their corresponding energy gaps are reduced to 1.847 eV (fH-GeTe), 0.113 eV (fF-GeTe) and 1.613 eV (hF-GeTe-hH). However, hH-GeTe-hF is still an indirect band gap semiconductor, and its energy gap is reduced to 0.706 eV. The results of the density of states show that part of the Ge-4p and Te-5p electrons are transferred to a deeper level due to the adsorption of H or F atoms, resulting in a strong orbital hybridization between them and the adsorbed atoms. The effective mass shows that the effective mass of H or F modified and H-F co-modified GeTe (F and Ge on one side, H and Te on the other) decrease, and their carrier mobilities increase. The carrier recombination rates of all modified GeTe materials are lower than that of the intrinsic GeTe, so the semiconductor will be more durable. The electron density difference shows that due to the electronegativities of atoms being different from each other, when H or F is used to modify GeTe, some electrons transfer to H and F atoms, resulting in the weakening of covalent bond between Ge and Te atoms and the enhancement of ion bond. The results of band-edge potential analysis show that GeTe can produce hydrogen and oxygen by photolysis of water. However, the valence band edge potential of the modified GeTe decreases significantly, and its oxidation ability increases considerably, the photocatalytic water can produce O
2, H
2, O
3, OH·, etc. Optical properties show that the modified GeTe can enhance the absorption of visible and ultraviolet spectrum, which indicates that they have great application prospects in the field of photocatalysis.