-
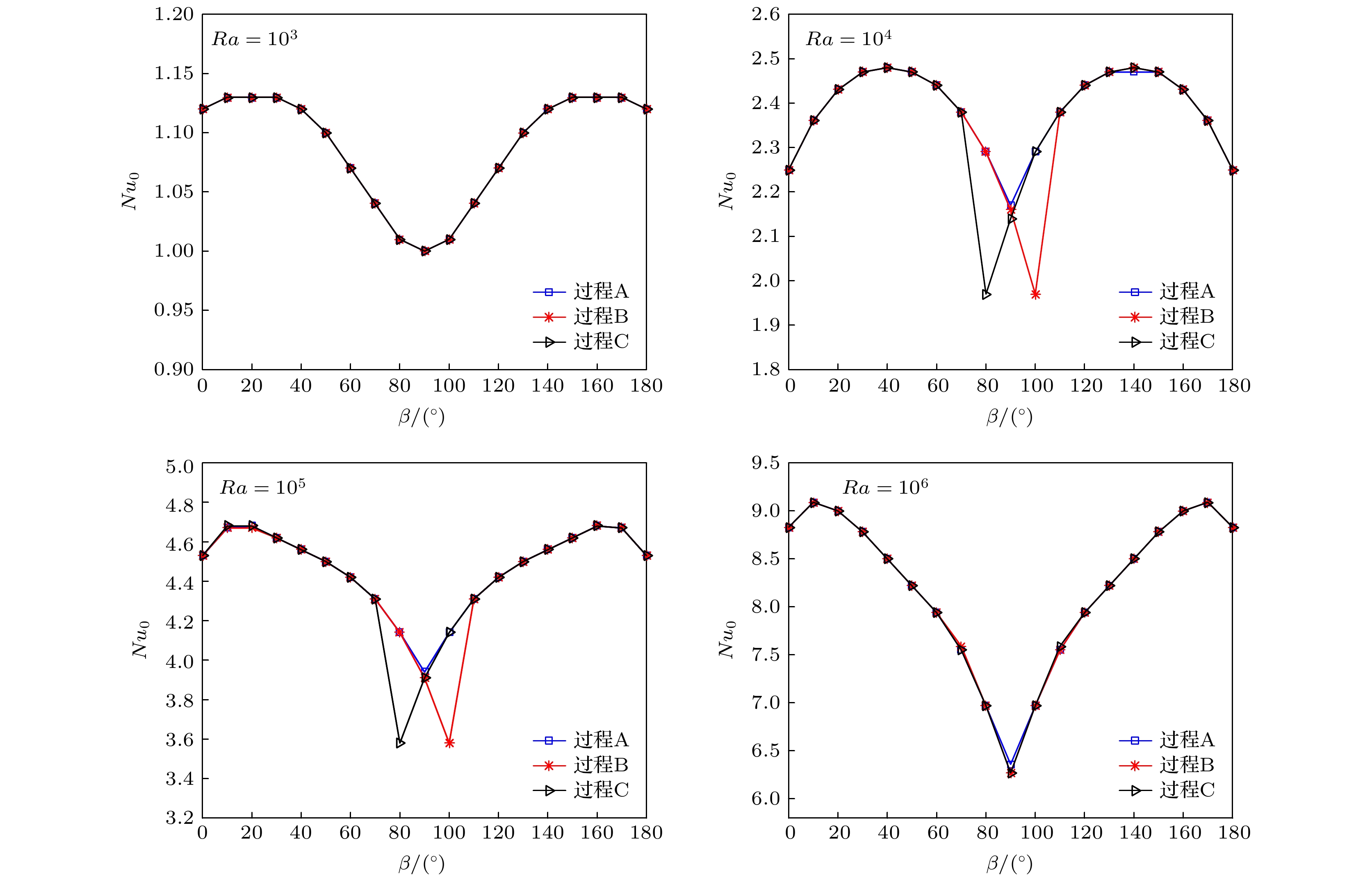
Heat transfer of natural convection in inclined cavities is one of the hot research topics in nonlinear non-equilibrium systems. In this paper, direct numerical simulations of natural convection in an inclined square cavity are carried out by using a high-accuracy numerical method. The effects of the different trends of inclination angle in a range of 0°–180° on the nonlinear evolution of flow field, heat transfer efficiency, and bifurcation are investigated. The Rayleigh number varies in a range from 10 3to 10 6. The results show that the heat transfer efficiency characterized by Nusselt number is highly dependent on the Rayleigh number, Prandtl number, and the inclination angle. When the Rayleigh number is high, the Nusselt number will have a small jump near the inclination angle in a range of 80°–100°. The evolution of the flow field and temperature field are more complicated at high Rayleigh number. There are one to three vortices of different intensities in the cavity. At low Rayleigh number and inclination angle of the cavity being close to 90°, the flow state is composed mainly of heat conduction state. In addition, it is found that there exist two stable branches of solutions in a range of Rayleigh number (4949, 314721) when the inclination angle is in the interval of (70°, 110°).
