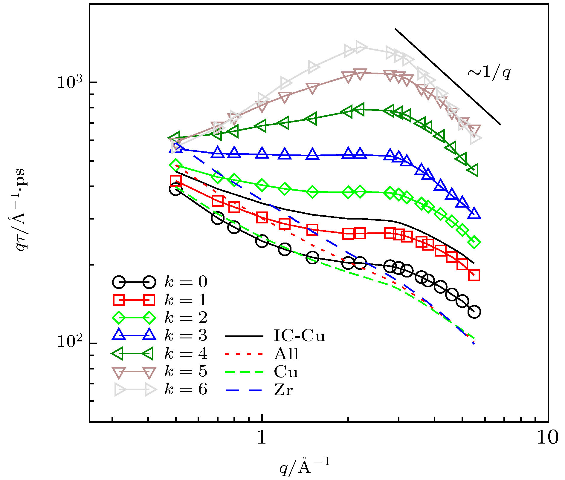
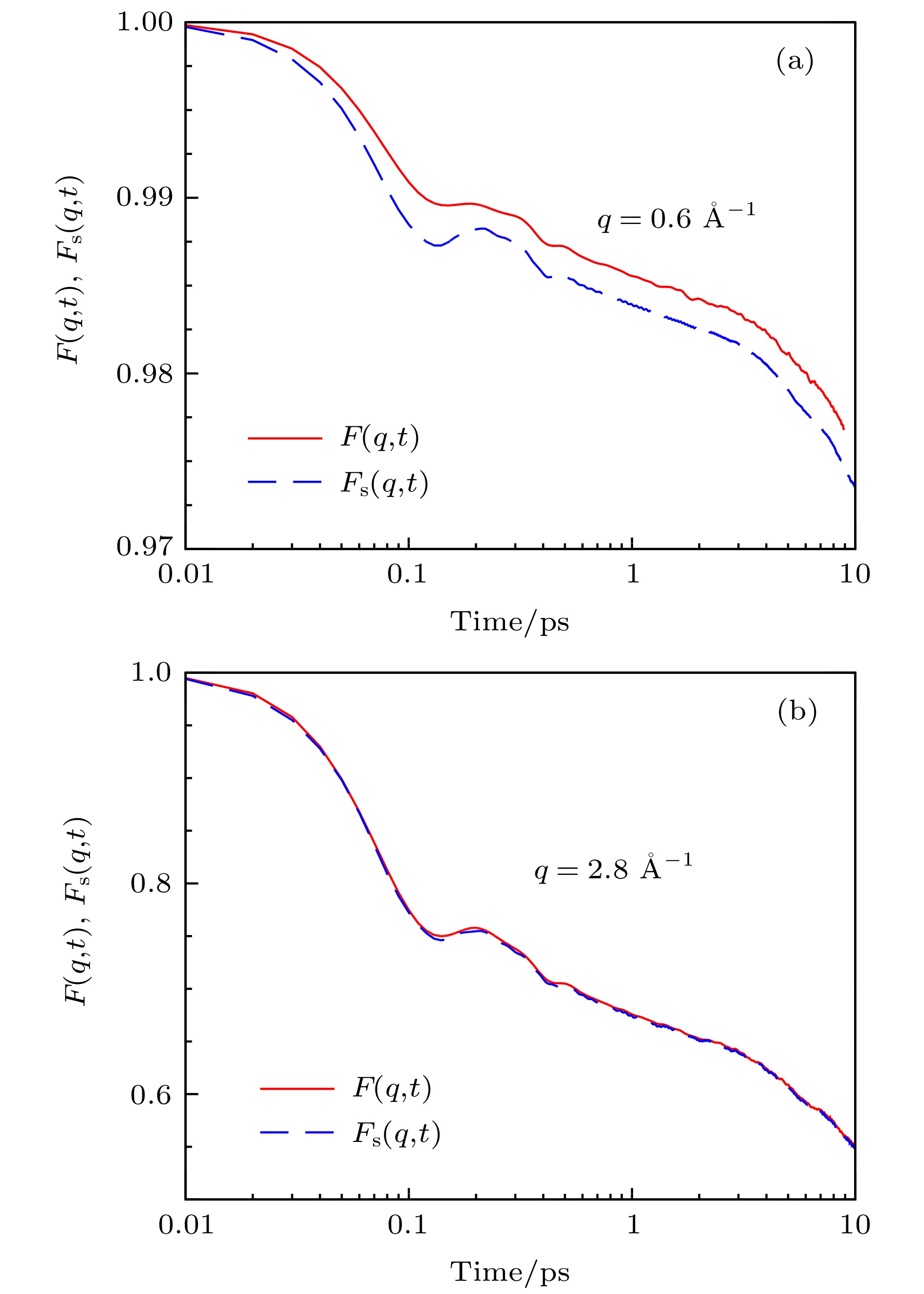
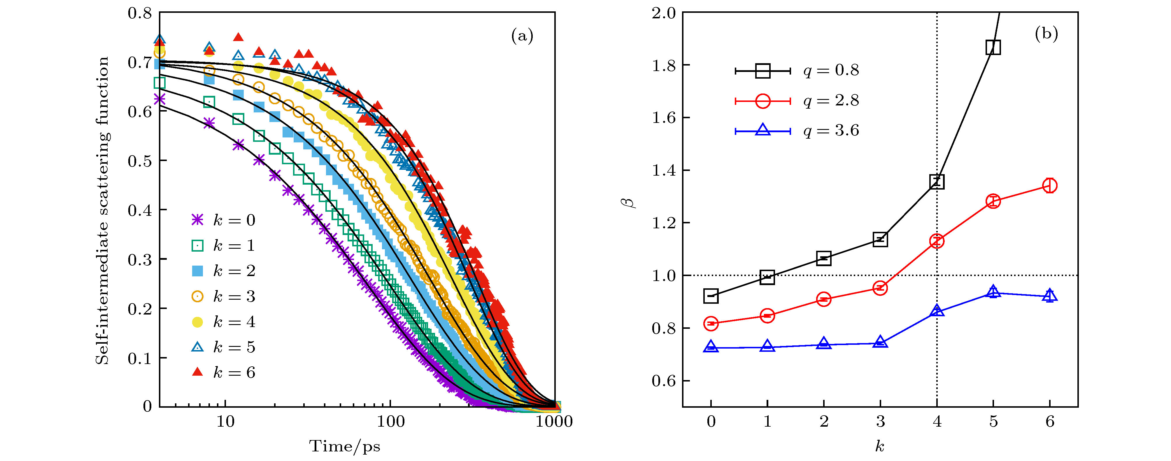
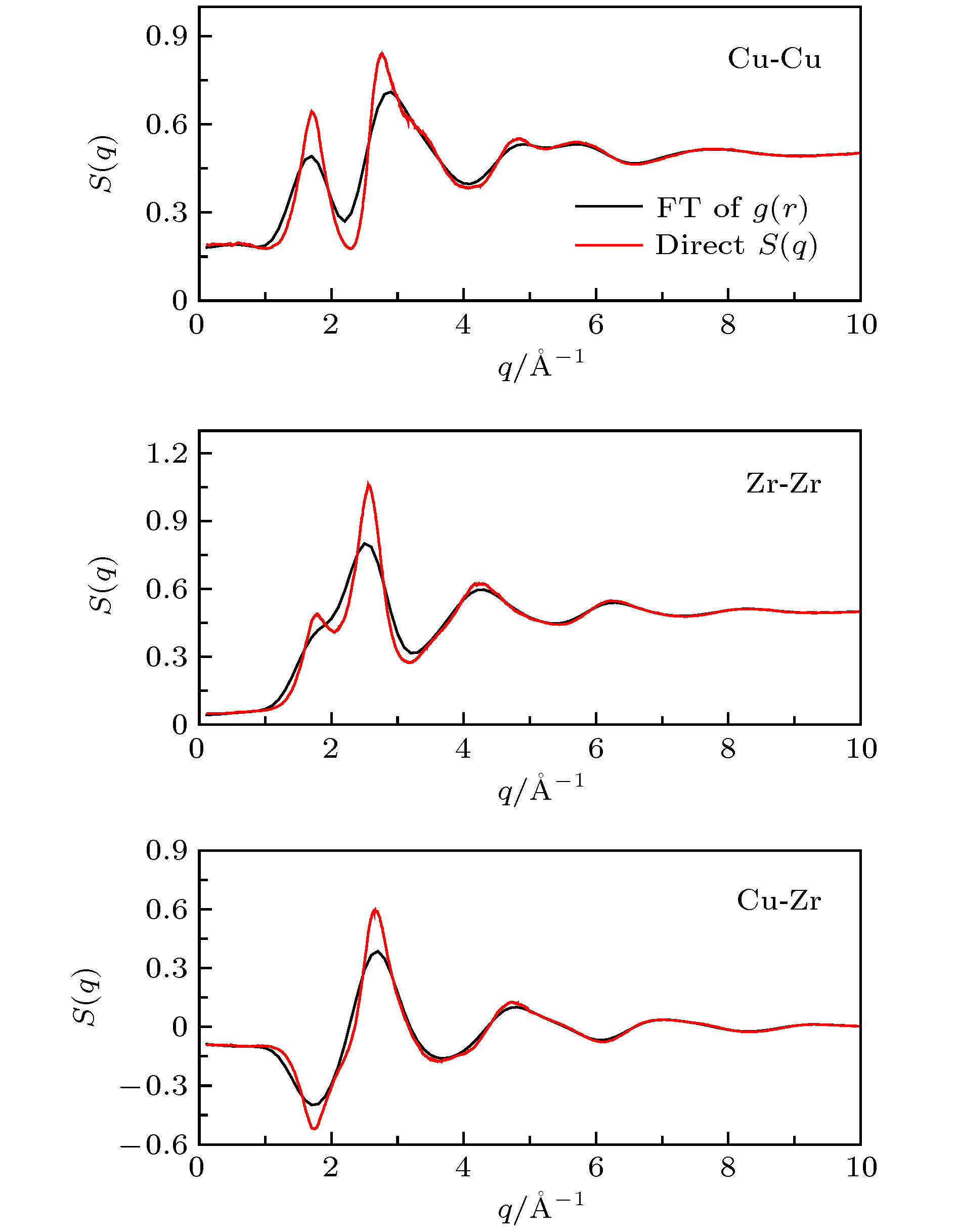
| [1] |
Zhang Jian, Hao Qi, Zhang Lang-Ting, Qiao Ji-Chao.Probing microstructural heterogeneity of La-based amorphous alloy under versatile mechanical stimuli. Acta Physica Sinica, 2024, 73(4): 046101.doi:10.7498/aps.73.20231421 |
| [2] |
Meng Shao-Yi, Hao Qi, Wang Bing, Duan Ya-Juan, Qiao Ji-Chao.Effects of cooling rate onβrelaxation process and stress relaxation of La-based amorphous alloys. Acta Physica Sinica, 2024, 73(3): 036101.doi:10.7498/aps.73.20231417 |
| [3] |
Huang Bei-Bei, Hao Qi, Lyu Guo-Jian, Qiao Ji-Chao.Dynamical relaxation and stress relaxation of Zr-based metallic glass. Acta Physica Sinica, 2023, 72(13): 136101.doi:10.7498/aps.72.20230181 |
| [4] |
Meng Shao-Yi, Hao Qi, Lyu Guo-Jian, Qiao Ji-Chao.The β relaxation process of La-based amorphous alloy: Effect of annealing and strain amplitude. Acta Physica Sinica, 2023, 72(7): 076101.doi:10.7498/aps.72.20222389 |
| [5] |
