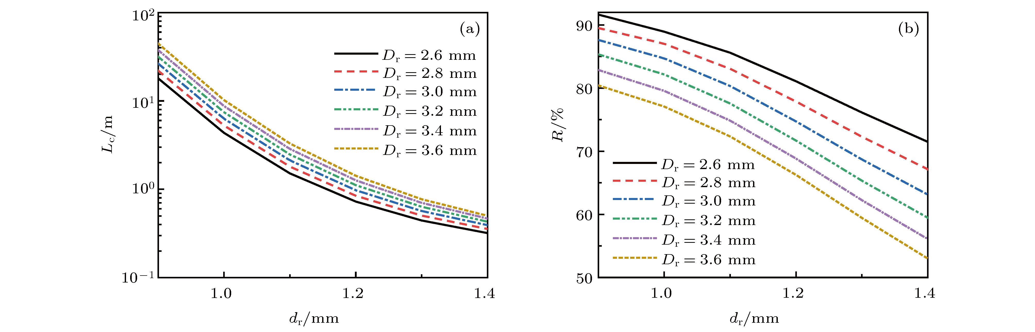
The THz wave has good photonic and electronic properties, and has high penetration for non-polar materials, but its own photon energy is low. In addition, the THz wave also has characteristics such as wide bandwidth and large communication capacity, thereby making the THz wave possess important academic value and wide application prospects in the fields of non-destructive testing, biomedical imaging and communication. The development of THz technology requires not only high-performance THz waveguide technology for efficient transmission of THz waves, but also important optical devices such as optical switches, modulators, and couplers that are suitable for THz bands. With the in-depth study of THz waveguide technology, researchers have proposed many high-performance THz waveguide structures, such as metal hollow core tube waveguide, parallel metal plate waveguide, photonic crystal fiber and microstructure hollow core fibers, among which hollow-core photonic crystal fibers and hollow-core anti-resonant fibers (HC-ARF) have developed rapidly in recent years. So far, THz single-mode single-polarization fiber and high-birefringence fiber have been widely studied, but the researches on the fiber structure and devices that realize THz wave directional coupling are relatively rare. In this paper, we study the influences of the arrangement and distribution of the inner and outer claddings of HC-ARF on transmission characteristics, and thus design a new type of THz dual-core anti-resonant fiber. Compared with ordinary quartz fiber couplers and dual-core photonic crystal fibers, it can utilize a relatively simple structure and achieve directional coupling above 2 THz. Using the finite element analysis method to theoretically analyze the loss characteristics and coupling characteristics of the fiber, it is found that HC-ARF changes the periodic arrangement and distribution of the inner cladding tube within a certain range, which can achieve mode leakage without affecting the fiber transmission characteristics. So the THz dual-core anti-resonant fiber can be designed by using the mode leakage coupling mechanism. By changing the core distance and core gap size, the directional coupling with a coupling length of 0.72 m is realized at a transmission frequency of 2.5 THz. This terahertz dual-core anti-resonance fiber will have an important application value in terahertz optical devices such as terahertz optical switches, modulators and couplers.