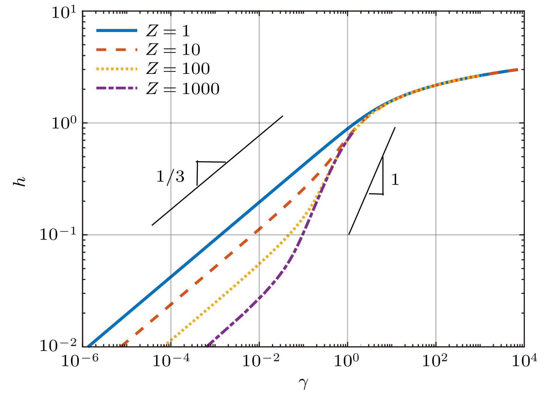
\begin{document}$H \sim (Z\varPhi)^{-1/3}$\end{document}, where \begin{document}$\varPhi$\end{document} is the nanoparticle volume fraction. When the nanoparticle charge Z is large enough, nanoparticles are mainly distributed outside the brush and the brush thickness is scaled by \begin{document}$H \sim (Z\varPhi)^{-1}$\end{document}. In the former case, the Coulombic repulsion between the grafted polyelectrolyte chains is screened by the counterions and the nanoparticles, and the brush behavior is determined by the balance between the chain elasticity and the osmotic pressure of the counterions and the nanoparticles. In the latter case, the electrostatic screening is executed by the counterions, and the chain elasticity is balanced by the osmotic pressure of the counterions. The two regimes are divided into subregimes which are dominated respectively by electrostatic or non-electrostatic interaction. The effects of size polydispersity of the nanoparticles are also investigated. It is found that the behaviors of the grafted polyelectrolyte chains are mainly determined by the ratio between the first two moments of the nanoparticle size distribution function. The polyelectrolyte brush is compressed more by the polydispere nanoparticles than by the monodisperse ones. Possible improvement in the present theory is discussed in the conclusion section."> - 必威体育下载

Search

Article

x

留言板

姓名
邮箱
手机号码
标题
留言内容
验证码

downloadPDF
Citation:

    Qu Li-Jian
    PDF
    HTML
    Get Citation
    Metrics
    • Abstract views:5598
    • PDF Downloads:60
    • Cited By:0
    Publishing process
    • Received Date:22 March 2020
    • Accepted Date:25 April 2020
    • Available Online:08 May 2020
    • Published Online:20 July 2020

      返回文章
      返回
        Baidu
        map