Zhou Bian, Yang Liang.Molecular dynamics simulation of effect of cooling rate on the microstructures and deformation behaviors in metallic glasses. Acta Physica Sinica, 2020, 69(11): 116101.doi:10.7498/aps.69.20191781 |
| [6] |
Wen Da-Dong, Deng Yong-He, Dai Xiong-Ying, Wu An-Ru, Tian Ze-An.Atomic-level mechanism for isothermal crystallization in supercooled liquid tantalum. Acta Physica Sinica, 2020, 69(19): 196101.doi:10.7498/aps.69.20200665 |
| [7] |
Ping Zhi-Hai, Zhong Ming, Long Zhi-Lin.Yield behavior of amorphous alloy based on percolation theory. Acta Physica Sinica, 2017, 66(18): 186101.doi:10.7498/aps.66.186101 |
| [8] |
Ke Hai-Bo, Pu Zhen, Zhang Pei, Zhang Peng-Guo, Xu Hong-Yang, Huang Huo-Gen, Liu Tian-Wei, Wang Ying-Min.Research progress in U-based amorphous alloys. Acta Physica Sinica, 2017, 66(17): 176104.doi:10.7498/aps.66.176104 |
| [9] |
Chen Na, Zhang Ying-Qi, Yao Ke-Fu.Transparent magnetic semiconductors from ferromagnetic amorphous alloys. Acta Physica Sinica, 2017, 66(17): 176113.doi:10.7498/aps.66.176113 |
| [10] |
