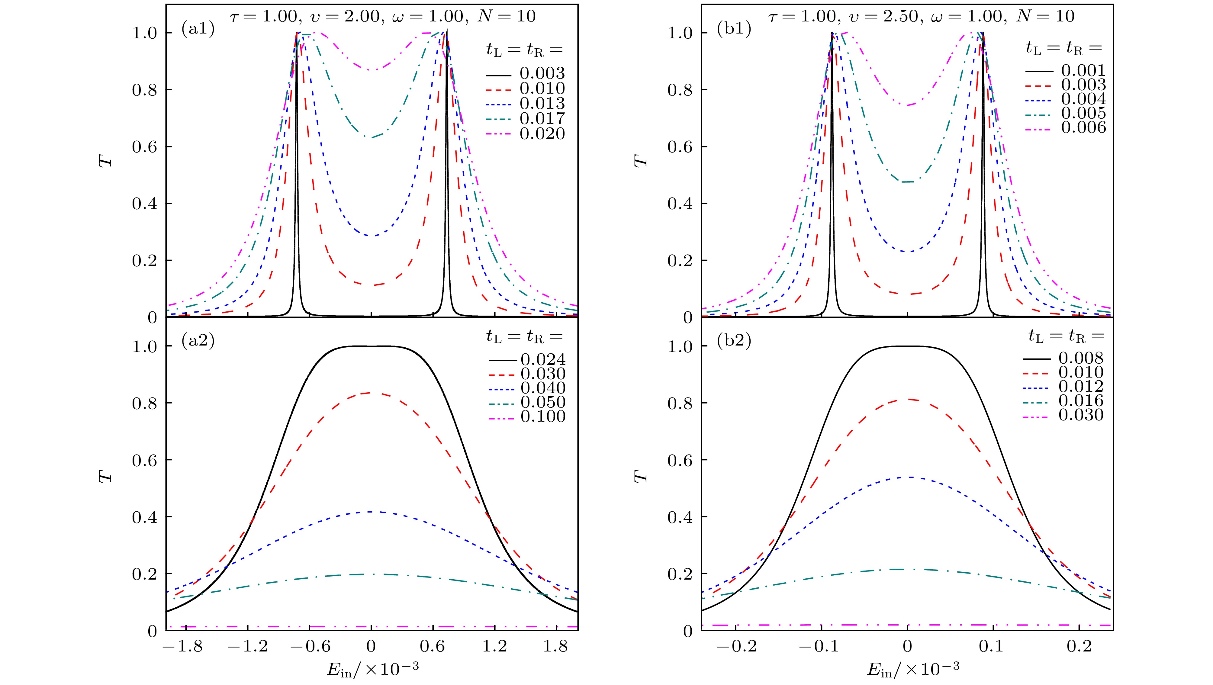
The Su-Schrieffer-Heeger (SSH) is a typical one-dimensional system with topological edge states, which has been experimentally realized in the photon and cold atom systems.Therefore, how to confirm the existence of the edge states from theoretical and experimental has become one of the most important topics in condensed matter physics. In this paper, using the tight-binding approximation and transfer-matrix method, we have studied the transport signatures of electron through a quantum dot-SSH chain hybrid system. Here,the two quantum dots play a role in modulating the tunneling coupling strength between the SSH chain and the two electrodes.When the quantum dots are weakly coupled to the SSH chain, the quadruple-degenerate edge states of the quantum dot-SSH chain hybrid system correspond to that the SSH chain has two degenerate zero-energy edge states; whereas the twofold-degenerate ones correspond to that the SSH chain has no edge states. While the quantum dots are strongly coupled to the SSH chain, the edge states only exist when the intra-cell hopping amplitude is larger than the inter-cell hopping amplitude. In this situation, however, there is no edge states in the SSH chain. In particular, when the quantum dot-SSH chain hybrid system is strongly coupled to the two external electrodes, the number of transmission resonance peaks of the edge states of the quantum dot-SSH chain hybrid system will be reduced by 2. For example, in the case of the quadruple-degenerate edge states, the number of transmission resonance peaks will be two; whereas in the case of twofold-degenerate ones, that will disappear. Therefore, by modulating the tunneling coupling strength between the quantum dots and the SSH chain and that between the quantum dots and the two external electrodes, we can observe the variation of the number of transmission resonance peaks of edge states to detect whether the SSH chain is in the nontrivial topological state or not.