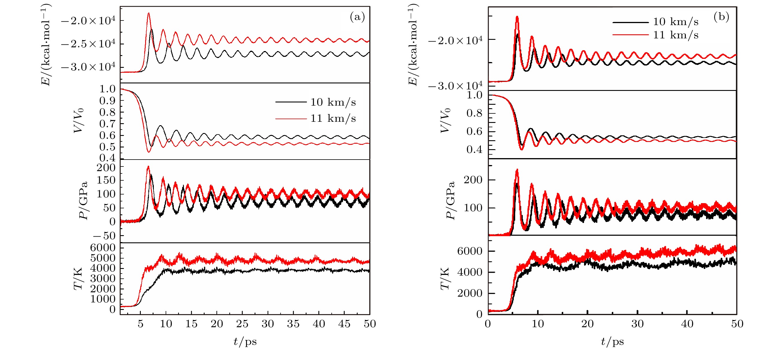
At present, the relative safety of energetic materials exposed to extreme environments is concerned widely. Understanding the initial decomposition mechanism of energetic materials under impact loading is the basis for exploring new energetic materials with high energy and low sensitivity. In this paper, we study the initial dynamic response and reaction mechanism of perfect cyclotrimethylenetrinitramine (RDX) crystal and RDX crystal with a molecular vacancy defect under shock loading by using the multiscale shock technique (MSST) combined with reactive force field (ReaxFF) molecular dynamics method. The RDX perfect supercell and supercell containing a molecular vacancy are constructed to simulate the shock process by using the generalized gradient approximation method in density functional theory and Perdew-Burke-Ernzerhof functional. Before loading the shock wave, one NVE ensemble and Berendsen thermostat are used to control the RDX equilibrium process. A multi-scale impact compression is loaded along the crystal
            Adirection. The initial temperature is 300 K and the initial pressure is set to be an atmospheric pressure. The radial distribution functions between main atoms are calculated, and the influences of shock velocity and molecular vacancy defect on shock loading process are analyzed. The evolution of N—NO
            2bond and C—N bond with time in RDX perfect crystals and vacancy crystals under shock velocity of 11 km/s are given. As a result, the possible initial decomposition path of perfect RDX crystal and vacancy RDX crystal are the first fracture of N—NO
            2bond, followed by the cleavage of C—N bond at small shock velocity. The initial reaction of the RDX crystal with a molecule vacancy is earlier than that of the perfect crystal, which indicates that the vacancy crystal is more sensitive to shock and more prone to decomposition. Furthermore, the fracture of C—H bond is possible after the initial cleavage of N—NO
            2bond and C—N bond, and then the H atom is transferred to oxygen atom in nitro group, forming HONO. As the shock velocity increases, the number of broken chemical bonds in the two kinds of RDX crystals increases, and the reaction becomes strong. The presence of molecular vacancy defect enhances the activity of N—NO
            2bond and makes it easier to break, thus accelerating the initial reaction of the vacancy crystal. The shock velocity and the particle velocity of the RDX crystal are consistent with previous experimental results and theoretical data, which shows the validity of our calculation results.