Guan Peng-Fei, Wang Bing, Wu Yi-Cheng, Zhang Shan, Shang Bao-Shuang, Hu Yuan-Chao, Su Rui, Liu Qi.Heterogeneity: the soul of metallic glasses. Acta Physica Sinica, 2017, 66(17): 176112.doi:10.7498/aps.66.176112 |
| [11] |
Bian Xi-Lei, Wang Gang.Ion irradiation of metallic glasses. Acta Physica Sinica, 2017, 66(17): 178101.doi:10.7498/aps.66.178101 |
| [12] |
Wang Zheng, Wang Wei-Hua.Flow unit model in metallic glasses. Acta Physica Sinica, 2017, 66(17): 176103.doi:10.7498/aps.66.176103 |
| [13] |
Sun Chuan-Qin, Huang Hai-Shen, Bi Qing-Ling, Lü Yong-Jun.Wetting kinetics of water droplets on the metallic glass. Acta Physica Sinica, 2017, 66(17): 176101.doi:10.7498/aps.66.176101 |
| [14] |
Li Mao-Zhi.Five-fold local symmetries in metallic liquids and glasses. Acta Physica Sinica, 2017, 66(17): 176107.doi:10.7498/aps.66.176107 |
| [15] |
Liu Li-Xia, Hou Zhao-Yang, Liu Rang-Su.Simulation study on the dynamic mechanisms of nucleation during the initial stage of supercooled liquid potassium. Acta Physica Sinica, 2012, 61(5): 056101.doi:10.7498/aps.61.056101 |
| [16] |