-
Keywords:
- thermal convection/
- direct numerical simulation/
- bifurcation/
- inclination angle/
- high-accuracy
[1] [2] [3] [4] [5] [6] [7] [8] [9] [10] [11] [12] [13] [14] [15] [16] [17] [18] [19] [20] [21] [22] [23] [24] [25] [26] [27] [28] [29] [30] [31] [32] [33] [34] [35] -
文献 $ \left| \psi \right|_{\rm {max}} $ $ \left| {\psi _{\rm {mid}} } \right| $ $ Nu_{0} $ $ \overline{Nu} $ 文献 $ \left| \psi \right|_{\rm {max}} $ $ \left| {\psi _{\rm {mid}} } \right| $ $ Nu_{0} $ $ \overline{Nu} $ $ Ra=10^{5} $ $ Ra=10^{6} $ 本文 9.615 9.115 4.520 4.522 本文 16.807 16.383 8.815 8.827 [32] 9.612 9.111 4.509 4.519 [32] 16.750 16.320 8.817 8.800 [33] — 9.123 4.512 4.522 [33] — 16.420 8.763 8.829 [34] 9.6173 9.1161 4.5195 — [34] 16.8107 16.3863 8.8216 — [35] 9.6202 9.1194 4.5214 — [35] 16.8411 16.4183 8.8091 — 网格尺寸 $\left| \psi \right|_{\rm {max}}$ 误差/% $\left| {\psi _{\rm {mid}} } \right|$ 误差/% $ Nu_0 $ 误差/% $ 31\times31 $ 16.460 2.086 16.118 1.631 9.293 5.301 $ 61\times61 $ 16.830 0.119 16.410 0.148 8.798 0.315 $ 91\times91 $ 16.802 0.051 16.385 0.002 8.786 0.445 $ 121\times121 $ 16.807 0.017 16.383 0.014 8.815 0.119 $ 241\times241 $ 16.810 — 16.386 — 8.825 — 网格尺寸 $\left| \psi \right|_{\rm {max}}$ 误差/% $\left| {\psi _{\rm {mid}} } \right|$ 误差/% $ Nu_0 $ 误差/% $ 31\times31 $ 32.400 3.276 27.974 3.306 9.077 9.345 $ 61\times61 $ 33.252 0.734 28.707 0.771 8.332 0.381 $ 91\times91 $ 33.438 0.176 28.874 0.195 8.301 0.001 $ 121\times121 $ 33.477 0.062 28.911 0.068 8.304 0.039 $ 241\times241 $ 33.498 — 28.931 — 8.301 — 网格尺寸 $\left| \psi \right|_{\rm {max}}$ 误差/% $\left| {\psi _{\rm {mid}} } \right|$ 误差/% $ Nu_0 $ 误差/% $ 31\times31 $ 18.625 5.075 17.873 5.021 9.548 3.514 $ 61\times61 $ 19.634 0.067 18.838 0.110 9.195 0.310 $ 91\times91 $ 19.609 0.059 18.814 0.020 9.206 0.193 $ 121\times121 $ 19.612 0.044 18.812 0.029 9.221 0.037 $ 241\times241 $ 19.621 — 18.818 — 9.224 — 网格尺寸 $\left| \psi \right|_{\rm {max}}$ 误差 $\left| {\psi _{\rm {mid}} } \right|$ 误差 $ Nu_0 $ 误差 $ {\rm{31}} \times {\rm{31}} $ 38.233 6.689% 34.649 6.739% 9.791 7.723% $ {\rm{61}} \times {\rm{61}} $ 40.665 0.752% 36.858 0.793% 9.114 0.271% $ {\rm{91}} \times {\rm{91}} $ 40.902 0.174% 37.090 0.167% 9.089 0.001% $ {\rm{121}} \times {\rm{121}} $ 40.950 0.057% 37.131 0.058% 9.092 0.025% $ {\rm{241}} \times {\rm{241}} $ 40.973 — 37.152 — 9.089 — -
[1] [2] [3] [4] [5] [6] [7] [8] [9] [10] [11] [12] [13] [14] [15] [16] [17] [18] [19] [20] [21] [22] [23] [24] [25] [26] [27] [28] [29] [30] [31] [32] [33] [34] [35]
Catalog
Metrics
- Abstract views:3812
- PDF Downloads:49
- Cited By:0












DownLoad:










