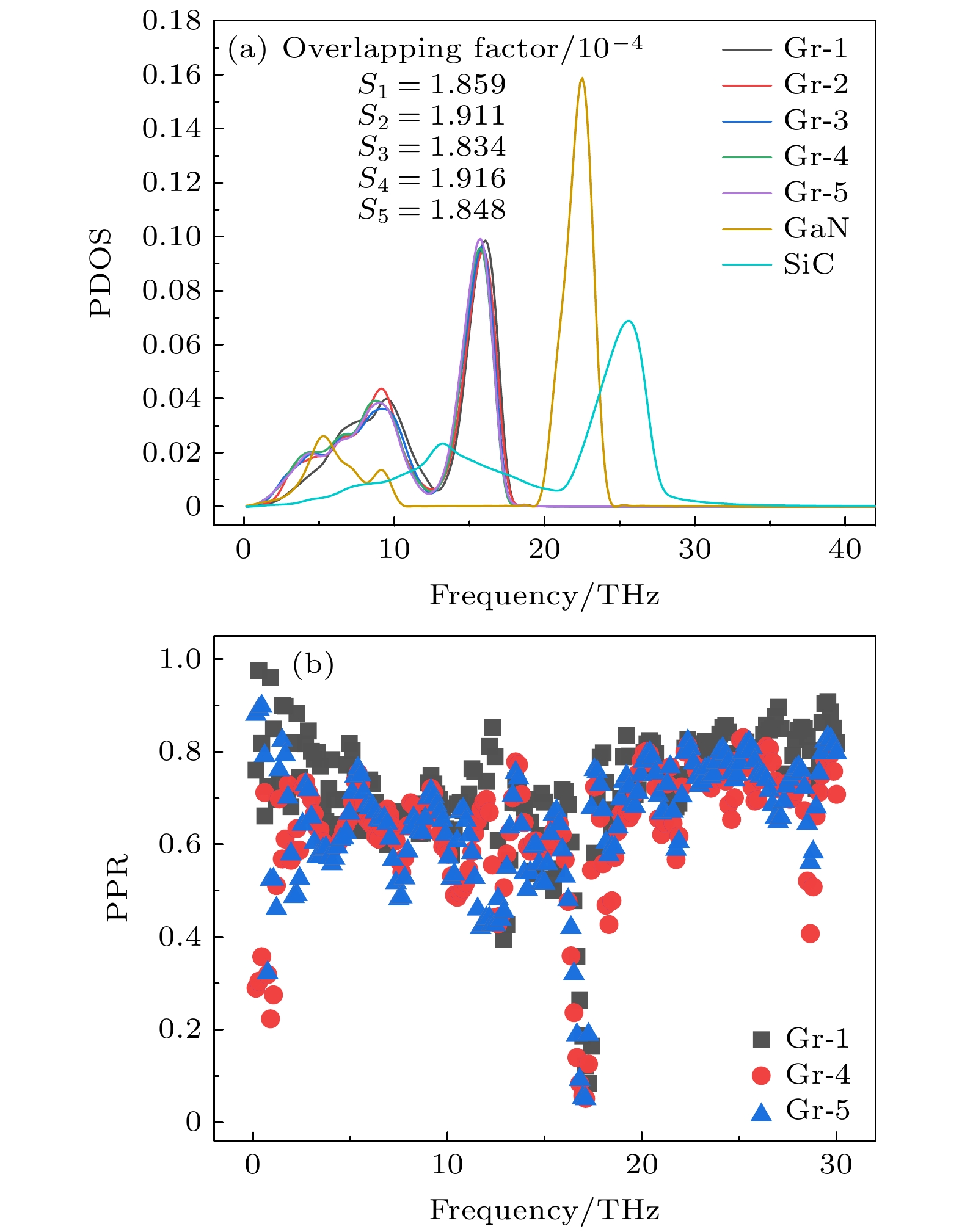
In order to study the thermal transport properties of heterogeneous gallium nitride/graphene/silicon carbide interface, the effects of temperature, size and vacancy defects on the thermal conductance of the interface are investigated by non-equilibrium molecular dynamics method, and the effects of changes of phonon state density and phonon participation rate on the thermal conductance of the interface are further analyzed. The results show that the thermal conductance of the interface increases with temperature increasing. The analysis shows that as temperature rises, the lattice vibration intensity, the density of low frequency phonon states, and the number of phonons involved in heat transport all increase. The change of thermal conductance at the interface of single-layer graphene is higher than that of multi-layer graphene. When the structural size of the heat transport direction is changed and the number of layers of gallium nitride and silicon carbide are changed at the same time, the thermal conductance at the interface does not change significantly, and the phonon scattering of the thermal transport at the interface is almost unaffected. However, as the number of graphene interlayers increases from the first layer to the fifth layer, the interface thermal conductance first decreases and then slowly increases. Because of the fourth layer, the participation rate of low frequency phonons decreases, more phonons are localized, and the number of phonons that do not participate in heat transfer increases, and the interfacial thermal conductance reaches a minimum value of 0.024 GW/(m
2·K). As the vacancy defect concentration increases, the interfacial thermal conductance first increases gradually and then decreases. The difference is that when the concentration of single vacancy defects is 10%, the interface thermal conductance reaches a maximum value of 0.063 GW/(m
2·K). When the concentration of double vacancy defects is 12%, the interfacial thermal conductance reaches a maximum value of 0.065 GW/(m
2·K). The analysis shows that more phonons enter into the delocalisation from the local region and more phonons participate in the heat transfer, leading to the increase of the interface thermal conductance. The results are useful in adjusting the thermal transport performance of GaN devices and provide a theoretical basis for designing the devices with heterogeneous interfaces.