Zhao Xing-Yu, Wang Li-Na, Fan Xiao-Hui, Zhang Li-Li, Wei Lai, Zhang Jin-Lu, Huang Yi-Neng.Computer simulation of the string relaxation modes of the molecule-string model for glass transition. Acta Physica Sinica, 2011, 60(3): 036403.doi:10.7498/aps.60.036403 |
| [17] |
Fan Xiao-Hui, Zhao Xing-Yu, Wang Li-Na, Zhang Li-Li, Zhou Heng-Wei, Zhang Jin-Lu, Huang Yi-Neng.Monte Carlo simulations of the relaxation dynamics of the spatial relaxation modes in the molecule-string model. Acta Physica Sinica, 2011, 60(12): 126401.doi:10.7498/aps.60.126401 |
| [18] |
Yan Zhi-Jie, Li Jin-Fu, Zhou Yao-He, Wu Yan-Qing.Indentation-induced crystallization in a metallic glass. Acta Physica Sinica, 2007, 56(2): 999-1003.doi:10.7498/aps.56.999 |
| [19] |
Cheng Wei-Dong, Sun Min-Hua, Li Jia-Yun, Wang Ai-Ping, Sun Yong-Li, Liu Fang, Liu Xiong-Jun.Small angle X-ray scattering research of the relaxation and crystallization process in Cu60Zr30Ti10 amorphous alloy. Acta Physica Sinica, 2006, 55(12): 6673-6676.doi:10.7498/aps.55.6673 |
| [20] |
Zhou Xiao-Feng, Tao Shu-Fen, Liu Zuo-Quan, Kan Jia-De, Li Hai-Yang.. Acta Physica Sinica, 2002, 51(2): 322-325.doi:10.7498/aps.51.322 |